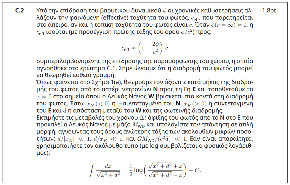
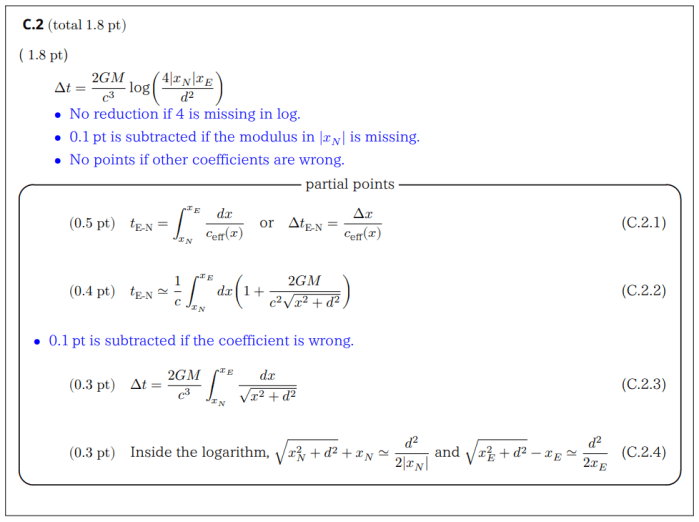
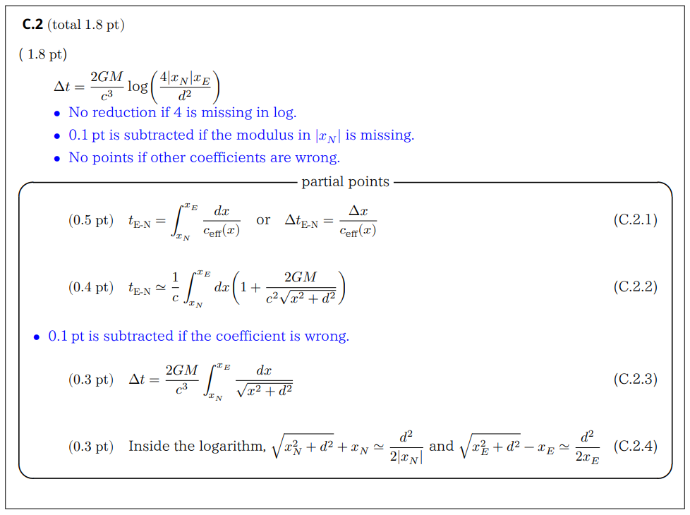
Πρόκειται για το δεύτερο θεωρητικό πρόβλημα που τέθηκε στην Διεθνή Ολυμπιάδα Φυσικής του 2023:
ΑΠΑΝΤΗΣΕΙΣ
δείτε όλα τα θέματα της Διεθνούς Ολυμπιάδας Φυσικής του 2023 (και τις λύσεις τους) ΕΔΩ: http://physicsmentor.gr/?p=1779
Κατηγορίες:ΑΣΤΡΟΦΥΣΙΚΗ
Πρόκειται για το δεύτερο θεωρητικό πρόβλημα που τέθηκε στην Διεθνή Ολυμπιάδα Φυσικής του 2023:
ΑΠΑΝΤΗΣΕΙΣ
δείτε όλα τα θέματα της Διεθνούς Ολυμπιάδας Φυσικής του 2023 (και τις λύσεις τους) ΕΔΩ: http://physicsmentor.gr/?p=1779
Κατηγορίες:ΑΣΤΡΟΦΥΣΙΚΗ
Σχολιάστε