O Kip Thorne (βραβείο Νόμπελ Φυσικής 2017) στο βιβλίο του ‘Μαύρες τρύπες και στρεβλώσεις του χρόνου‘ περιγράφει μια μοναδική στιγμή έμπνευσης του Sthephen Hawking ως εξής:
«Ήταν ένα βράδυ του Νοεμβρίου του 1979. Ο Stephen Hawking ετοιμαζόταν να ξαπλώσει, όταν έλαμψε στο νου του η Ιδέα. Ήρθε τόσο κεραυνοβόλα που του έκοψε την ανάσα. Ποτέ άλλοτε δεν είχε μια τόσο ξαφνική σύλληψη. Η προετοιμασία για τον ύπνο δεν ήταν εύκολη υπόθεση. Ο Hawking υπέφερε από μυοατροφική πλευρική σκλήρυνση, ασθένεια η οποία σταδιακά καταστρέφει να νεύρα που ελέγχουν τους μύες του σώματος με αποτέλεσμα να ατροφούν. Κινούνταν αργά, με πόδια που έτρεμαν, ενώ κρατιόταν συνεχώς και σταθερά με το ένα τουλάχιστον χέρι από κάποιο έπιπλο ή από την άκρη του κρεβατιού ή τον τοίχο καθώς βούρτσιζε τα δόντια του, γδυνόταν ή προσπαθούσε να φορέσει τις πιτζάμες του για να ξαπλώσει. Εκείνο το βράδυ οι κινήσεις του ήταν πιο αργές απ’ ότι συνήθως, επειδή έμεινε απορροφημένος σε άλλες σκέψεις. Η Ιδέα τον είχε συνεπάρει, δεν είπε όμως τίποτε στη γυναίκα του, την Jane, για να μην την δυσαρεστήσει – υποτίθεται ότι θα έπρεπε να είχε αφοσιωθεί αποκλειστικά στην προετοιμασία για ύπνο. Εκείνη τη νύχτα έμεινε πολλές ώρες ξάγρυπνος. Του ήταν αδύνατο να κοιμηθεί. Οι συνέπειες της Ιδέας και οι σχέσεις της με άλλα φαινόμενα τριβέλιζαν το νου του. Η Ιδέα γεννήθηκε από ένα απλό ερώτημα. Πόση βαρυτική ακτινοβολία παράγεται όταν δυο μαύρες τρύπες συγκρούονται και και συγχωνεύονται σε μία; Ο Hawking γνώριζε ήδη, αν και κάπως αόριστα, ότι η τελική τρύπα θα έπρεπε, κατά μία έννοια, να είναι μεγαλύτερη από το «άθροισμα» των δυο αρχικών τρυπών. Δεν ήξερε όμως υπό ποία έννοια ακριβώς ισχύει κάτι τέτοιο ούτε τι πληροφορίες μπορούσε να του δώσει για την ποσότητα της παραγόμενης βαρυτικής ακτινοβολίας. Καθώς λοιπόν προετοιμαζόταν να ξαπλώσει, μια σειρά εικόνων και διαγραμμάτων συνωθήθηκαν στο νου του, γεννώντας την Ιδέα: Αυτό που πρέπει να αυξάνεται είναι το εμβαδόν του ορίζοντα της μαύρης τρύπας.
Υπενθυμίζεται ότι ο ορίζοντας των γεγονότων μιας μαύρης τρύπας είναι μια φανταστική σφαίρα με κέντρο το σημείο της χωροχρονικής ανωμαλίας. Οτιδήποτε περάσει το σύνορο αυτής της σφαίρας – του ορίζοντα των γεγονότων – είναι καταδικασμένο να καταρρεύσει στην χωροχρονική ανωμαλία, δεν μπορεί πλέον να διαφύγει από το βαρυτικό πεδίο της μαύρης τρύπας. Η ακτίνα του ορίζοντα ονομάζεται ακτίνα Schwarzschild και είναι ανάλογη της μάζας της μαύρης τρύπας.
Δεν είχε καμία αμφιβολία. Οι εικόνες και τα διαγράμματα οδηγούσαν σε μια σαφή μαθηματική απόδειξη. Ανεξάρτητα από την μάζα των δυο αρχικών μαύρων τρυπών (είτε περιστρέφονταν με την ίδια φορά είτε με αντίθετη είτε και καθόλου) και ανεξάρτητα από το πως συγκρούονταν (μετωπικά ή πλάγια), το εμβαδόν του ορίζοντα της τελικής τρύπας πρέπει να είναι πάντοτε μεγαλύτερο από το άθροισμα των εμβαδών των οριζόντων των αρχικών τρυπών. Και λοιπόν; Πρόκειται για συμπέρασμα εξαιρετικής σημασίας, αντιλήφθηκε ο Hawking, καθώς συλλογιζόταν τις συνέπειες αυτού του θεωρήματος της αύξησης του εμβαδού.»
Η Μεγάλη Ιδέα του Stephen Hawking η σύλληψη της οποίας περιγράφεται παραπάνω, σήμερα αναφέρεται ως 2ος νόμος της θερμοδυναμικήςς των μαύρων τρυπών. Σύμφωνα με αυτόν το νόμο, το συνολικό εμβαδόν των μαύρων τρυπών δεν μειώνεται με την πάροδο του χρόνου. Δεδομένου ότι μια μαύρη τρύπα έχει εντροπία ανάλογη με το εμβαδόν του ορίζοντά της, είναι φανερή η αντιστοιχία με τον δεύτερο νόμο της θερμοδυναμικής που μας λέει επίσης ότι η εντροπία του σύμπαντος δεν μειώνεται με την πάροδο του χρόνου.

Αν το θεώρημα του εμβαδού ισχύει κατά την συγχώνευση των μαύρων τρυπών που παρατηρούνται από τους ανιχνευτές βαρυτικών κυμάτων LIGO και Virgo, τότε το εμβαδόν του ορίζοντα της μαύρης τρύπας που προκύπτει από την συγχώνευση πρέπει να είναι μεγαλύτερο από το άθροισμα των εμβαδών των δύο αρχικών μαύρων τρυπών. Τα βαρυτικά κύματα που ανιχνεύονται θα μπορούσαν να επιβεβαιώσουν την πρόβλεψη του Hawking. Παρόλο που αυτή η προοπτική έχει συζητηθεί στη βιβλιογραφία, μέχρι τώρα καμία ανάλυση δεν είχε πραγματοποιηθεί χρησιμοποιώντας τα υπάρχοντα δεδομένα των ανιχνευτών LIGO-Virgo.
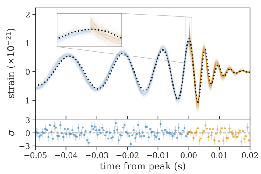
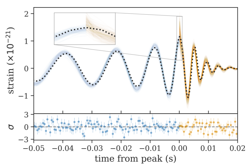
Ο έλεγχος της ισχύος του 2ου νόμου των μαύρων τρυπών αναφέρεται σε μια πρόσφατη εργασία των Maximiliano Isi et al, με τίτλο ‘Testing the black-hole area law with GW150914‘, χρησιμοποιώντας τα δεδομένα από την ανίχνευση του βαρυτικού κύματος GW150914, που προέκυψε από την συγχώνευση δύο μαύρων τρυπών προς μια μεγαλύτερη μαύρη τρύπα (τo GW150914 είναι το βαρυτικό κύμα που ανιχνεύθηκε για πρώτη φορά στην ιστορία της Φυσικής).
Οι ερευνητές χώρισαν τα δεδομένα του βαρυτικού κύματος σε δύο τμήματα, ένα πριν και ένα μετά τη συγχώνευση. Στη συνέχεια υπολόγισαν τα εμβαδά των οριζόντων των μαύρων οπών σε κάθε περίοδο. Το εμβαδόν της νέας μαύρης τρύπας ήταν μεγαλύτερο από το άθροισμα των εμβαδών των δυο αρχικών μαύρων τρυπών που συγχωνεύθηκαν, επιβεβαιώνοντας τον νόμο που διατύπωσe ο Hawking με στατιστική ακρίβεια 2σ (που σημαίνει πως υπάρχει μια πιθανότητα 5% η επιβεβαίωση να μην ισχύει). Έστω και με μικρή στατιστική ακρίβεια είναι η πρώτη φορά που προκύπτει μια τέτοια πειραματική επιβεβαίωση.
Όποιος ενδιαφέρεται για τις λεπτομέρειες της ανάλυσης των Maximiliano Isi et al μπορεί να διαβάσει την εργασία τους με τίτλο ‘Testing the black-hole area law with GW150914‘.
Κατηγορίες:ΜΑΥΡΕΣ ΤΡΥΠΕΣ


Σχολιάστε