Στις 14 Σεπτεμβρίου του 2015 οι δύο ανιχνευτές του Παρατηρητηρίου Βαρυτικών Κυμάτων LIGO ανίχνευσαν ταυτόχρονα ένα παροδικό σήμα βαρυτικού κύματος (Observation of Gravitational Waves from a Binary Black Hole Merger). Η ημερομηνία καταγράφηκε ως η πρώτη ανίχνευση βαρυτικού κύματος στην… Read More ›
LIGO
To πιο ξεκάθαρο τιτίβισμα βαρυτικών κυμάτων
Στο βίντεο που ακολουθεί συγκρίνεται το σήμα του βαρυτικού κύματος GW250114 που ανιχνεύθηκε πρόσφατα, με το πρώτο σήμα βαρυτικού κύματος (GW150914) που εντοπίστηκε το 2015. Και τα δύο βαρυτικά κύματα προήλθαν από συγκρουόμενες μαύρες τρύπες, η καθεμία με μάζα από… Read More ›
Η οικοδομή στηρίζει την αστρονομία
Το Εθνικό Ίδρυμα Επιστημών στις ΗΠΑ χρηματοδοτεί δύο Παρατηρητήρια Βαρυτικών Κυμάτων, το LIGO Hanford που βρίσκεται στην πολιτεία Washington, στη βορειοδυτική ακτή των ΗΠΑ, κοντά στην πόλη Richland, και το δίδυμό του, το LIGO Livingston στη Louisiana. Τα έγγραφα του… Read More ›
GW231123: η υπερ-μαζικότερη συγχώνευση μαύρων τρυπών που καταγράφηκε μέχρι σήμερα
Η ερευνητική ομάδα LIGO-Virgo-KAGRA (LVK) ανίχνευσε την υπερ-μαζικότερη συγχώνευση μαύρων τρυπών που έχει παρατηρηθεί μέχρι σήμερα με βαρυτικά κύματα. Η καταγραφή των βαρυτικών κυμάτων έγινε από τους δύο ανιχνευτές LIGO, στο Hanford (Washington) και στο Livingston (Louisiana), οι οποίοι χρηματοδοτούνται (ακόμα) από το Εθνικό… Read More ›
GW230529: Η συγχώνευση ενός αστέρα νετρονίων και ενός άγνωστου συμπαγούς αντικειμένου
Η περίληψη της ανακάλυψης της πηγής βαρυτικών κυμάτων GW230529 στα ελληνικά στον ιστότοπο του LIGO: πατήστε ΕΔΩ Ερευνητές του ΑΠΘ στους συγγραφείς της ανακοίνωσης σπάνιας ανακάλυψης κατά την ανίχνευση βαρυτικών κυμάτων Η συγχώνευση ενός αστέρα νετρονίων και ενός άγνωστου συμπαγούς… Read More ›
Ακούστε το τιτίβισμα από την σύγκρουση δυο μαύρων τρυπών
Μερικές από τις πιο βίαιες κοσμικές συγκρούσεις συμβαίνουν σιωπηρά στο κενό του διαστήματος. Κι όμως. Αν διαθέτουμε τα σωστά όργανα, μπορούμε να τις ακούσουμε! Oι μαύρες τρύπες δεν είναι μόνο θεωρητικά μοντέλα στο μυαλό των φυσικών. Η ανίχνευση των βαρυτικών… Read More ›
Η αναζήτηση των μυστικών του σύμπαντος συνεχίζεται
… με τη συμμετοχή του Αριστοτελείου Πανεπιστημίου Θεσσαλονίκης Ξεκίνησε η 4η περίοδος παρατήρησης (O4) της διεθνούς συνεργασίας ανιχνευτών βαρυτικών κυμάτων LIGO-Virgo-KAGRA! Η περίοδος αυτή θα διαρκέσει 20 μήνες, στην διάρκεια των οποίων αναμένουμε να ανακαλύψουμε εκατοντάδες νέες πηγές βαρυτικών κυμάτων!… Read More ›
Εξακολουθεί να ισχύει η θεωρία του Αϊνστάιν για την βαρύτητα μετά τις τελευταίες παρατηρήσεις των ανιχνευτών LIGO/VIRGO/KAGRA;
[Πρόκειται για το άρθρο που δημοσιεύθηκε στις 13 Δεκεμβρίου 2021 στο ligo.org με τίτλο: DOES EINSTEIN’S THEORY OF GRAVITY HOLD UP TO THE LATEST LIGO/VIRGO/KAGRA OBSERVATIONS?, μεταφρασμένο στα Ελληνικά από τους Θ. Αποστολάτο, Ν. Στεργιούλα και Γ. Παππά (Virgo-AUTh group).]… Read More ›
Βελτίωση των μετρήσεων της κοσμικής διαστολής με βαρυτικά κύματα
[Πρόκειται για το άρθρο ‘IMPROVING MEASUREMENTS OF THE COSMIC EXPANSION WITH GRAVITATIONAL WAVES» που δημοσιεύθηκε στον ιστότοπο του LIGO. Το άρθρο έχει αναρτηθεί και στην Ελληνική γλώσσα, μεταφρασμένο από τους Παναγιώτη Ιωσήφ, Δημήτρη Πέσιο και Γεώργιο Παππά (AUTh Virgo group).]… Read More ›
Ένας εντυπωσιακός πίνακας με όλα τα βαρυτικά κύματα που ανιχνεύθηκαν μέχρι σήμερα
Στις 7 Νοεμβρίου 2021, οι ερευνητικές ομάδες των ανιχνευτών βαρυτικών κυμάτων LIGO-Virgo-KAGRA δημοσίευσαν τα αποτελέσματα του δεύτερου μισού του τρίτου κύκλου των παρατηρήσεών τους (O3b). Σε σχέση με την τελευταία έκδοση καταλόγου (O3a) τον Οκτώβριο του 2020, αναφέρονται 35 επιπλέον… Read More ›
Μια νέα πηγή βαρυτικών κυμάτων: Διπλό σύστημα αστέρα νετρονίων-μαύρης τρύπας
Οι ανιχνευτές βαρυτικών κυμάτων LIGO και Virgo παρατήρησαν για πρώτη φορά βαρυτικά κύματα που προκλήθηκαν από την συγχώνευση αστέρα νετρονίων με μαύρη τρύπα (Υπενθυμίζεται ότι εκτός από τα συνηθισμένα βαρυτικά κύματα που προκαλούνται από συγχώνευση μαύρων τρυπών, είχαν ήδη παρατηρηθεί… Read More ›
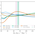
Τα βαρυτικά κύματα μας λένε πόσο γρήγορα διαστέλλεται το σύμπαν
Στα μέσα της δεκαετίας του 1980, όταν η ανίχνευση βαρυτικών κυμάτων ανήκε ακόμα στην σφαίρα της επιστημονικής φαντασίας, ο Bernard F. Schutz δημοσίευε ένα άρθρο για το πως θα μπορούσαμε να μετρήσουμε την σταθερά του Hubble χρησιμοποιώντας παρατηρήσεις (!) βαρυτικών… Read More ›
Οι μάζες στο αστρικό νεκροταφείο
διαβάστε περισσότερα ΕΔΩ: GWTC-2: AN EXPANDED CATALOG OF GRAVITATIONAL-WAVE DETECTIONS και ΕΔΩ: LIGO AND VIRGO ANNOUNCE NEW DETECTIONS IN UPDATED GRAVITATIONAL-WAVE CATALOG Ενδιαφέρον έχει και η παρακάτω «οπτικοποίηση» 38 επιβεβαιωμένων συγχωνεύσεων μαύρων τρυπών που ανίχνευσαν οι LIGO και Virgο:
GW190521: ένα βαρυτικό κύμα βαρύνουσας σημασίας
Οι ερευνητές των ανιχνευτών Advanced LIGO και Advanced Virgo, ανακοίνωσαν προχθές, ότι τον Μάιο του 2019, κατέγραψαν ένα πολύ ενδιαφέρον σήμα βαρυτικών κυμάτων που ονομάστηκε GW190521, προερχόμενο από τη συγχώνευση ενός ασυνήθιστου ζεύγους μαύρων τρυπών. Σύμφωνα με το εκλαϊκευμένο άρθρο,… Read More ›
Μια συγχώνευση μαύρων τρυπών βαρέων βαρών
Γιατί η ανίχνευση του βαρυτικού κύματος GW190521 είναι σημαντική Το GW190521 σύμφωνα με την σημερινή δημοσίευση στο περιοδικό Physical Review Letters [GW190521: A Binary Black Hole Merger with a Total Mass of 150 M⊙], είναι ένα βαρυτικό κύμα που κατέγραψαν οι… Read More ›
Βαρυτικά κύματα από συγχώνευση μαύρης τρύπας με άστρο νετρονίων για «πρώτη φορά»
Τα βαρυτικά κύματα αποκαλύπτουν το «τραγικό φινάλε» ενός άστρου νετρονίων που καταβροχθίζεται από μια μαύρη τρύπα Μάλλον πρόκειται για την πρώτη αξιόπιστη ανίχνευση βαρυτικών κυμάτων προερχόμενα από τέτοιου είδους αιτία – συγχώνευση δυαδικού συστήματος μαύρης τρύπας και άστρου νετρονίων. Οι… Read More ›
Νέα βαρυτικά κύματα
ΔΙΟΝΥΣΗΣ Π. ΣΙΜΟΠΟΥΛΟΣ* Τον περασμένο μήνα ξεκίνησε η τρίτη περίοδος ερευνών βαρυτικών κυμάτων από τα ειδικά εργαστήρια LIGO στις ΗΠΑ σε συνεργασία με το ευρωπαϊκό εργαστήριο VIRGO κοντά στην Πίζα της Ιταλίας, το οποίο διευθύνεται από τον Σταύρο Κατσανέβα, που… Read More ›
Βαρυτικά κύματα από την συγχώνευση μαύρης τρύπας με άστρο νετρονίων
Οι ανιχνευτές βαρυτικών κυμάτων LIGO και Virgo ανίχνευσαν σήματα προερχόμενα από την καταβρόχθιση ενός άστρου νετρονίων από μια μαύρη τρύπα. Αν επιβεβαιωθεί το γεγονός θα είναι η πρώτη φορά που εντοπίζονται βαρυτικά κύματα από την συγχώνευση ενός τέτοιου δυαδικού συστήματος… Read More ›
Ανακοινώθηκαν επίσημα 4 νέες ανιχνεύσεις βαρυτικών κυμάτων
Από τότε που ανιχνεύθηκαν για πρώτη φορά βαρυτικά κύματα το Σεπτέμβριο του 2015, έχουν έως τώρα επιβεβαιωθεί συνολικά 11 περιστατικά από τους επίγειους ανιχνευτές LIGO και VIRGO. Συγκεκριμένα πρόκειται για βαρυτικά κύματα («ρυτιδώσεις» του χωροχρόνου που φθάνουν στον πλανήτη μας)… Read More ›
Σχετικά με τα άστρα νετρονίων που συγχωνεύθηκαν …
… παράγοντας το βαρυτικό κύμα GW170817 Στις 17 Αυγούστου 2017 οι ανιχνευτές βαρυτικών κυμάτων LIGO και Virgo εντόπισαν για πρώτη φορά στην ιστορία της ανθρωπότητας βαρυτικά κύματα που παράχθηκαν από την σύγκρουση άστρων νετρονίων. To νέο βαρυτικό κύμα που ανιχνεύθηκε… Read More ›
H Βίκυ Καλογερά μέλος της Εθνικής Ακαδημίας Επιστημών των ΗΠΑ
Συγχαρητήριο τηλεφώνημα από τον Πρόεδρο της Δημοκρατίας δέχτηκε η Βίκυ Καλογερά, καθηγήτρια του Πανεπιστημίου Northwestern στο Illinois για την εκλογή της ως μέλους της Εθνικής Ακαδημίας Επιστημών των ΗΠΑ. H Βίκυ Καλογερά συμμετέχει στην ερευνητική ομάδα ανίχνευσης βαρυτικών κυμάτων (LIGO)… Read More ›
Τα βαρυτικά κύματα ενός κορακιού
Πως τα κοράκια δημιουργούσαν προβλήματα στον ανιχνευτή βαρυτικών κυμάτων LIGO Τα συμπαθητικά πουλιά προσπαθώντας να ξεδιψάσουν ραμφίζοντας τον πάγο που κάλυπτε σωλήνες της διάταξης του ανιχνευτή, προκαλούσαν δυσλειτουργία στην συλλογή δεδομένων. Σύμφωνα με την ανακοίνωση που έκανε στις 16 Απριλίου… Read More ›
Συνέντευξη του Μιχάλη Αγάθου
Μία από τις σημαντικότερες ανακαλύψεις της εποχής έγινε τη χρονιά που μας πέρασε και πρόκειται για την ανίχνευση βαρυτικών κυμάτων στη Γη από την σύγκρουση δύο άστρων νετρονίων από εργαστήρια στις ΗΠΑ και την Ευρώπη. Επιπλέον, για πρώτη φορά εντόπισαν… Read More ›
Το σημαντικότερο επιστημονικό επίτευγμα του 2017
… η ανίχνευση βαρυτικών κυμάτων από συγχώνευση άστρων νετρονίων Η πρώτη παρατήρηση της συγχώνευσης δύο μακρινών άστρων νετρονίων, μέσω της ταυτόχρονης ανίχνευσης βαρυτικών κυμάτων και ακτινοβολίας από αυτό το βίαιο κοσμικό συμβάν που συγκλόνισε αστρονόμους και φυσικούς, επιλέχθηκε από το… Read More ›
Νόμπελ Φυσικής 2017: Οι διαλέξεις των βραβευθέντων φυσικών
Το βραβείο Νόμπελ Φυσικής 2017 μοιράστηκε στα δυο. Το μισό βραβείο απονεμήθηκε στον Rainer Weiss, και το άλλο μισό στους Barry C. Barish και Kip S. Thorne «για καθοριστική συμβολή τους στον ανιχνευτή LIGO και την παρατήρηση των βαρυτικών κυμάτων». Στο… Read More ›
Η θεωρία των χορδών αποτυγχάνει σε πειραματικό έλεγχο
Ένας τρόπος ελέγχου της θεωρίας των χορδών προτάθηκε πριν από αρκετά χρόνια (2004) από τον Polchinski και τους συνεργάτες του. Σύμφωνα με την τότε ανακοίνωσή τους μια εφικτή δοκιμασία της θεωρίας των χορδών θα μπορούσε να γίνει διαμέσου των ανιχνευτών… Read More ›
Η πέμπτη ανίχνευση βαρυτικού κύματος από συγχώνευση μαύρων τρυπών
Στις 8 Ιουνίου 2017 οι δυο ανιχνευτές LIGO κατέγραψαν το πέμπτο σήμα βαρυτικών κυμάτων που προέκυψε από συγχώνευση δυαδικού συστήματος μαύρων τρυπών. Το γεγονός ονομάστηκε GW170608 και συνέβη σε απόσταση περίπου ενός δισεκατομμυρίου ετών φωτός από τη Γη. Οι δυο… Read More ›
Επιβεβαιώνοντας τον Αϊνστάιν
GW150914 είναι ο κωδικός που δηλώνει τον πρώτο στην Ιστορία εντοπισμό βαρυτικών κυμάτων, στις 14 Σεπτεμβρίου του 2015. Την θεωρητική ύπαρξή τους είχε προβλέψει ο Αϊνστάιν με τη Γενική Θεωρία της Σχετικότητας το 1915, όμως χρειάστηκε να περάσει ένας ολόκληρος… Read More ›
Οι αφανείς λεγεωνάριοι που δεν τιμήθηκαν με το Νόμπελ Φυσικής 2017
Το 2015, οι δίδυμοι ανιχνευτές LIGO ανίχνευσαν για πρώτη φορά βαρυτικά κύματα – μία από τις σημαντικότερες προβλέψεις της Γενικής Σχετικότητας του Αϊνστάιν. Για την επιτυχία αυτή, τιμήθηκαν χθες με το βραβείο Νόμπελ μόνο τρία άτομα, ενώ συμμετείχαν στην έρευνα… Read More ›
Το πρώτο βαρυτικό κύμα που ανιχνεύθηκε από τρεις γήινους ανιχνευτές
Μια σημαντική ανακοίνωση σχετικά με τα βαρυτικά κύματα από τους ερευνητές των ανιχνευτών LIGO και VIRGO Την ενημέρωση σχετικά με την φυσική των βαρυτικών κυμάτων μπορείτε να παρακολουθήσετε ΕΔΩ: Προς το παρόν δεν έχει διαρρεύσει κάτι σχετικά με το τι θα… Read More ›
Ο Γαλαξίας μας περιέχει μόνο 100 εκατομμύρια μαύρες τρύπες
Ένας νέος υπολογισμός εκτιμά τον αριθμό των μαύρων τρυπών στον Γαλαξία μας και τον βρίσκει περίπου 100 εκατομμύρια. Μπορεί ο αριθμός αυτός να ακούγεται τεράστιος, αλλά για τα αστρονομικά δεδομένα είναι ένας πολύ μικρός αριθμός. Για παράδειγμα ο αριθμός των… Read More ›
Φήμες για ένα νέο είδος βαρυτικών κυμάτων από συγκρούσεις άστρων νετρονίων
Κυκλοφορούν φήμες πως οι αστροφυσικοί ανίχνευσαν την περασμένη εβδομάδα βαρυτικά κύματα που προκλήθηκαν από την σύγκρουση δυο άστρων νετρονίων σε έναν μακρινό γαλαξία – ένα γεγονός που πιθανόν να εντοπίστηκε και από τα κλασικά τηλεσκόπια. Μια τέτοια διπλή ανίχνευση θα… Read More ›
Κι ο ανιχνευτής Virgo στο κυνήγι των βαρυτικών κυμάτων
Ένας τρίτος ανιχνευτής βαρυτικών κυμάτων άρχισε να λειτουργεί. Ο ανιχνευτής Virgo κοντά στην Πίζα της Ιταλίας συνδέθηκε επίσημα με τους δυο ανιχνευτές LIGO στις ΗΠΑ (o ένας στην πολιτεία της Ουάσινγκτον και o άλλος στη Λουιζιάνα) την 1η Αυγούστου. Και… Read More ›
Μαύρες τρύπες και βαρυτόνια
Κατά τη διάρκεια του αρχαιοζωικού μεγααιώνα, όταν η μόνη μορφή ζωής στον πλανήτη Γη ήταν τα βακτήρια, σε έναν πάρα πολύ μακρινό γαλαξία δυο μαύρες τρύπες συγχωνεύτηκαν παράγοντας μια ριπή βαρυτικών κυμάτων. Κατά την διάρκεια των επόμενων 2,9 δισεκατομμυρίων ετών… Read More ›
Κι άλλο βαρυτικό κύμα ανίχνευσε το LIGO
Η ανίχνευση έγινε στις 4 Ιανουαρίου του 2017 και γι αυτό το νέο βαρυτικό γεγονός ονομάστηκε GW170104 (νεώτερη ενημέρωση) Σύμφωνα με την ανακοίνωση της ερευνητικής ομάδας του LIGO που έγινε σήμερα, το βαρυτικό κύμα φαίνεται ότι προκλήθηκε από τη σύγκρουση… Read More ›
Τα «βαρυτικά κύματα» που ανίχνευσε το LIGO αποδείχθηκε πως ήταν απλοί σεισμοί
Η ιστορία δυστυχώς επαναλαμβάνεται. Όπως ο Joseph Weber το 1969 ανακοίνωσε λανθασμένα ότι ο ανιχνετυτής του κατέγραφε γεγονότα που αντιστοιχούσαν σε βαρυτικά κύματα, έτσι και το πείραμα LIGO τελικά κατέγραφε ταπεινά γήινα σεισμικά κύματα αντί για βαρυτικά κύματα από την συγχώνευση… Read More ›
Σκοτεινή ενέργεια και ταχύτητα διάδοσης βαρυτικών κυμάτων
Το περασμένο αιώνα ο Edwin Hubble απέδειξε ότι το σύμπαν διαστέλλεται. Και δυο χρόνια πριν μπούμε στον 21ο αιώνα, το 1998, οι Saul Perlmutter, Brian Schmidt και Adam Riess, με την παρατήρηση των σουπερνόβα τύπου Ιa (βραβείο Nobel φυσικής 2011),… Read More ›
O Διονύσης Σιμόπουλος «κρυφακούει» τα βαρυτικά κύματα
Τι έχει αλλάξει έναν χρόνο μετά τα «αποκαλυπτήρια» των βαρυτικών κυμάτων; Τι κάνει την ανακάλυψή τους τόσο σημαντική; Ποιά είναι η πιθανότητα του «επιστημονικού λάθους» και τι θα πρέπει να περιμένουμε στο μέλλον; Συνέντευξη του Διονύση Σιμόπουλου στον Πάνο Σάκκα.(πηγή:skai.gr)… Read More ›
Ψίθυροι του Σύμπαντος από μαύρες τρύπες
ΔΙΟΝΥΣΗΣ Π. ΣΙΜΟΠΟΥΛΟΣ* Έχει περάσει ένας χρόνος από τότε που οι δύο ανιχνευτές LIGO, στη Λουιζιάνα και στην Ουάσιγκτον, απέδειξαν για πρώτη φορά την ύπαρξη βαρυτικών κυμάτων που προέρχονταν από τη σύγκρουση δύο μαύρων τρυπών 36 και 29 ηλιακών μαζών,… Read More ›
Πως σχηματίστηκαν οι μαύρες τρύπες του βαρυτικού κύματος GW150914
Φυσικοί από την Πολωνία και τις ΗΠΑ προσομοίωσαν σε υπολογιστή τον σχηματισμό των άστρων και τον μετασχηματισμό τους σε μαύρες τρύπες, η συγχώνευση των οποίων προκάλεσε το βαρυτικό κύμα GW150914 που ανίχνευσε το συμβολόμετρο LIGO τον Σεπτέμβριο του 2015. Η έρευνά τους δείχνει… Read More ›
Γράφημα: το βαρυτικό κύμα GW151226
To γεγονός που κατέγραψαν οι βαρυτικοί ανιχνευτές LIGO την δεύτερη μέρα των Χριστουγέννων του 2015 Και μια προσομοίωση: Δείτε επίσης: Το LIGO Ανίχνευσε 3 φορές βαρυτικά κύματα μέσα σε 4 μήνες
LIGO: Ανίχνευσε 3 φορές βαρυτικά κύματα μέσα σε 4 μήνες
Ξεκίνησε μια νέα εποχή για τη Φυσική Οι ομάδες των LIGO και Virgo ανίχνευσαν και δεύτερο βαρυτικό κύμα (ονομάζεται GW151226) στις 26 Δεκεμβρίου 2015, ακριβώς τρεις μήνες μετά την πρώτη ανίχνευση βαρυτικού κύματος στην ιστορία της φυσικής στις 14 Σεπτεμβρίου 2015… Read More ›
LIGO: Νέα ανίχνευση βαρυτικoύ κύματος;
(νεώτερη ενημέρωση) διαβάστε: Το LIGO ανίχνευσε 3 φορές βαρυτικά κύματα μέσα σε 4 μήνες ================================= Στις 11/2/2016 είχε ανακοινωθεί επίσημα από το πείραμα LIGO (Laser Interferometer Gravitational-Wave Observatory) η απευθείας ανίχνευση βαρυτικού κύματος για πρώτη φορά στην ιστορία της φυσικής…. Read More ›
3 εκατ. δολάρια για τους ερευνητές του LIGO
από το Βραβείο Breakthrough. Ανάμεσά τους 5 Έλληνες. Επιπλέον το Βραβείο Gruber, που συνοδεύεται από το ποσό των 500.000 δολαρίων, θα μοιρασθούν εξίσου οι Ρόναλντ Ντρέβερ, Κιπ Θορν και Ράινερ Γουάις (νεώτερη ενημέρωση) Τρία εκατομμύρια δολάρια που συνοδεύουν το Βραβείο… Read More ›
Θ. Αποστολάτος: Τα μυστικά του βαρυτικού ανιχνευτή LIGO
Επί δεκαετίες, επιφανείς αστροφυσικοί προσπαθούσαν ανεπιτυχώς να επιβεβαιώσουν ή, έστω, να διαψεύσουν την πρόβλεψη του Αϊνστάιν για την ύπαρξη βαρυτικών κυμάτων. Ποιο ήταν το πειραματικό «τέχνασμα» που επέτρεψε σήμερα την ανίχνευσή τους; Το «νέο» πειραματικό εργαλείο είναι κατ’ ουσίαν μια… Read More ›
H αστρονομία βαρυτικών κυμάτων προ των πυλών
Το άρθρο στο ένθετο που ακολουθεί έχει τίτλο «Ρυτιδώσεις σε μια κοσμική θάλασσα, η αστρονομία των βαρυτικών κυμάτων είναι επί θύραις» και γράφτηκε πριν από δυο δεκαετίες περίπου από τον Shane L. Larson. Αναφέρεται στα βαρυτικά κύματα, τις πηγές τους, τους τρόπους ανίχνευσής τους και… Read More ›
Κ. Κόκκοτας: μετά την ανίχνευση των βαρυτικών κυμάτων το σύμπαν δεν θα είναι το ίδιo
Εντός δεκαετίας θα μπορούμε να παρατηρούμε το σύμπαν από τη γέννηση του μέχρι σήμερα Mετά την ανίχνευση των βαρυτικών κυμάτων το σύμπαν δεν θα είναι ξανά το ίδιο, θα αποκαλυφθούν ακόμα και οι πιο κρυφές γωνιές του, τόνισε ο καθηγητής… Read More ›
Βαρυτικά Κύματα: Πλέον μπορούμε να ακούσουμε τη μελωδία του Κόσμου
(νεώτερη ενημέρωση 18-2-2016) Διαλέξεις: 1. «Βαρυτικά Κύματα: Πλέον μπορούμε να ακούσουμε τη μελωδία του Κόσμου» (Θεοχάρης Αποστολάτος), Τρίτη 23 Φεβρουαρίου 2016, ώρα 19:00 στο Ίδρυμα Ευγενίδου (δείτε ΕΔΩ: https://diavlos.grnet.gr/room/903?eventid=1767) 2. «Βαρυτικά Κύματα» (Κωνσταντίνος Κόκκοτας), Παρασκευή 19 Φεβρουαρίου 2016, ώρα 18.30 στο ΚΕ.Δ.Ε.Α. του… Read More ›
Ο Δ. Νανόπουλος για την ανακάλυψη των βαρυτικών κυμάτων
Συνέντευξη στον Μάκη Προβατά (ΒΗΜΑ FM) (από το 2:90 έως 18:05) Με την ευκαιρία να αναφέρουμε ότι η ανακοίνωση της ανίχνευσης των βαρυτικών κυμάτων από το LIGO συνοδεύθηκε από μια δεύτερη ανακοίνωση από το διαστημικό τηλεσκόπιο ακτινοβολίας γ Fermi. Σύμφωνα με αυτή… Read More ›
Σύλληψη επ’ αυτοφώρω!
«Παράθυρο προς το Σύμπαν» ανοίγει η παρατήρηση βαρυτικών κυμάτων, για πρώτη φορά. Σκοτεινά αντικείμενα, αστρικά «σπλάχνα» και εικόνες από τότε που το Σύμπαν ήταν «μωρό» περιμένουμε να μας αποκαλυφθούν μέσα από τη νέα μορφή παρατήρησης Χάρης Βάρβογλης – tovima.gr Είναι αδιαμφισβήτητα η… Read More ›
One Little Victory
«One Little Victory», από το άλμπουμ «Vapor Trails» του καναδικού ροκ συγκροτήματος Rush
LIGO: ανοίγοντας ένα νέο παράθυρο στο σύμπαν
Διαβάστε επίσης: LIGO: η πιο ακριβής μεζούρα στον κόσμο (νεώτερη ενημέρωση 13-2-2016) Ο επίτιμος διευθυντής του Ευγενιδείου Πλανηταρίου Διονύσης Σιμόπουλος περιγράφει την ιστορία αλλά και τις λεπτομέρειες της ιστορικής ανακάλυψης των παρατηρητήριων LIGO στη Λουιζιάνα και την Ουάσιγκτον: Στη Γενική Θεωρία… Read More ›
Ανακοινώθηκε επίσημα η ανίχνευση βαρυτικών κυμάτων
…. από το πείραμα LIGO (Laser Interferometer Gravitational-Wave Observatory) (νεώτερη ενημέρωση) Oι φήμες επιβεβαιώνονται. Δυο μαύρες τρύπες σε απόσταση 1,3 δισεκατοmμύρια έτη φωτός από τη Γη, με 29 και 36 ηλιακές μάζες αντίστοιχα, στροβιλίστηκαν μεταξύ τους και συγχωνεύθηκαν για να… Read More ›
Τι είναι τα βαρυτικά κύματα; (κόμικ)
My earlier rumor about LIGO has been confirmed by independent sources. Stay tuned! Gravitational waves may have been discovered!! Exciting. — Lawrence M. Krauss (@LKrauss1) January 11, 2016 Πριν από 20 μέρες κυκλοφόρησαν φήμες ότι το LIGO ανίχνευσε βαρυτικά κύματα…. Read More ›
LIGO: το κυνήγι των βαρυτικών κυμάτων …
… συνεχίζεται Σε νέα επίπεδα ακρίβειας και ευαισθησίας θα λειτουργεί από αυτήν την εβδομάδα το αμερικανικό LIGO (Laser Interferometer Gravitational-Wave Observatory), το μεγαλύτερο πείραμα για την ανίχνευση των λεγόμενων βαρυτικών κυμάτων, ρυτιδώσεων στο χωροχρόνο που προβλέφθηκαν από τον Αϊνστάιν αλλά… Read More ›
Προηγμένο Παρατηρητήριο Βαρυτικών Κυμάτων
Αν και η φυσική έχει ήδη γράψει ιστορία μέσα στον 21ο αιώνα με την ανακάλυψη του «σωματιδίου του Θεού», το 2012 στον Μεγάλο Επιταχυντή Αδρονίων στο Cern στη Γενεύη, οι ερευνητές που συμμετέχουν στο πρότζεκτ Advanced Ligo αισιοδοξούν πως βρίσκονται… Read More ›
O πιο ευαίσθητος ανιχνευτής βαρυτικών κυμάτων
Έπειτα από επτά χρόνια αναβαθμίσεων, εγκαινιάσθηκε χθες στο Ρίτσλαντ της Ουάσιγκτον το Advanced LIGO (Laser Interferometer Gravitational Wave Observatory), το οποίο είναι ο πιο ευαίσθητος επίγειος ανιχνευτής βαρυτικών κυμάτων. Με χρηματοδότηση από το αμερικανικό Εθνικό Ίδρυμα Επιστημών, το Advanced LIGO… Read More ›
Σερφάροντας στα… κύματα του Σύμπαντος
Σε αντιδιαστολή με τη γνώση που έχουμε αποκτήσει για τη φύση της τρόικας και το βίαιο αποτέλεσμά της, δεν γνωρίζουμε τίποτα για τα… βαρυτικά κύματα και τη βίαιη προέλευσή τους. Επιστημονικοί κύκλοι έχουν εκφράσει ερωτήματα αν αξίζει να δαπανώνται χρήματα… Read More ›