Για τα ΘΕΜΑΤΑ ΦΥΣΙΚΗΣ ΚΑΤΕΥΘΥΝΣΗΣ 2013 πατήστε ΕΔΩ
Για τα ΘΕΜΑΤΑ ΦΥΣΙΚΗΣ ΓΕΝΙΚΗΣ ΠΑΙΔΕΙΑΣ 2013 ( σε pdf): πατήστε ΕΔΩ
προτεινόμενες λύσεις…
ΘΕΜΑ Α – ΑΠΑΝΤΗΣΕΙΣ
oπότε
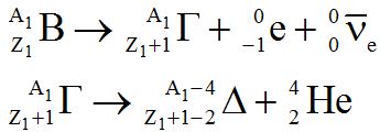
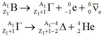
Α2=Α1 – 4 και Ζ2 = Ζ1 – 1

B2 = iii
διότι, εφόσον V’=1,25V , έχουμε:
Iσχύει:
και εφόσον fA>fB προκύπτει ότι ΝΑ<ΝΒ
ΘΕΜΑ Γ – ΑΠΑΝΤΗΣΕΙΣ
Γ1. Ειον = Ε∞ – Ε1 = 0 – (-54,4) = 54,4 eV
Γ2. r4 = n2r1= 4,32 ·10-10m
Γ3. L=n h/2π, οπότε για n=4 η στροφορμή τετραπλασιάζεται.

Γ4. Eφ,41 = Ε4 – Ε1 = 51 eV , Eφ,42 = Ε4 – Ε2 = 10,2 eV , Eφ,43 = Ε4 – Ε3 = 2,6 eV , Eφ,31 = Ε3 – Ε1 = 48,4 eV , Eφ,32 = Ε3 – Ε2 = 7,6 eV , Eφ,21 = Ε2 – Ε1 = 40,8 eV
Άσχετο με τη λύση, αλλά ενδιαφέρον: το φωτόνιο που εκπέμπεται στη μετάβαση 4->3 έχει μήκος κύματος περίπου 470 nm και βρίσκεται στο ορατό φάσμα και αντιστοιχεί στο πράσινο χρώμα (όπως στο σχήμα)
Δ1. Εφωτ = hc0/λ0 =4,95•10-19 J

Δ2. Από την γεωμετρία του σχήματος προκύπτει εύκολα ότι το μήκος της διαδρομής της ακτίνας μέσα στο υλικό ΙΙ είναι ℓΙΙ=4 ·10-2m,
οπότε ο αριθμός των μηκών κύματος (λ=λ0/1,8 =222,2 nm) στα οποία αντιστοιχεί η διαδρομή στο υλικό αυτό θα είναι ℓΙΙ/λ =180000
Δ3. Iσχύει cI = c0/1,5 = 2•108 m/s και cIΙ = c0/1,8 = 1,66•108 m/s
Η διαδρομή στο υλικό Ι διαρκεί: tI = ℓΙ/cI = 10-10 s (ℓΙ=2·10-2m)και στο υλικό ΙΙ: tΙΙ = ℓΙΙ/cIΙ = 2,4 · 10-10 s και tολ = 3,4 · 10-10 s
Δ4. O αριθμός των φωτονίων που αντιστοιχεί στην ενέργεια ΔΕ=20 J είναι N=ΔΕ/Εφωτ=4,04 ·1019φωτόνια.
Αυτά όμως αποτελούν το 5% του συνόλου των εισερχομένων φωτονίων Nολ , οπότε
Νολ = 100 N/5 =8,08 ·1020
Κατηγορίες:ΕΚΠΑΙΔΕΥΣΗ, ΦΥΣΙΚΗ







Σχολιάστε