ΡΑΔΙΟΑΣΤΡΟΝΟΜΙΑ

Νέφος-9: ένα αστρονομικό αντικείμενο νέου τύπου

Η NASA ανακάλυψε νέο είδος ουράνιου σώματος – Τι είναι το «Νέφος-9» Tο Νέφος-9 είναι το αρχέγονο έμβρυο ενός γαλαξία που απέτυχε να μεγαλώσει, αναφέρει διεθνής ερευνητική ομάδα. Με γυμνό μάτι θα ήταν εντελώς αόρατο, έχει όμως τη μάζα δισεκατομμυρίων Ήλιων:… Read More ›

Ένα εκπληκτικά θερμό σμήνος γαλαξιών θα μπορούσε να αλλάξει τα κοσμολογικά μας μοντέλα

Το αρχέγονο σμήνος γαλαξιών SPT2349 δίνει νέα διάσταση στην εξέλιξη αυτών των κοσμικών μεγαθήριων Ένα εξαιρετικά θερμό σμήνος γαλαξιών στο αρχέγονο σύμπαν έχει αφήσει τους επιστήμονες άναυδους. Το σμήνος ήταν ήδη θερμό σε ακραίο βαθμό (≳107 K) όταν το σύμπαν… Read More ›

Ένα μπλέιζαρ με δυο μαύρες τρύπες

Kβάζαρ (quasar) είναι ένας εξαιρετικά φωτεινός ενεργός γαλαξιακός πυρήνας (AGN). Περιέχει μια υπερμαζική μαύρη τρύπα η οποία δημιουργεί έναν δίσκο προσαύξησης εκπέμποντας ηλεκτρομαγνητική ακτινοβολία από ραδιοκύματα μέχρι ακτίνες γ. Πολλές φορές δημιουργούνται πίδακες (jets) που εκτοξεύουν ύλη σχεδόν με την… Read More ›

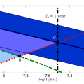
Ο σταυρός του Αϊνστάιν

Ραδιοαστρονόμοι ανακάλυψαν ένα σπάνιο κοσμικό μοτίβο, τον επονομαζόμενο «σταυρό του Αϊνστάιν» (Einstein Cross), που θα τους βοηθήσει να μάθουν περισσότερα για την σκοτεινή ύλη του σύμπαντος Ο σταυρός του Αϊνστάιν είναι ένα φαινόμενο βαρυτικού φακού, όπου το φως από ένα… Read More ›

Η ισχυρότερη έκρηξη ραδιοκυμάτων που καταγράφηκε μέχρι σήμερα

Διεθνής ομάδα αστρονόμων παρατήρησε μία από τις φωτεινότερες ταχείες ραδιοεκλάμψεις (FRBs) που έχουν εντοπιστεί μέχρι σήμερα – και εντόπισε την θέση της σε έναν κοντινό γαλαξία, τον NGC 4141. Καταχωρήθηκε στους αστρονομικούς καταλόγους με το όνομα FRB 20250316A, αλλά έχει… Read More ›

Το μυστήριο με το συμπαντικό θείο

Το θείο (S) είναι το δέκατο πιο άφθονο στοιχείο στο σύμπαν και θεωρείται ζωτικό χημικό στοιχείο για τους πλανήτες, τη ζωή και την εξέλιξη των άστρων. Η έλλειψη μοριακού θείου στο διάστημα αποτελεί μυστήριο εδώ και χρόνια. Η παρατηρούμενη ποσότητα… Read More ›

Βρέθηκε η «χαμένη» ύλη του σύμπαντος

Η συντριπτική πλειοψηφία της ύλης στο σύμπαν είναι η σκοτεινή ύλη, που είναι εντελώς αόρατη και ανιχνεύεται μόνο διαμέσου των βαρυτικών αλληλεπιδράσεων. Η συνηθισμένη ύλη – από τα πρωτόνια μέχρι τους πλανήτες και τους ανθρώπους – αποτελεί μόνο το 16%…. Read More ›

Τέλειος (ή G305.4-2.2): ένα υπόλειμμα σουπερνόβα στον Γαλαξία μας

… με εντυπωσιακό σφαιρικό σχήμα Αστρονόμοι ανίχνευσαν υπόλειμμα υπερκαινοφανούς αστέρα με ένα σχεδόν τέλεια σφαιρικό σχήμα. Του έδωσαν το παρατσούκλι Teleios και το περιγράφουν στην εργασία με τίτλο ‘Teleios (G305.4-2.2) — the mystery of a perfectly shaped new Galactic supernova… Read More ›

Γιατί τα 21 εκατοστά είναι το πιο συνηθισμένο μήκος στο σύμπαν

Το παρατηρήσιμο σύμπαν περιέχει περίπου 1080 άτομα. Τα περισσότερα από αυτά είναι άτομα απλού υδρογόνου: το καθένα συνίσταται από ένα πρωτόνιο και ένα ηλεκτρόνιο. Tο ηλεκτρόνιο και το πρωτόνιο έχουν σπιν, μπορούμε δηλαδή να τα φανταστούμε σαν δυο μαγνητικά δίπολα… Read More ›

Ανιχνεύθηκε οξυγόνο στον πιο απομακρυσμένο γνωστό γαλαξία

Πριν από έναν χρόνο περίπου, το διαστημικό τηλεσκόπιο James Webb της NASA φωτογράφισε με την NIRCam (Near-Infrared Camera) τον γαλαξία JADES-GS-z14-0. Αυτός ο γαλαξίας βρέθηκε να εμφανίζει μετατόπιση προς το ερυθρό z=14,32, καταρρίπτοντας το ρεκόρ του πιο απομακρυσμένου γνωστού γαλαξία. Αυτό σημαίνει ότι… Read More ›

Μήνυμα από το διαστρικό διάστημα με ραδιοπομπό της δεκαετίας του 1970

Το Voyager 1 έστειλε μήνυμα με εφεδρικό ραδιοπομπό που παρέμενε αδρανής 43 χρόνια Το διαστημικό σκάφος Voyager 1 εκτοξεύθηκε στις 5 Σεπτεμβρίου 1977 και έγινε η πρώτη ανθρώπινη κατασκευή που εγκατέλειψε το ηλιακό σύστημα και εισήλθε στον διαστρικό χώρο. Το δίδυμο… Read More ›

Το ALMA αποκαλύπτει την επιφάνεια άστρου

… με μια άνευ προηγουμένου λεπτομέρεια Από την εποχή του Γαλιλαίου μέχρι πρόσφατα, ακόμα και τα πλησιέστερα και μεγαλύτερα άστρα δεν ήταν ορατά παρά ως σημειακές κουκκίδες. Τα τελευταία χρόνια όμως οι αστρονόμοι μπορούν πλέον να ζουμάρουν στην επιφάνεια μεγάλων άστρων όπως… Read More ›

Μια φυσική ερμηνεία του εξωγήινου σήματος «ουάου!»

Το ραδιοτηλεσκόπιο Big Ear του Πανεπιστημίου του Οχάιο συνέλαβε το 1977 ένα ισχυρό, παράξενο ραδιοσήμα διάρκειας 72 δευτερολέπτων από την κατεύθυνση του αστερισμού του Τοξότη. Πρόκειται για το πιο διάσημο σήμα εξωγήινης προέλευσης, το επονομαζόμενο σήμα Ουάου! Το σήμα προκάλεσε… Read More ›

Η νέα τεχνολογία που θα αλλάξει τον τρόπο της αναζήτησης εξωγήινης ζωής

Ένα από τα πιο συνεπή σερί αρνητικών αποτελεσμάτων στην ιστορία της επιστήμης είναι η αναζήτηση στοιχείων (έστω και ενός), που να δείχνουν ότι μοιραζόμαστε το σύμπαν με άλλα νοήμονα όντα.  Για περισσότερα από 60 χρόνια, οι ερευνητές προσπαθούν να βρουν έστω… Read More ›

Βαρυτικά κύματα παντού

Νέα δεδομένα για το υπόβαθρο βαρυτικών κυμάτων στο σύμπαν Η δημοσίευση νέων δεδομένων της European Pulsar Timing Array (ΕΡΤΑ), σε συνδυασμό με τα αντίστοιχα στοιχεία του Indian Pulsar Timing Array, επιβεβαιώνει για άλλη μια φορά την ύπαρξη υποβάθρου βαρυτικών κυμάτων… Read More ›

Νέο πολύπλοκο οργανικό μόριο ανακαλύφθηκε στον διαστρικό χώρο

Ο κατάλογος των οργανικών ενώσεων που βρίσκονται στο διάστημα γίνεται όλο και μεγαλύτερος. Οι αστρονόμοι έχουν βρει αμινοξέα και άλλα δομικά στοιχεία της ζωής στο διάστημα, σε κομήτες ή αστεροειδείς. Τώρα ανακοίνωσαν την ανίχνευση για πρώτη φορά στον διαστρικό χώρο, μιας… Read More ›

Η αρχαιότερη ταχεία ραδιοέκρηξη και ο νέος τρόπος «ζυγίσματος» του σύμπαντος

Οι γρήγορες ραδιοφωνικές εκρήξεις (FRB=Fast Radio Burst) είναι σύντομες λάμψεις ραδιο-εκπομπών από εξωγαλαξιακές πηγές. Οι ερευνητές Ryder et al. εντόπισαν μια ταχεία ραδιοέκρηξη και την πηγή της σε έναν γαλαξία που εμφανίζει μετατόπιση προς το ερυθρό περίπου z=1, σύμφωνα με… Read More ›

Διαστρικό ραδιοσήμα επαναλαμβάνεται κάθε 22 λεπτά επί 30 χρόνια

Ο εντοπισμός επαναλαμβανόμενων ραδιοσημάτων από το Διάστημα δεν είναι κάτι σπάνιο, μα συνήθως είναι μικρής διάρκειας. Τα πιο κοινά επαναλαμβανόμενα σήματα έρχονται από πάλσαρ, περιστρεφόμενους αστέρες νετρονίων που εκπέμπουν ακτίνες ενέργειας σαν φάροι- κάτι που σημαίνει πως εντοπίζονται για λίγο, όταν διέρχονται από… Read More ›

Ανίχνευσαν το υπόβαθρο των βαρυτικών κυμάτων

● Επιτέλους, διαθέτουμε έναν δεύτερο τρόπο για να ανιχνεύσουμε άμεσα βαρυτικά κύματα: αξιοποιώντας τις χρονικές διακυμάνσεις των πάλσαρ χιλιοστών του δευτερολέπτου σε όλο τον Γαλαξία μας. ● Για πρώτη φορά, ανιχνεύθηκε το «βουητό» των βαρυτικών κυμάτων που διαχέεται στο σύμπαν. ● Από τα… Read More ›

Το ραδιοτηλεσκόπιο ALMA ανίχνευσε θειούχο πυρίτιο

…. σε πρωτοπλανητικό δίσκο Οι αστρονόμοι που χρησιμοποιούν την συστοιχία ραδιοτηλεσκοπίων ALMA (Atacama Large Millimeter/submillimeter Array) για να μελετήσουν τον πρωτοπλανητικό δίσκο γύρω από ένα νεαρό άστρο εξεπλάγησαν από την χημική ένωση που ανακάλυψαν. Πρόκειται για το θειούχο πυρίτιο (SiS)…. Read More ›

Αναζήτηση εξωγήινων πολιτισμών στην γειτονιά ενός σουπερνόβα

Θα μπορούσε ένας υπερκαινοφανής αστέρας (ή σουπερνόβα) να χρησιμοποιηθεί από εξωγήινους για να τραβήξουν την προσοχή μας; Μια ομάδα αστρονόμων ψάχνουν στην γειτονιά του νέου σουπερνόβα SN 2023ixf στους σπειροειδείς βραχίονες του γαλαξία Messier 101, ελπίζοντας να βρουν σήματα από… Read More ›

Αναζήτηση εξωγήινων πολιτισμών στο κέντρο του Γαλαξία μας

Αναπτύχθηκε μια νέα μέθοδος αναζήτησης επαναλαμβανόμενων ραδιοσημάτων με μικρό εύρος συχνότητας από το κέντρο του Γαλαξία μας Ραδιοπαλμοί με μικρό εύρος συχνοτήτων εκπέμπονται φυσικά από τα πάλσαρ – αστέρες νετρονίων με ισχυρό μαγνητικό πεδίο που περιστρέφονται πολύ γρήγορα. Δημιουργούνται επίσης… Read More ›

Λήψη εξωγήινου σήματος απόψε το βράδυ

… Τετάρτη 24 Μαΐου και ώρα Ελλαδας 10:16 μμ SETI: Διαπλανητική άσκηση ετοιμότητας για τη λήψη «εξωγήινου σήματος» –Κρυπτογραφημένο μήνυμα θα μεταδοθεί από τον Άρη σε ένα πείραμα που διοργανώνουν κυνηγοί εξωγήινων. Σε μια ασυνήθιστη άσκηση ετοιμότητας για ενδεχόμενη επαφή… Read More ›

Υπάρχουν εξωγήινοι που παρακολουθούν τα κινητά μας τηλέφωνα;

Σύμφωνα με πρόσφατη έρευνα, αν υπάρχουν προηγμένοι εξωγήινοι πολιτισμοί σε απόσταση έως και 10 ετών φωτός από τη Γη, θα μπορούσαν να εντοπίσουν τον γήινο πολιτισμό από τα ραδιοφωνικά κύματα που εκπέμπουν οι κεραίες κινητής τηλεφωνίας. Επιστήμονες από το Πανεπιστήμιο… Read More ›

Ανιχνεύοντας σκοτεινά φωτόνια με ραδιοτηλεσκόπια

Από την έρευνα των σπάνιων αλληλεπιδράσεων μεταξύ σκοτεινών φωτονίων και κανονικής ύλης προκύπτουν περιορισμοί σχετικοί με τις ιδιότητες της υπερ-ελαφράς σκοτεινής ύλης. Το σκοτεινό φωτόνιο είναι ένα υποθετικό σωματίδιο του σκοτεινού τομέα, ένα νέο είδος μποζονίων βαθμίδας, που μεσολαβούν στις… Read More ›

Οκτώ μυστηριώδη εξωγήινα (;) ραδιοσήματα

Οκτώ μυστηριώδη ραδιοσήματα εντόπισαν οι επιστήμονες, χάρη σε έναν νέο αλγόριθμο με τεχνητή νοημοσύνη, ο οποίος μπορεί να διακρίνει τα ραδιοσήματα εξωγήινης προέλευσης από αυτά που προκαλεί ο άνθρωπος. Η μέθοδος θεωρείται σημαντική και όπως ελπίζουν οι ερευνητές θα βελτιώσει την αναζήτηση… Read More ›

Αστρονόμοι εντόπισαν ραδιοσήμα από μακρινό γαλαξία 

Το σήμα προήλθε από γαλαξία που ονομάζεται SDSSJ0826+5630 και βρίσκεται σε απόσταση 8,8 δισεκατομμύρια έτη φωτός (… και δεν έχει καμία σχέση με εξωγήινους) Αστρονόμοι που χρησιμοποιούσαν ραδιοτηλεσκόπιο στην Ινδία κατέγραψαν το πιο μακρινό ραδιοσήμα από έναν γαλαξία, τροφοδοτώντας τις ελπίδες ότι τα μυστικά του… Read More ›

Ξεκινά σήμερα η κατασκευή του μεγαλύτερου τηλεσκοπίου στον κόσμο

Μετά από 30 χρόνια σχεδιασμού και διαπραγματεύσεων, ξεκινά σήμερα η κατασκευή του μεγαλύτερου τηλεσκοπίου στον κόσμο, του υπερευαίσθητου ραδιοτηλεσκοπίου Square Kilometer Array (SKA), το οποίο θα αποτελείται από δύο επιμέρους γιγάντια, συνδεδεμένα μεταξύ τους τηλεσκόπια, ένα στη δυτική Αυστραλία και… Read More ›

Ο επιθανάτιος ρόγχος του ραδιοτηλεσκοπίου Arecibo

Mπορεί το διάσημο παρατηρητήριο Arecibo στο Πουέρτο Ρίκο να κατέρρευσε ολοσχερώς το 2020, όμως οι αστροφυσικοί θα συνεχίσουν να δημοσιεύουν την ανάλυση των δεδομένων που συγκεντρώθηκαν πριν την κατάρρευσή του. Για παράδειγμα, η δημοσίευση της 22ας Σεπτεμβρίου του 2022 με… Read More ›

Ραδιοτηλεσκόπια που αναζητούν εξωγήινη ζωή ανίχνευσαν το Voyager 1

…. στο διαστρικό διάστημα Η συστοιχία ραδιοηλεσκοπίων Allen στην Καλιφόρνια ανίχνευσε σήμα από το διαστημικό σκάφος Voyager 1, το οποίο εκτοξεύτηκε πριν από 45 χρόνια και κινείται πέρα από τα όρια του ηλιακού μας συστήματος, πολύ μακριά από την τροχιά… Read More ›

Εντόπισε η Κίνα σήματα από εξωγήινο πολιτισμό;

Όχι. Αίσθηση παγκοσμίως έχει προκαλέσει η ανακοίνωση της Κίνας ότι το τεράστιο τηλεσκόπιό της, το Sky Eye, ενδέχεται να έχει εντοπίσει σήματα από εξωγήινους πολιτισμούς. Την είδηση αναμετάδωσε το κρατικό μέσο ενημέρωσης Science and Technology Daily, ενώ μετά από λίγη ώρα τη διέγραψε εντελώς,… Read More ›

Ένα πολύ αργό άστρο νετρονίων

Το παράξενο άστρο νετρονίων PSR J0901-4046 ολοκληρώνει μια περιστροφή κάθε 76 δευτερόλεπτα Tα άστρα νετρονίων που εκπέμπουν ραδιοφωνική ακτινοβολία συνήθως έχουν περιόδους περιστροφής που κυμαίνονται από χιλιοστά του δευτερολέπτου έως δεκάδες δευτερόλεπτα. Καθώς τα άστρα αυτά γερνούν περιστρέφονται όλο και… Read More ›

Η κοσμολογική σημασία του δευτεριούχου υδρογόνου

Μερικά λεπτά μετά την Μεγάλη Έκρηξη, όταν το σύμπαν ψύχθηκε τόσο ώστε να σταματήσει η πυρηνοσύνθεση, η σύσταση των στοιχείων που προέκυψε ήταν ~75% υδρογόνο (1Η), ~25% ήλιο (4He) και πολύ μικρές ποσότητες των ελαφρών στοιχείων, κυρίως δευτέριο 2Η (D), 3He… Read More ›

Ένα νέο μήνυμα προς τους εξωγήινους

Πλησιάζουμε στην 50ή επέτειο από το μήνυμα Arecibo προς εξωγήινους το 1974, την πρώτη προσπάθεια της ανθρωπότητας να στείλει ένα μήνυμα που να είναι κατανοητό από την εξωγήινη νοημοσύνη. Από τότε μέχρι σήμερα, οι αστρονόμοι επιβεβαίωσαν ότι η συντριπτική πλειονότητα… Read More ›

Ανιχνεύθηκε διμεθυλαιθέρας σε πρωτοπλανητικό δίσκο

Το μεγαλύτερο οργανικό μόριο που ανακαλύφθηκε μέχρι σήμερα σε δίσκο σχηματισμού πλανητών Ερευνητές εντόπισαν για πρώτη φορά το οργανικό μόριο του διμεθυλαιθέρα (CH3OCH3) σε έναν δίσκο σχηματισμού πλανήτη, σύμφωνα με μια νέα μελέτη που δημοσιεύτηκε στο περιοδικό Astronomy & Astrophysics…. Read More ›

Ανιχνεύθηκε μυστηριώδης ισχυρή ραδιοφωνική εκπομπή στον Γαλαξία μας

Μια ομάδα αστρονόμων που αναζητούν ραδιοκύματα στο σύμπαν ανακάλυψε ένα πρωτόγνωρο αστρονομικό φαινόμενο, μια ασυνήθιστα αργή περιοδική και ισχυρή ραδιοφωνική εκπομπή στον Γαλαξία μας, που απελευθέρωσε τεράστιες ποσότητες ενέργειας τρεις φορές μέσα σε μια ώρα. Οι ερευνητές πιστεύουν ότι θα… Read More ›

Ο ραδιοφωνικός εντοπισμός εξωπλανητών

Αστρονόμοι κατάφεραν για πρώτη φορά χρησιμοποιώντας ραδιοτηλεσκόπια να εντοπίσουν εξωπλανήτες – πλανήτες σε άλλα ηλιακά συστήματα. Χρησιμοποιώντας την πιο ισχυρή κεραία του κόσμου – το Low Frequency Array στις Κάτω Χώρες (LOFAR) – ανακάλυψαν τα ραδιοσήματα που εκπέμπουν 19 ερυθροί… Read More ›

Παράξενα ραδιοκύματα φθάνουν στη Γη από το κέντρο του Γαλαξία

Μια διεθνής ομάδα αστρονόμων ανακάλυψε ασυνήθιστα σήματα που έρχονται από την κατεύθυνση του κέντρου γαλαξία μας. Τα εν λόγω ραδιοκύματα δεν ταιριάζουν με καμία γνωστή ραδιοπηγή, γι’ αυτό πιθανώς προέρχονται από κάποιο άγνωστο έως τώρα αντικείμενο του διαστήματος. Κανένας επιστήμονας,… Read More ›

Το μυστηριώδες ραδιοσήμα ASKAP J173608.2−321635

Αστρονόμοι εντόπισαν ένα περίεργο, επαναλαμβανόμενο ραδιοσήμα κοντά στο κέντρο του Γαλαξία που δεν μοιάζει με κανένα από όσα μελετήθηκαν μέχρι σήμερα. Σύμφωνα με την δημοσίευση [Discovery of ASKAP J173608.2-321635 as a Highly-Polarized Transient Point Source with the Australian SKA Pathfinder]… Read More ›

Αμοιβαίος κανιβαλισμός μεταξύ άστρου και μαύρης τρύπας

… προκαλεί μια νέου τύπου έκρηξη σουπερνόβα Για πρώτη φορά, οι αστρονόμοι κατέγραψαν στοιχεία που αναδεικνύουν έναν σπάνιο αμοιβαίο κοσμικό κανιβαλισμό – άστρο καταπίνει ένα συμπαγές αντικείμενο που μπορεί να είναι μια μαύρη τρύπα ή ένας αστέρας νετρονίων. Στην συνέχεια… Read More ›

Τα αόρατα χρώματα του σύμπαντος

Τα ραδιοφωνικά κύματα εμφανίζονται σαν ένα ουράνιο τόξο χρωμάτων. ‘Βλέπουμε’ αυτά τα χρώματα ως διαφορετικές ζώνες ραδιοφωνικών συχνοτήτων και κάθε ζώνη έχει να μας πει μια ιστορία για το σύμπαν. Οι ραδιο-αστρονόμοι παρατηρούν το σύμπαν σε διάφορες περιοχές μηκών κύματος… Read More ›

Η Μεγάλη Σιγή

Ένας παπαγάλος από το δάσος κοντά στο ραδιοτηλεσκόπιο Αρεσίμπο (*), απευθύνεται στους ανθρώπους που αναζητούν επαφή με εξωγήινα ευφυή όντα. Τα λόγια του περιλαμβάνονται ως υπότιτλοι στο παραπάνω βίντεο και αποτελούν την μικρή νουβέλα με τίτλο η «Μεγάλη Σιγή» που… Read More ›

O αρχαιότερος σπειροειδής γαλαξίας

Μία ομάδα Ιαπώνων αστρονόμων ανακοίνωσε ότι ανακάλυψε τον αρχαιότερο και μακρινότερο γαλαξία με σπειροειδή μορφολογία, δηλαδή παρόμοια με του δικού μας γαλαξία. Σχηματίστηκε μόλις 1,4 δισεκατομμύρια χρόνια μετά την αρχική «Μεγάλη Έκρηξη» δημιουργίας του σύμπαντος. Ο BRI 1335-0417, όπως ονομάστηκε,… Read More ›

Γαλαξιακό Διαδίκτυο και βαρυτικοί φακοί

Το Γαλαξιακό Διαδίκτυο μπορεί να δημιουργηθεί (έστω … από εξωγήινους πολιτισμούς) εφόσον τα άστρα αξιοποιηθούν ως βαρυτικοί φακοί, υποστηρίζει ο Claudio Maccone, στην δημοσίευσή του με τίτλο «Galactic internet made possible by star gravitational lensing». Όμως, τι είναι ένας βαρυτικός… Read More ›

Αστρονόμοι ανίχνευσαν μαύρη τρύπα εν κινήσει

Έχει ταχύτητα 177.000 χιλιόμετρα/ώρα ως προς τον γαλαξία που την περιέχει Οι φυσικοί θεωρούν προφανές ότι οι μαύρες τρύπες είναι δυνατόν να περιπλανηθούν στο διάστημα – αλλά μέχρι σήμερα δεν είχε καταγραφεί ποτέ ένα τέτοιο γεγονός. Αστρονόμοι από το Κέντρο… Read More ›

Ο θόρυβος των αστεριών μου

Γράφει ο Ηλίας Μαγκλίνης στην Καθημερινή (10/1/2021) Αυτό που ανακάλυψε το 1933 ο νεαρός φσυικός Καρλ Τζανσκι ήταν σοκαριστικό Ο χρόνος είναι το 1932 και ο τόπος η αγροτική κωμόπολη Χόλμντελ της πολιτείας Νιου Τζέρσεϊ, στην Αμερική. Ένας 27χρονος φυσικός,… Read More ›

Μερικές ανακαλύψεις στη Φυσική του 2020

… σχετικά με την επίλυση παραδόξων μαύρων τρυπών, τους υπεραγωγούς σε θερμοκρασίες δωματίου, τα πρώτα βήματα για μια απόδραση από την φυλακή του χρόνου, την αποκάλυψη πηγής ταχέων και ισχυρότατων εκρήξεων ραδιοκυμάτων, την ένδειξη ύπαρξης ενός τρίτου είδους σωματιδίων και… Read More ›

GRAND: Μια γιγαντιαία συστοιχία ραδιοτηλεσκοπίων για την ανίχνευση νετρίνων

Το πρόγραμμα της τεράστιας διάταξης ραδιοτηλεσκοπίων ονομάζεται GRAND (Giant Radio Array Giant Radio Array for Neutrino Detection) και θα καλύπτει μια περιοχή έως και 200.000 τετραγωνικά χιλιόμετρα με σκοπό την ανίχνευση νετρίνων του ταυ – με ενέργεια μεγαλύτερη από 1… Read More ›

Ψάχνοντας την χαμένη μαύρη τρύπα

… στο σμήνος γαλαξιών Abell 2261 Οι αστρονόμοι δεν κατάφεραν να εντοπίσουν μια τεράστια μαύρη τρύπα – με μάζα όσο 3 έως 100 δισεκατομμύρια ήλιοι-, η οποία θάπρεπε να βρίσκεται στο κέντρο του σμήνους γαλαξιών Abell 2261, σε απόσταση περίπου… Read More ›

Αστρονόμοι ανίχνευσαν ραδιοσήματα από έναν εξωπλανήτη

… που απέχει 51 έτη φωτός από τη Γη Μια ομάδα αστρονόμων παρακολουθώντας το σύμπαν με συστοιχία ραδιοτηλεσκοπίων, εντόπισε ραδιοσήματα προερχόμενα από τον αστερισμό Βοώτη – τα οποία είναι πιθανόν να προέρχονται από έναν πλανήτη πέραν του ηλιακού μας συστήματος…. Read More ›

Η γένεση της Ραδιοαστρονομίας

Η Ραδιοαστρονομία γεννήθηκε το 1931 στο New Jersey των ΗΠΑ. Ένας Αμερικανός μηχανικός της εταιρείας Bell Telephone Laboratories, o Karl Guthe Jansky, έκανε τις πρώτες αστρονομικές παρατηρήσεις σε ραδιοφωνικά μήκη κύματος, ανοίγοντας έτσι ένα καινούργιο «παράθυρο» στο ηλεκτρομαγνητικό φάσμα. Προσπαθώντας… Read More ›

Το τηλεσκόπιο ASKAP δημιουργεί έναν νέο άτλαντα του σύμπαντος

Πανοραμικό τηλεσκόπιο χαρτογραφεί τον ουρανό σε χρόνο ρεκόρ Η συστοιχία ραδιοτηλεσκοπίων συνέλεξε 13,5 exabyte δεδομένων σε διάστημα μόλις 300 ωρών Μια καινούργια συστοιχία ραδιοτηλεσκοπίων που τέθηκε σε λειτουργία στην έρημο της Αυστραλίας χρειάστηκε λιγότερο από δύο εβδομάδες για να σαρώσει… Read More ›

Τίτλοι τέλους για το θρυλικό τηλεσκόπιο του Αρεσίμπο

(νεώτερη ενημέρωση 2/12/2020) Κατέρρευσε το ραδιοτηλεσκόπιο του Αρεσίμπο στο Πουέρτο Ρίκο NSF publica video del Colapso de plataforma de Observatorio de Arecibo pic.twitter.com/k6wW7veLwd — Deborah Martorell (@DeborahTiempo) December 3, 2020 Το γιγαντιαίο ραδιοτηλεσκόπιο του Αρεσίμπο στο Πουέρτο Ρίκο κατέρρευσε εν… Read More ›

Ανακαλύφθηκαν αστραπιαίες εκρήξεις ραδιοκυμάτων στον Γαλαξία μας

Για πρώτη φορά στον γαλαξία μας εντοπίστηκαν αστραπιαίες ισχυρές εκρήξεις ραδιοκυμάτων (Fast Radio Burst-FRB). Πρόκειται πιθανότατα για ένα μάγναστρο (magnetar), δηλαδή ένα ταχέως περιστρεφόμενο άστρο νετρονίων που διαθέτει ένα τρομερά ισχυρό μαγνητικό πεδίο. Οι έντονα φωτεινές και υψηλής ενέργειας αναλαμπές… Read More ›

Τι είναι τα ORCs ;

Θα μπορούσαν να είναι οτιδήποτε, από απομεινάρια σουπερνόβα, πρωτοπλανητικoί δίσκοι έως και κάποιο σφάλμα του τηλεσκοπίου, ωστόσο σύμφωνα με τους επιστήμονες, οι αστρικοί αυτοί κύκλοι δεν φαίνεται να ταιριάζουν με καμιά από τις παραδοσιακές περιγραφές. Περίεργα κυκλικά αντικείμενα ανακάλυψαν οι… Read More ›

Ο αστεροειδής Seiradakis(214843)

Ένας αστεροειδής πρόκειται να πάρει το όνομα του σπουδαίου Έλληνα Αστροφυσικού Γιάννη Σειραδάκη και συγκεκριμένα θα ονομαστεί Seiradakis(214843), μετά από πρόταση προς την Διεθνή Αστρονομική Ένωση, της αστρονόμου και πρώην φοιτήτριας του, Χρύσας Αβδελίδου. Ο αριθμός που περιλαμβάνει το όνομα… Read More ›

Ανιχνεύθηκαν νέα μυστηριώδη κοσμικά ραδιοσήματα

… που επαναλαμβάνονται με περίοδο 16 ημερών Οι πρόσφατα ανιχνευθείσες γρήγορες ραδιοφωνικές εκρήξεις (FRB=Fast Radio Burst) προβληματίζουν τους αστρονόμους, καθώς φαίνεται να επαναλαμβάνονται κάθε 16 μέρες, κάτι που εγείρει πολλά ερωτήματα. Τι είναι τα FRB;  Είναι εξαιρετικά ισχυρές εκπομπές ραδιοσυχνοτήτων… Read More ›

Τα πρώτα βήματα της φυσικής κοσμολογίας και ο James Peebles (νόμπελ φυσικής 2019)

Στα μέσα της δεκαετίας του 1960 συνέβη μια από τις σημαντικότερες εξελίξεις στην σύγχρονη κοσμολογία.Η ιστορία ξεκινά το 1964, πάνω σε έναν λόφο στο New Jersey, όπου το εργαστήριο Bell διέθετε μια ασυνήθιστη ραδιοφωνική κεραία. Η κεραία είχε στηθεί για… Read More ›

Η ακριβής θέση της πηγής μιας γρήγορης «έκρηξης» ραδιοκυμάτων

Μια διεθνής ομάδα αστρονόμων ανακοίνωσε ότι κατάφερε για δεύτερη φορά να προσδιορίσει την ακριβή τοποθεσία προέλευσης μιας αστραπιαίας ισχυρής εκπομπής ραδιοκυμάτων (Fast Radio Burst-FRB). Η πρώτη φορά που προσδιορίστηκε η θέση της πηγής FRB με αρκετή ακρίβεια ήταν για την… Read More ›

Μα που είναι επιτέλους οι εξωγήινοι;

Στο ερώτημα αυτό επιχείρησαν να δώσουν απάντηση κορυφαίοι επιστήμονες από διάφορα πεδία -αστροφυσικοί, αστρονόμοι, κοινωνιολόγοι, βιολόγοι, ψυχολόγοι, ιστορικοί και άλλοι- που συναντήθηκαν τη Δευτέρα στο Παρίσι, στο μουσείο επιστημών Cite des Sciences et de l’Industrie. Εάν υπάρχουν εξωγήινοι πολιτισμοί στο… Read More ›

Ανακαλύφθηκαν εκατοντάδες χιλιάδες νέοι γαλαξίες

Το LOFAR, που σχεδιάσθηκε και διευθύνεται από το Ινστιτούτο Ραδιοαστρονομίας της Ολλανδίας (ASTRON), περιλαμβάνει ένα ευρωπαϊκό δίκτυο ραδιοκεραιών σε επτά χώρες, που συνδέονται μεταξύ τους από οπτικές ίνες υψηλής ταχύτητας δεδομένων. Μια διεθνής ομάδα άνω των 200 αστρονόμων από 18… Read More ›

Ανιχνεύθηκαν πάλι εξωγαλαξιακοί ισχυροί παλμοί ραδιοσημάτων

Αυτή τη φορά από το νέο καναδικό ραδιοτηλεσκόπιο CHIME Το καναδικό ραδιοτηλεσκόπιο CHIME ανίχνευσε επαναλαμβανόμενες γρήγορες εκλάμψεις ραδιοκυμάτων (Fast Radio Bursts-FRB), οι οποίες προέρχονται από πολύ μακριά, πέρα από τον γαλαξία μας, σε απόσταση περίπου ενάμισι δισεκατομμυρίων ετών φωτός από… Read More ›

Οι Φάροι του Διαστήματος

ΔΙΟΝΥΣΗΣ Π. ΣΙΜΟΠΟΥΛΟΣ* Έχουν περάσει ακριβώς 51 χρόνια από εκείνη τη φθινοπωρινή μέρα της 28ης Νοεμβρίου 1967, όταν η Τζόσελιν Μπελ είχε μείνει άφωνη από τη σταθερότητα των ραδιοπαλμών που είχαν καταγραφεί από το ραδιοτηλεσκόπιο το οποίο είχε αρχίσει να… Read More ›

Ανακαλύφθηκε ο πιο αργός αστέρας νετρονίων

Μια διεθνής ομάδα αστρονόμων – ανάμεσα στους οποίους δύο ελληνικής καταγωγής επιστήμονες της διασποράς- ανακάλυψαν τον πιο αργά περιστρεφόμενο αστέρα νετρονίων (πάλσαρ) που έχει βρεθεί μέχρι σήμερα. Το εν λόγω άστρο-σβούρα, που έχει ηλικία περίπου 14 εκατομμυρίων ετών και βρίσκεται… Read More ›

Διονύσης Σιμόπουλος: Ο ανθρώπινος και κάποιος άλλος πολιτισμός, ίσως συναντηθούν

* «Είμαστε Αστρόσκονη» είναι ο τίτλος του ενδιαφέροντος βιβλίου σας. Μπορείτε να μας λύσετε το «μυστήριο» της ανθρώπινης εξέλιξης; Το «μυστήριο», όπως λέτε της ανθρώπινης εξέλιξης έχει μελετηθεί από την εποχή του Κάρολου Δαρβίνου και μέχρι σήμερα από τους ειδικούς… Read More ›

20 νέες μυστηριώδεις εκλάμψεις από το μακρινό διάστημα

Αστρονόμοι στην Αυστραλία ανίχνευσαν μέσα σε ένα χρόνο άλλες 20 μυστηριώδεις γρήγορες «εκρήξεις» ραδιοκυμάτων (Fast Radio Bursts-FRB), που προέρχονταν από τα βάθη του διαστήματος. Μεταξύ των σημάτων που εντοπίσθηκαν, είναι οι πιο κοντινές και πιο φωτεινές FRB που έχουν ποτέ… Read More ›

Αναζήτηση εξωγήινης ζωής μέσω ανίχνευσης ιχνών τεχνολογίας

Το ερώτημα εάν είμαστε μόνοι στο σύμπαν είναι ένα από τα σημαντικότερα της επιστήμης και της ανθρώπινης ιστορίας εν γένει- και, όπως είναι εύκολα αντιληπτό, η απάντηση σε αυτό αποτελεί έναν από τους σημαντικότερους στόχους της NASA. Η αμερικανική διαστημική υπηρεσία έχει… Read More ›

Tεχνητή νοημοσύνη βρίσκει ταχείες εκλάμψεις ραδιοκυμάτων

Ερευνητές του προγράμματος αναζήτησης εξωγήινης νοημοσύνης Breakthrough Listen στις ΗΠΑ ανίχνευσαν -με τη βοήθεια ενός συστήματος τεχνητής νοημοσύνης- άλλα 72 ραδιοσήματα (Fast Radio Bursts-FRB) από την ίδια μυστηριώδη πηγή, η οποία βρίσκεται σε ένα μακρινό γαλαξία σε απόσταση περίπου τριών… Read More ›

Ανακαλύφθηκε ο πιο μακρινός ραδιογαλαξίας στο σύμπαν

Απέχει περίπου 12 δισεκατομμύρια έτη φωτός από τη Γη Ευρωπαίοι αστρονόμοι κατέρριψαν, μετά από σχεδόν 20 χρόνια (το 1999), το ρεκόρ του πιο μακρινού ραδιογαλαξία που έχει ποτέ ανακαλυφθεί. Ο νέος κάτοχος του ρεκόρ απέχει περίπου 12 δισεκατομμύρια έτη φωτός… Read More ›

Πρώτη επαφή με εξωγήινους ή ψεύτικος συναγερμός;

Μία νέα κλίμακα «Ρίχτερ» που αξιολογεί την σημαντικότητα των «εξωγήινων» σημάτων! Μια διεθνής επιστημονική ομάδα δημιούργησε μια νέα κλίμακα τύπου «Ρίχτερ», η οποία -αντί για σεισμούς- μετρά πόσο πιθανό είναι κάποιο σήμα που «πιάνουν» τα ραδιοτηλεσκόπια, να προέρχεται από εξωγήινο… Read More ›

Πρεμιέρα για το πανίσχυρο ραδιοτηλεσκόπιο MeerKAT

Η Νότια Αφρική παρουσίασε ένα νέο, πανίσχυρο ραδιοτηλεσκόπιο, αποτέλεσμα ενός ευρύτερου διεθνούς πρότζεκτ, που σύμφωνα με τους επιστήμονες θα αποκαλύψει εξαιρετικές λεπτομέρειες για τα μυστήρια του σύμπαντος. Οι εκδηλώσεις των εγκαινίων του εντυπωσιακού MeerKAT, η κατασκευή του οποίου χρειάστηκε μία… Read More ›

Μια μαύρη χήρα ανοίγει νέους ορίζοντες στους ραδιοαστρονόμους

Η πλειονότητα όσων γνωρίζουμε για το σύμπαν προέρχονται από τις παρατηρήσεις των τηλεσκοπίων και την μελέτη των ηλεκτρομαγνητικών κυμάτων που παράγουν τα διάφορα αστρονομικά αντικείμενα. Αυτά τα κύματα μπορεί να διασκορπιστούν και να απορροφηθούν καθώς ταξιδεύουν προς τη Γη, παρέχοντας… Read More ›

Ανιχνεύθηκαν 15 νέα μυστηριώδη κοσμικά ραδιοσήματα

Οι πολύ γρήγορες ραδιοφωνικές εκρήξεις (FRB=Fast Radio Burst) είναι ένα από τα πιο παράξενα αστροφυσικά φαινόμενα. Πρόκειται για ισχυρούς παλμούς ραδιοσημάτων που προέρχονται από πολύ μακρινές αποστάσεις, διαρκούν χιλιοστά του δευτερολέπτου και στη συνέχεια εξαφανίζονται. Eπειδή είναι τόσο σύντομες και… Read More ›

Σε ποια συχνότητα εκπέμπουν οι εξωγήινοι;

Εναλλακτικές συχνότητες για την διαστρική επικοινωνία Η συχνότητα των 1420 ΜHz (μήκος κύματος 21 cm) θεωρείται μια κατάλληλη συχνότητα από το πρόγραμμα SETI για την αναζήτηση σημάτων εξωγήινης ζωής. Αυτή η ραδιοφωνική συχνότητα μπορεί να περάσει μέσα από νέφη σκόνης… Read More ›

Εντοπίστηκαν μυστηριώδη ραδιοσήματα σε απόσταση 2,5 δισεκατομμύρια έτη φωτός

… μακριά από τη Γη Αν είναι σήματα από εξωγήινους που μας λένε «είμαστε εδώ!», τότε η απάντησή μας «γειά σας, υπάρχουμε κι εμείς εδώ!» θα φτάσει σ’ αυτούς μετά από 2,5 δισεκατομμύρια χρόνια και πλέον! Δυστυχώς όμως, ούτε αυτή… Read More ›

Τα 5 μεγαλύτερα μυστήρια του σύμπαντος και πως θα τα απαντήσουμε

1. Τι είναι η σκοτεινή ύλη; 2. Τι είναι η σκοτεινή ενέργεια; 3. Τι υπήρχε πριν την Μεγάλη Έκρηξη; 4. Τι υπάρχει μέσα σε μια μαύρη τρύπα; 5. Είμαστε μόνοι στο σύμπαν; Από την ανίχνευση των βαρυτικών κυμάτων μέχρι την… Read More ›

Αντίστροφη μέτρηση για την πρώτη «φωτογράφηση» μιας μαύρης τρύπας

(νεώτερη ενημέρωση 6/4/2017) Για πρώτη φορά, την επόμενη άνοιξη ένα δίκτυο εννέα επίγειων ραδιοηλεσκοπίων θα αποπειραθεί να απαθανατίσει το «προφίλ» μιας μαύρης τρύπας. Στόχος του Event Horizon Telescope (ΕΗΤ), όπως ονομάζεται το πρότζεκτ, είναι να «φωτογραφήσει» τον Τοξότη Α*, τη… Read More ›

Πως θα έμοιαζε το σύμπαν αν μπορούσαμε να δούμε τα ραδιοκύματα;

Το ερευνητικό πρόγραμμα GLEAM (Galactic and Extragalactic All-Sky MWA) παρουσιάζει 300.000 γαλαξίες στις συχνότητες 70 έως 230 MegaHertz. Επειδή οι συχνότητες αυτές είναι αόρατες στο ανθρώπινο μάτι, στο βίντεο που ακολουθεί με κόκκινο χρώμα παρουσιάζονται οι μικρότερες συχνότητες, με πράσινο… Read More ›

To μυστηριώδες εξωγήινο ραδιοσήμα τελικά ήταν γήινο

Άνθρακες ο θησαυρός. Το μυστηριώδες σήμα που συνέλαβε το ρωσικό ραδιοτηλεσκόπιο (Φήμες για μυστηριώδες «εξωγήινο» ραδιοσήμα) τελικά φαίνεται πώς έχει γήινη προέλευση, όπως παραδέχθηκαν επίσημα οι ίδιοι οι Ρώσοι αστρονόμοι. Το σήμα φαινόταν πως είχε προέλευση από την περιοχή του… Read More ›

Οι φήμες για το μυστηριώδες «εξωγήινο» ραδιοσήμα

Κανείς δεν ισχυρίζεται ότι προέρχεται από εξωγήινο πολιτισμό, σίγουρα όμως αξίζει περισσότερη μελέτη. To σήμα ανιχνεύθηκε στις 15 Μαΐου 2015 από το ραδιοτηλεσκόπιο RATAN-600 της Ρωσικής Ακαδημίας Επιστημών, που βρίσκεται στον Καύκασο. Φαίνεται ότι προέρχεται από το άστρο HD 164595,… Read More ›

Ραδιοτηλεσκόπια «είδαν» μια τεράστια μαύρη τρύπα να καταβροχθίζει άστρο

Αστρονόμοι από διάφορες χώρες, μεταξύ των οποίων ένας Έλληνας επιστήμονας της διασποράς, εντόπισαν μια τεράστια μαύρη τρύπα στο κέντρο ενός μακρινού γαλαξία, η οποία απορροφά ένα άστρο, ενώ την ίδια ώρα ένας πίδακας ύλης εκτοξεύεται από την «καρδιά» του γαλαξία…. Read More ›

Στην Κίνα το μεγαλύτερο ραδιοτηλεσκόπιο στον κόσμο

Τελείωσε σήμερα η κατασκευή του ραδιοτηλεσκοπίου Fast (Five-hundred-metre Aperture Spherical Radio Telescope) στην επαρχία Γκινζού της Κίνας, καθώς προστέθηκε και το τελευταίο πάνελ από τα 4.450 τμήματα του κατόπτρου του. Έτσι, άνοιξε ο δρόμος ώστε τον Σεπτέμβριο, όταν θα ξεκινήσει… Read More ›

Ανακαλύφθηκε χειρόμορφο οργανικό μόριο σε μεσοαστρικό νέφος

… κοντά στο κέντρο του γαλαξία μας Λέμε ότι ένα μόριο έχει συμμετρία χειρός (εναντιομέρεια) όταν η κατοπτρική του εικόνα δεν ταιριάζει με το μόριο που βλέπουμε στην άλλη πλευρά του καθρέφτη. Για παράδειγμα, τα χέρια μας έχουν συμμετρία χειρός:… Read More ›

Ανίχνευσαν υδρογόνο σε γαλαξία 5 δισ. έτη φωτός από τη Γη

Αστρονόμοι από τις ΗΠΑ και άλλες χώρες πέτυχαν ένα νέο ρεκόρ απόστασης στη ραδιο-αστρονομία, ανιχνεύοντας τις ραδιο-εκπομπές από ατομικό υδρογόνο, το πιο άφθονο χημικό στοιχείο στο σύμπαν, σε έναν γαλαξία σε απόσταση σχεδόν πέντε δισεκατομμυρίων ετών από τη Γη. Διαβάστε… Read More ›

Ένα πάλσαρ στο εξώφυλλο άλμπουμ των Joy Division

Bουλευτής του κυβερνώντος κόμματος εμφανίστηκε σήμερα στη βουλή φορώντας ένα t-shirt σαν αυτό της εικόνας, προκαλώντας πολλά και ειρωνικά σχόλια τα οποία μπορείτε εύκολα να αναζητήσετε αλλού στο διαδίκτυο. Σε πολλούς δημιουργήθηκε η απορία για το τι παριστάνει αυτή η εικόνα. Πρόκειται για… Read More ›

«Εκρήξεις» ραδιοκυμάτων από το μακρινό σύμπαν

Οι αστρονόμοι κατάφεραν για πρώτη φορά να εντοπίσουν την προέλευση μιας «γρήγορης εκπομπής (έκρηξης) ραδιοκυμάτων» (Fast Radio Burst-FRB). Οι επιστήμονες επιβεβαίωσαν τις υποψίες τους ότι αυτές οι πολύ σύντομες αλλά εντυπωσιακές «αναλαμπές» ραδιοκυμάτων προέρχονται από το μακρινό σύμπαν και η… Read More ›

Κοσμολογία με ραδιοκύματα μήκους κύματος 21cm

Το στοιχείο του υδρογόνου είναι το στοιχείο με την μεγαλύτερη αφθονία στο Σύμπαν. Είναι γνωστό πως το υδρογόνο εκπέμπει ραδιοκύματα μήκους κύματος 21 εκατοστών [διαβάστε σχετικά: Το υδρογόνο εκπέμπει στην ραδιοφωνική συχνότητα των 1420 ΜHz]. Θα μπορούσαμε λοιπόν να «δούμε» την… Read More ›

Τα ρολόγια του σύμπαντος και ο Αϊνστάιν

Πώς η σκοτεινή ύλη και η σκοτεινή ενέργεια ταιριάζουν στο πλαίσιο της Γενικής Θεωρίας της Σχετικότητας; Πότε και πώς θα εντοπίσουμε βαρυτικά κύματα; Αληθεύουν οι φήμες ότι τα ανίχνευσαν μόλις τα επίγεια πειράματα; Αυτά ήταν τα τρία πιο καυτά ερωτήματα… Read More ›

Ψάχνοντας για εξωγήινα μόρια

Οι αστροχημικοί ανακαλύπτουν χημικές ενώσεις που δεν υπάρχουν στη Γη Κάτι περίεργο κρυβόταν στο νεφέλωμα της Κεφαλής του Αλόγου που βρίσκεται στον αστερισμό του Ωρίωνα, περίπου 1.500 έτη φωτός από τη Γη. Το νεφέλωμα, το οποίο «διαγράφει» το σχήμα του… Read More ›

Τα περιστέρια, η κεραία κι εγώ: Robert Wilson

(νεώτερη ενημέρωση 12/10/2016) Το 1964 το εργαστήριο Bell διέθετε μια ασυνήθιστη ραδιοφωνική κεραία πάνω σε έναν λόφο στο New Jersey. Η κεραία είχε στηθεί για την επικοινωνία μέσω ενός δορυφόρου, αλλά οι προδιαγραφές της – ανακλαστήρας 6 μέτρων με εξαιρετικά… Read More ›

Το μεγαλύτερο ραδιοτηλεσκόπιο στο κόσμο

… θα έχει διάμετρο 500 μέτρα Πεκίνο, Κίνα Το μεγαλύτερο ραδιοτηλεσκόπιο του κόσμου συναρμολογείται αυτή τη στιγμή σε μια απομακρυσμένη κοιλάδα της Κίνας. Το σφαιρικό τηλεσκόπιο F.A.S.T. (αρκτικόλεξο του Five-hundred-meters ApertureSpherical Radio-Τelescope), που βρίσκεται στην επαρχία Γκουιτζού ξεκίνησε να κατασκευάζεται τον Μάρτιο του… Read More ›

Η μέτρηση της θερμοκρασίας του σύμπαντος από τον Ohm

Ο E. A. Ohm ήταν ο πρώτος που ανίχνευσε την κοσμική ακτινοβολία υποβάθρου Όχι βέβαια ο G. S. Ohm (1789 – 1854), που διατύπωσε τoν ομώνυμο νόμο στον ηλεκτρισμό (Ι=V/R), αλλά ο E. A. Ohm που την δεκαετία του 1960 εργαζόταν στo… Read More ›

Πως φαίνεται το Voyager 1 από την Γη

…  διαμέσου του συστήματος ραδιοτηλεσκοπίων VLBA (Very Long Baseline Array) Το σήμα του διαστημοπλοίου Voyager 1 – το πιο απομακρυσμένο ανθρώπινο κατασκεύασμα από την Γη – εντοπίστηκε από το δίκτυο των ραδιοτηλεσκοπίων Very Long Baseline Array (VLBA) . Τα ραδιοτηλεσκόπια προφανώς δεν… Read More ›

Αστραπιαίες πανίσχυρες εκπομπές ραδιοκυμάτων …

… έξω από τον γαλαξία μας αποτελούν ένα νέο κοσμικό μυστήριο Μια διεθνής ομάδα αστρονόμων εντόπισε τέσσερις αστραπιαίας ταχύτητας μυστηριώδεις εκπομπές υψηλής ενέργειας ραδιοκυμάτων, που προέρχονται έξω από τον γαλαξία μας και φαίνεται να προκλήθηκαν σε απόσταση δισεκατομμυρίων ετών φωτός,… Read More ›

Βίντεο: ALMA, το μεγαλύτερο ραδιοτηλεσκόπιο του κόσμου

Εγκαινιάστηκε το μεγαλύτερο ραδιοτηλεσκόπιο στον κόσμο ALMA και ήδη άρχισε να ξαναγράφει την ιστορία του σύμπαντος, ανακαλύπτοντας τα πιο μακρινά ίχνη νερού που έχουν ποτέ βρεθεί. Το μεγαλύτερο διεθνές ραδιοτηλεσκόπιο στη Γη, το ALMA (Atacama Large Millimeter/Submillimeter Array), που βρίσκεται… Read More ›

Όριο στον αριθμό εξωγήινων πολιτισμών …

… του Γαλαξία μας θέτουν ραδιοαστρονόμοι Σύμφωνα με την εκτίμηση αστρονόμων του Πανεπιστημίου της Καλιφόρνιας στο Berkeley, ο γαλαξίας μας περιέχει σχεδόν ένα εκατομμύριο πλανήτες που ίσως να φιλοξενούν εξωγήινους προηγμένους πολιτισμούς. Οι αστρονόμοι χρησιμοποιώντας το Green Bank Telescope στη… Read More ›

Νερό στους πόλους του Ερμή βρίσκει το MESSENGER

(νεώτερη ενημέρωση 17-10-2014) Το Messenger φωτογράφησε πάγο στον Ερμή Οι υπεύθυνοι της αποστολής Messenger της NASA, της πρώτης που τίθεται σε τροχιά γύρω από τον μικρό Ερμή, παρουσιάζουν τις πρώτες πραγματικές φωτογραφίες του πάγου -εικόνες στο φάσμα του ορατού φωτός…. Read More ›

Η ανίχνευση βαρυτικών κυμάτων προ των πυλών

Τα βαρυτικά κύματα αποτελούν κυματισμούς στον ιστό του χωρόχρονου που προκαλούνται από κατακλυσμικά γεγονότα στο σύμπαν, όπως συγκρούσεις αστέρων νετρονίων και συγχωνεύσεις μαύρων τρυπών. Το εντονότερο απ’ αυτά τα γεγονότα, και αυτό που μπορεί να παρατηρηθεί ευκολότερα (τρόπος του λέγειν),… Read More ›

Η ταινία «The Dish ΙΙ»

http://youtu.be/Tc4MSie-P0k Στο παραπάνω βίντεο βλέπουμε το τρέιλερ της ταινίας “The Dish (Το Πιάτο)”. Πρόκειται για μια διασκεδαστική τανία που περιγράφει το πως οι ραδιοαστρονόμοι της Αυστραλίας κατάφεραν την τελευταία στιγμή να αποκαταστήσουν την επικοινωνία με το Απόλλων 11, κατά τη… Read More ›

Η ΙΒΜ κατασκευάζει τον ισχυρότερο υπολογιστή του κόσμου

Θα επεξεργάζεται τα δεδομένα της συστοιχίας ραδιοτηλεσκοπίων Square Kilometer Array (SKA) Η ΙΒΜ αναπτύσσει έναν πανίσχυρο υπολογιστή ο οποίος θα επεξεργάζεται τον ωκεανό των δεδομένων που θα παράγει καθημερινά το επίγειο διαστημικό παρατηρητήριο SKA που θα τεθεί σε λειτουργία σε… Read More ›

Τα άστρα νετρονίων θα καθοδηγούν τα διαστημόπλοια

Δορυφορική πλοήγηση πέραν του ηλιακού μας συστήματος – Επιστήμονες από το Ινστιτούτο Max Planck αναπτύσσουν το GPS του διαστήματος Τα γνωστά συστήματα δορυφορικής πλοήγησης (GPS) προσδιορίζουν θέσεις μόνο πάνω στoν μικροσκοπικό πλανήτη Γη. Οι ερευνητές του Ινστιτoύτου Max Planck προσπαθούν να δημιουργήσουν… Read More ›

Πόσο μακριά στο σύμπαν έχουν φτάσει οι τηλεοπτικές μας εκπομπές;

Έχετε αναρωτηθεί ποτέ πόσο μακριά έχουν εξαπλωθεί οι ραδιοτηλεοπτικές εκπομπές στον γαλαξία μας; Στο μυθιστόρημα επιστημονικής φαντασίας «Επαφή» του Carl Sagan, οι ραδιοαστρονόμοι στη Γη συλλαμβάνουν σήματα  από τον Βέγα που βρίσκεται σε απόσταση 25 έτη φωτός. Η αρχική αποκωδικοποίηση του σήματος… Read More ›

Τηλεσκόπιο ALMA: το μεγαλύτερο άλμα από την εποχή του Γαλιλαίου

Το τηλεσκόπιο ALMA (Atacama Large Millimetre/Submillimetre Array) θα μπορούσε να μας αποκαλύψει τον τρόπο που σχηματίστηκαν οι πλανήτες και να λύσει το μυστήριο του σχηματισμού των ωκεανών της Γης. Το πιο ακριβό επίγειο τηλεσκόπιο ALMA – 1.3 δισεκατομμύρια δολάρια –… Read More ›

LOFAR: Το μεγαλύτερο τηλεσκόπιο του κόσμου

… θα αναζητήσει τα ίχνη των πρώτων  άστρων Το μεγαλύτερο «εικονικό» ραδιοτηλεσκόπιο που έχει δημιουργηθεί έως σήμερα θα σχηματίσουν τουλάχιστον 20.000 κεραίες, διάσπαρτες σε όλη την Ευρώπη, οι οποίες θα συνδεθούν σύντομα μέσω Διαδικτύου. Ένας από τους πρώτους στόχους του θα… Read More ›

To μεγαλύτερο τηλεσκόπιο άρχισε τις παρατηρήσεις του

To RadioAstron είναι πράγματι το μεγαλύτερο ραδιοτηλεσκόπιο που κατασκευάστηκε ποτέ. Και βρίσκεται ήδη σε λειτουργία. Το βασικότερο εξάρτημα του τηλεσκοπίου είναι η γιγάντια κεραία διαμέτρου 10 μέτρων, που μεταφέρει το διαστημικό σκάφος Spectr-R . (Πατήστε ΕΔΩ  για να δείτε διαδραστικά… Read More ›

Skynet: Οικιακοί υπολογιστές εξερευνούν τα άστρα

Το πρόγραμμα Skynet αξιοποιεί τη διαθέσιμη ισχύ χιλιάδων οικιακών υπολογιστών για να αναλύσει τεράστιο όγκο διαθέσιμων αστρονομικών δεδομένων. Αν και το όνομα παραπέμπει στον υπερυπολογιστή που φέρνει τον πυρηνικό όλεθρο στη σειρά ταινιών του «Εξολοθρευτή», ο Skynet του Διεθνούς Κέντρου… Read More ›

Βίντεο: A.L.M.A. – η μεγαλύτερη συστοιχία ραδιοτηλεσκοπίων…

… είναι έτοιμη να λειτουργήσει. Τα αρχικά Α.L.M.A. σημαίνουν: Atacama Large Millimeter/submillimeter Array Έτοιμο να λειτουργήσει είναι το μεγαλύτερο επίγειο διαστημικό παρατηρητήριο ALMA. Στην ουσία πρόκειται γιά ένα«πάρκο» ραδιοτηλεσκοπίων και πριν λίγα 24ωρα τοποθετήθηκε το 16ο από τα συνολικά 66 ραδιοτηλεσκόπια… Read More ›

Το Spektr-R (ή RadioAstron) σε τροχιά

Η Ρωσία αντεπιτίθεται με διαστημικό τηλεσκόπιο «ισχυρότερο από το Hubble» Η κεραία του Spektr-R έχει διάμετρο 10 μέτρα. Πατήστε ΕΔΩ για να περιστρέψετε την εικόνα Παρά τα τεχνικά προβλήματα στη διάρκεια του Σαββατοκύριακου, το διαστημικό ραδιοτηλεσκόπιo Spektr-R κατάφερε τελικά να ανοίξει… Read More ›

Ανιχνεύθηκαν μόρια σακχάρου στην κατοικήσιμη ζώνη του Γαλαξία μας

Μόριο σακχάρου που συνδέεται άμεσα με την δημιουργία ζωής εντόπισαν οι αστρονόμοι σε μια περιοχή του γαλαξία μας όπου θα μπορούσαν να υπάρχουν κατοικήσιμοι πλανήτες. Η γλυκοαλδεΰδη (HOCH 2 -CH = O) – ο απλούστερος μονοσακχαρίτης – μπορεί να αντιδράσει με την προπενάλη… Read More ›

Ρωσικό διαστημικό τηλεσκόπιο με 30 φορές μεγαλύτερη «διάμετρο» από τη Γη

Σε τροχιά το Radio-Astron http://youtu.be/48O4kgjjKkc Τέθηκε σε τροχιά πριν από λίγες ώρες το ρωσικό διαστημικό τηλεσκόπιο RadioAstron. Η εκτόξευση έγινε από το διαστημικό κέντρο του Μπαϊκονούρ στο Καζακστάν και το τηλεσκόπιο θα κινείται σε ελλειπτική τροχιά γύρω από την γη… Read More ›

Ο νέος βραχίονας του Γαλαξία μας

… αποκαλύπτεται χάρη στο μονοξείδιο του άνθρακα Η βασική δομή του γαλαξία μας πιστεύεται ότι περιλαμβάνει ένα νέο βραχίονα που δεν μπορούμε να δούμε (το γκρι χρώμα δείχνει τμήματα που δεν έχουν προσδιοριστεί ακόμη). Για περισσότερη σαφήνεια από την εικόνα… Read More ›

Ραδιοτηλεσκόπιο εντοπίζει "ίχνη" μαύρης τρύπας

Ο ελλειπτικός γαλαξίας NGC 5128 είναι πηγή ραδιοκυμάτων και είναι γνωστός ως Centaurus Α. Στην εικόνα το μπλε χρώμα παριστάνει ακτίνες Χ και το πορτοκαλί μικροκύματα. Αποκαλύπτονται οι πίδακες και οι ραδιο-ακτινοβολούντες λοβοί που προέρχονται από την κεντρική μαύρη τρύπα… Read More ›

Σούπερ παρατηρητήριο με χιλιάδες ραδιοτηλεσκόπια

Θα φωτίσει το παρελθόν του Σύμπαντος και θα αναζητήσει εξωγήινη ζωή Καλλιτεχνική απεικόνιση ενός τμήματος του νέου παρατηρητήριου που θα αποτελείται από χιλιάδες τηλεσκόπια Λονδίνο Η κατασκευή του μεγαλύτερου επίγειου διαστημικού παρατηρητηρίου συμφωνήθηκε το περασμένο Σάββατο 2 Απριλίου στη Ρώμη…. Read More ›

Γιγάντια ομάδα ραδιοτηλεσκοπίων "ακούει" το διάστημα

Αυτή είναι η εικόνα ενός τμήματος του ουρανού γύρω από το κβάζαρ 3C196 – μια μαύρη τρύπα σε έναν  γαλαξία 6,9 δισεκατομμύρια έτη φωτός μακριά – και είναι η καλύτερη που δημιουργήθηκε μέχρι τώρα, από το διεθνές τηλεσκόπιο LOFAR (Low Frequency Array). Για… Read More ›

Το υδρογόνο εκπέμπει στην ραδιοφωνική συχνότητα των 1420 ΜHz

Τα αέρια νέφη του μεσοαστρικού χώρου που βρίσκονται σε θερμοκρασία 10 έως 100Κ περιέχουν κυρίως υδρογόνο σε ατομική ή μοριακή μορφή. Τέτοια αέρια νέφη ήταν πολύ δύσκολο να ανιχνευθούν από τους αστρονόμους, διότι τα ψυχρά αυτά νέφη δεν εμφάνιζαν μετρήσιμη… Read More ›