Στον Δημήτρη Χριστοδούλου τέθηκε το 1995 από τον Γιώργο Ευαγγελόπουλο (σε συνέντευξη για το περιοδικό Quantum: ΕΔΩ) το εξής ερώτημα:
Eρ.: Στην κοινότητα των θεωρητικών φυσικών είχε μεγάλη απήχηση η εργασία που δημοσιεύσατε το 1970, με τίτλο «Αντιστρεπτοί και μη αντιστρεπτοί μετασχηματισμοί στη φυσική των μελανών οπών», διότι άνοιξε κατευθύνσεις σκέψης που καρποφόρησαν με το θεώρημα του εμβαδού του Hawking για τις μελανές οπές.
Συγκεκριμένα, η μελέτη σας αποτέλεσε πρόδρομο της εργασίας του Jacob Bekenstein «Black Holes and the Second Law”, όπου πρωτοδημοσιεύθηκε η υπόθεση ότι το εμβαδόν του ορίζοντα των γεγονότων μιας μελανής οπής είναι το μέτρο της εντροπίας της.
Ο Kip Thorne, στο βιβλίο του «Black Holes and Times Warps (μελανές οπές και στρεβλώσεις του χρόνου)», αναφέρει ότι στην εν λόγω εργασία σας παρατηρήσατε πως οι εξισώσεις που περιγράφουν αργές μεταβολές στις ιδιότητες των μελανών οπών μοιάζουν με τις εξισώσεις της θερμοδυναμικής, πλην όμως, παρότι η ομοιότητα είναι αξιοσημείωτη, δεν υπήρχε τότε κανένας λόγος ώστε να σκεφτείτε ότι πρόκειται για κάτι περισσότερο από σύμπτωση. Πως οδηγηθήκατε σε τόσο σημαντικά συμπεράσματα στην πρώτη κιόλας επιστημονική σας εργασία και πως την αξιολογείτε τόσα χρόνια μετά;

Ο Δημήτρης Χριστοδούλου είναι σήμερα καθηγητής του Πολυτεχνείου ΕΤΗ Ζυρίχης. Το 2011 τιμήθηκε με το διεθνές βραβείο «Shaw» μαζί με τον Αμερικανό καθηγητή του Πανεπιστημίου Κολούμπια της Νέας Υόρκης Ρίτσαρντ Χάμιλτον. Το βραβείο συνοδεύεται από χρηματικό ποσόν του 1 εκατομμυρίου δολαρίων.
Απάντηση: Είναι δύσκολο να απαντήσω, διότι το παρελθόν το βλέπει κανείς μέσα από το φίλτρο του παρόντος και των τωρινών του γνώσεων. Πρέπει όμως να τονίσω ότι πιστεύω στην «ενότητα» που πρέπει να έχει η φυσική. Το γεγονός ότι στη φυσική των μελανών οπών εμφανίζονται και πάλι έννοιες της θερμοδυναμικής, αποδεικνύει πως η εν λόγω «ενότητα» υπάρχει.
Άλλωστε, η ίδια η έννοια της μελανής οπής ενέχει το στοιχείο της μη αντιστρεπτότητας – γίνεται λόγος για μελανή και όχι, λόγου χάρη για, για λευκή οπή.
Υπάρχει λοιπόν η μη αντιστρεπτότητα στην έννοια της μελανής οπής, όπως υπάρχει και στην έννοια της εντροπίας.
Το εντυπωσιακό όμως είναι ότι εμφανίζονται θερμοδυναμικές έννοιες και σ’ αυτό τον τομέα της φυσικής, ο οποίος εκ πρώτης όψεως, φαίνεται άσχετος με το αρχικό πεδίο εφαρμογής της θερμοδυναμικής, που ήταν η φυσική των ρευστών.
Τα όσα είπατε για τη σχέση της δικής μου εργασίας με την εργασία του Bekenstein είναι πολύ σωστά.
Είχα φτάσει στα πρόθυρα, ας πούμε, της αναγνώρισης της «σχέσης» που βρήκε ο Bekenstein.
Μάλιστα, χρησιμοποιώντας τους όρους των «αντιστρεπτών» και «μη αντιστρεπτών» μετασχηματισμών στη φυσική των μελανών οπών, ήθελα να επιστήσω τη προσοχή του κοινού στην υπάρχουσα αναλογία με έννοιες θερμοδυναμικής.
Φυσικά, η σκέψη ότι το εμβαδόν του ορίζοντα της μελανής οπής είναι μέτρο της εντροπίας της ανήκει οπωσδήποτε στον Bekenstein.
Όπως γνωρίζετε, ο Hawking αρνήθηκε αρχικά να δεχτεί την ορθότητα της εργασίας του Bekenstein, στη συνέχεια όμως πείστηκε γι αυτήν.
Ο αρχικός δισταγμός του οφειλόταν στο ότι σκέφτηκε πως αν οι μελανές οπές είχαν εντροπία, θα είχαν και θερμοκρασία και επομένως θα έπρεπε να εκπέμπουν ακτινοβολία.
Αλλά από τον ίδιο τον ορισμό υποτίθεται ότι οι μελανές οπές δεν εκπέμπουν τίποτε.
Τελικά, ο ίδιος ο Hawking απέδειξε ότι η μελανή οπή όντως ακτινοβολεί, και ότι η ακτινοβολία αυτή έχει το φάσμα του θερμού μελανού σώματος.
Επομένως, όσον αφορά τη φυσική των μελανών οπών, για να είμαστε ιστορικά ακριβείς, οφείλουμε να ομιλούμε για «θερμοκρασία Bekenstein» και για «ακτινοβολία Hawking»
Είδαμε πως ένας εκ των πρωταγωνιστών – ο Δημήτρης Χριστοδούλου – περιέγραψε το ιστορικό της σύνδεσης των νόμων της θερμοδυναμικής με τους νόμους των μαύρων τρυπών.
Η ιστορία αυτή περιγράφεται αναλυτικά στα βιβλία, «Μαύρες τρύπες και στρεβλώσεις του χρόνου» του Kip Thorne και «το χρονικό του χρόνου» του Stephen W. Hawking. Μερικά αποσπάσματα από αυτά παρατίθενται στη συνέχεια, έτσι ώστε να πάρουμε μια μικρή γεύση από ένα τεράστιο επίτευγμα του ανθρώπινου πνεύματος:
Ανάμεσα στις ήττες που έχει υποστεί ο Stephen Hawking, η πιο θεαματική ήταν ίσως εκείνη από τον Jacob Βekenstein,
μεταπτυχιακό φοιτητή του John Wheeler.
Ωστόσο, όμως θα διαπιστώσουμε, ότι ο Hawking πέτυχε μέσα από την ήττα του έναν ακόμη μεγαλύτερο θρίαμβο: την ανακάλυψη ότι οι μαύρες τρύπες μπορούν να εξαερώνονται.
Ο Ηawking ηττήθηκε στο «στίβο» της θερμοδυναμικής των μαύρων τρυπών. Οι νόμοι της θερμοδυναμικής διέπουν την τυχαία, στατιστική συμπεριφορά μεγάλου πλήθους ατόμων – για παράδειγμα εκείνων από τα οποία αποτελείται ο Ήλιος. Η στατιστική συμπεριφορά μεγάλου πλήθους ατόμων περιλαμβάνει, μεταξύ άλλων, τις τυχαίες άτακτες κινήσεις που οφείλονται στη θερμότητα˙ και αντίστοιχα, οι νόμοι της θερμοδυναμικής περιλαμβάνουν, μεταξύ άλλων, τους νόμους που διέπουν τη θερμότητα – εξ ου και το όνομα θερμοδυναμική.
Ένα χρόνο προτού ο Hawking ανακαλύψει το θεώρημα αύξησης του εμβαδού, ο Δημήτρης Χριστοδούλου, ένας δεκαεννιάχρονος μεταπτυχιακός φοιτητής στην ομάδα του Wheeler, στο Πρίνστον, παρατήρησε ότι οι εξισώσεις που περιγράφουν τις αργές μεταβολές των ιδιοτήτων των μαύρων τρυπών (όταν, για παράδειγμα, προστίθεται αργά σε αυτές αέριο) μοιάζουν με ορισμένες από τις εξισώσεις της θερμοδυναμικής
Phys. Rev. Lett. 25, 1596–1597 (1970), «Reversible and Irreversible Transformations in Black-Hole Physics«
Η ομοιότητα ήταν αξιοσημείωτη, αλλά δεν υπήρχε λόγος για να θεωρηθεί κάτι περισσότερο από απλή σύμπτωση.
Η ομοιότητα αυτή ενισχύθηκε από το θεώρημα του Hawking περί αύξησης του εμβαδού, το οποίο έμοιαζε πολύ με τον Δεύτερο νόμο της θερμοδυναμικής. Πράγματι, το εν λόγω θεώρημα … αποκτά ίδια μορφή με τον Δεύτερο νόμο αρκεί να αντικαταστήσουμε τη φράση «εμβαδόν του ορίζοντα» με τη λέξη «εντροπία»:
Έστω ότι οποιαδήποτε χρονική (ανεξαρτήτως του συστήματος αναφοράς) μετράτε τη συνολική εντροπία σε κάποια περιοχή του χώρου. Περιμένετε όσο χρόνο θέλετε, και μετράτε ξανά τη συνολική εντροπία. Αν στο χρονικό διάστημα μεταξύ των μετρήσεων τίποτε δεν έχει εξέλθει από τα όρια της περιοχής του χώρου που επιλέξατε, τότε ουδέποτε θα διαπιστώσετε ελάττωση της συνολικής εντροπίας˙ σχεδόν πάντοτε θα διαπιστώνετε ότι η εντροπία θα έχει αυξηθεί έστω και λίγο.
Τον Νοέμβριο του 1970, ο Stephen Hawking πρόσεξε την αξιοσημείωτη ομοιότητα ανάμεσα στο Δεύτερο νόμο της θερμοδυναμικής και το νόμο της αύξησης του εμβαδού˙ θεώρησε, όμως, προφανές ότι επρόκειτο για απλή σύμπτωση. Θα έπρεπε να είναι κάποιος τρελός, ή τουλάχιστον ελαφρόμυαλος, για να υποστηρίξει ότι το εμβαδόν του ορίζοντα μιας μαύρης τρύπας αποτελεί, υπό κάποια έννοια, την εντροπία της, πίστευε ο Hawking. Εξάλλου, δεν υπάρχει τίποτε τυχαίο σε μια μαύρη τρύπα. Η μαύρη τρύπα είναι το ακριβώς αντίθετο του τυχαίου – είναι η απλότητα ενσαρκωμένη. Αφότου μάλιστα καταλήξει σε κατάσταση ηρεμίας, εξαλείφει όλα τα ίχνη της: Όλες οι ιδιότητές της καθορίζονται επακριβώς μόνο από τρεις αριθμούς – τη μάζα, τη στροφορμή και το ηλεκτρικό φορτίο της. Η μαύρη τρύπα δεν παρουσιάζει καθόλου τυχαιότητα.
Ο Jacob Bekenstein όμως δεν είχε πειστεί. Θεωρούσε πιθανό ότι το εμβαδό μιας μαύρης τρύπας είναι, υπό κάποια βαθύτερη έννοια, η εντροπία της – για να ακριβολογούμε η εντροπία της πολλαπλασιασμένη επί κάποια σταθερά. Αν δεν ίσχυε κάτι τέτοιο, σκεφτόταν ο Bekenstein, αν δηλαδή οι μαύρες τρύπες είχαν μηδενική εντροπία (καθόλου τυχαιότητα), όπως υποστήριζε ο Hawking, τότε θα μπορούσαν να χρησιμοποιηθούν για να ελαττωθεί η εντροπία του σύμπαντος – και επομένως θα παραβιαζόταν ο Δεύτερος νόμος της θερμοδυναμικής. Το μόνο που χρειαζόταν ήταν να στριμώξει κανείς, ας πούμε, όλα τα μόρια του αέρα ενός δωματίου σε ένα μικρό αεροστεγές πακέτο και να το ρίξει μέσα σε μια μαύρη τρύπα. Έτσι, μόλις το πακέτο εισερχόταν στην τρύπα, αυτά τα μόρια καθώς και η εντροπία που διέθεταν θα εξαφανίζονταν από το σύμπαν μας. Αν λοιπόν η εντροπία της μαύρης τρύπας δεν αυξανόταν ως αντιστάθμισμα αυτής της απώλειας, τότε η συνολική εντροπία του σύμπαντος θα ελαττωνόταν! Μια τέτοια παραβίαση του Δεύτερου νόμου της θερμοδυναμικής δεν φαίνεται καθόλου πειστική, υποστήριξε ο Bekenstein. Για να προστατεύεται ο Δεύτερος νόμος, η μαύρη τρύπα πρέπει να διαθέτει εντροπία, η οποία να αυξάνεται όταν ένα τέτοιο πακέτο διασχίζει τον ορίζοντά της˙ κατά τον Bekenstein, δεν υπήρχε καλύτερος για να αντιπροσωπεύει αυτή την εντροπία απ’ ότι το εμβαδόν της επιφάνειας της μαύρης τρύπας.
Ο Hawking διαφωνούσε. Θεωρούσε όντως δυνατόν να χάνονται τα μόρια του αέρα όταν τα ρίχνουμε μέσα στην τρύπα, και παράλληλα να χάνεται και η εντροπία τους. Απλώς τέτοια είναι η φύση των μαύρων τρυπών.
Όλοι οι ανά τον κόσμο ειδικοί στις μαύρες τρύπες τάχθηκαν υπέρ της άποψης του Hawking – για την ακρίβεια, όλοι εκτός από το μέντορα του Bekenstein, τον John Wheeler. «Η ιδέα σου ακούγεται τόσο τρελή, ώστε ίσως να είναι σωστή» είπε ο Wheeler στον Bekenstein.
Και ο Bekenstein προχώρησε και θεμελίωσε περισσότερο την εικασία του. Υπολόγισε ακριβώς πόσο θα πρέπει να αυξηθεί η εντροπία μιας μαύρης τρύπας όταν ρίξουμε μέσα της ένα πακέτο αέρα, προκειμένου να μην παραβιάζεται ο Δεύτερος νόμος τηε θερμοδυναμικής, και υπολόγισε πόσο πρέπει να αυξηθεί το εμβαδόν του ορίζοντα της τρύπας εξαιτίας του εν λόγω πακέτου.
Ο Stephen Hawking όμως επέμενε:
«Αν η μαύρη τρύπα έχει εντροπία, τότε πρέπει να έχει και θερμοκρασία. Αλλά ένα σώμα με συγκεκριμένη θερμοκρασία πρέπει να εκπέμπει ακτινοβολία με συγκεκριμένο ρυθμό! (…)
Αν λοιπόν οι μαύρες τρύπες έχουν εντροπία θα έχουν και θερμοκρασία˙ και αφού έχουν θερμοκρασία θα πρέπει να εκπέμπουν ακτινοβολία. Αλλά από τον ίδιο τους τον ορισμό οι μαύρες τρύπες δεν θα μπορούσε να είναι το μέτρο της εντροπίας»
Το 1972 ο Ηawking μαζί με τους Brandon Carter και Jim Bardeen δημοσίευσαν μια εργασία, όπου έδειχναν ότι υπάρχουν μεγάλες ομοιότητες μεταξύ της μηχανικής των μαύρων τρυπών και των νόμων της θερμοδυναμικής. Αρκεί στη θέση του εμβαδού του ορίζοντα γεγονότων της μαύρης τρύπας να μπει η εντροπία. Ο Hawking παραδέχτηκε ότι το κίνητρο αυτής της εργασίας ήταν η οργή του κατά του Bekenstein! Aισθανόταν ότι ο Bekenstein καταχράστηκε την δική του ανακάλυψη ότι το εμβαδόν του ορίζοντα των γεγονότων δεν μικραίνει ποτέ. Αν και αναγνώρισε στο τέλος ότι ο Bekenstein είχε δίκιο … αλλά με έναν τρόπο που ούτε ο ίδιος δεν περίμενε.
H πρώτη νύξη ότι οι μαύρες τρύπες μπορούν πράγματι να ακτινοβολούν έγινε από τον σοβιετικό φυσικό Yakov Borisovish Zel’dovich τον Ιούνιο του 1971 αλλά κανείς όμως δεν έδωσε προσοχή.
To άρθρο με τίτλο «Particle production and vacuum polarization in an anisotropic gravitational field» θα είχε απορριφθεί αν το είχε γράψει κάποιος άλλος. Το όνομα Zel’dovich όμως υπερίσχυσε.
Ο Zel’dovich ισχυρίστηκε ότι «μια περιστρεφόμενη μαύρη τρύπα πρέπει να ακτινοβολεί. Η ακτινοβολία θα ωθεί αντίθετα την μαύρη τρύπα και θα μειώνει σιγά-σιγά τη στροφορμή της, έως ότου αυτή σταματήσει να περιστρέφεται. Τότε, θα πάψει να εκπέμπει και ακτινοβολία και θα έχει για πάντα απολύτως σφαιρικό σχήμα και δεν θα περιστρέφεται. Το συμπέρασμα αυτό μετά από 3 χρόνια επιβεβαιώθηκε και από άλλους φυσικούς.
Βρισκόμαστε στο 1974 και οι ειδικοί περί των μαύρων τρυπών συμφωνούν στο ότι: μια περιστρεφόμενη μαύρη τρύπα πρέπει να εκπέμπει ακτινοβολία έως ότου εξαντληθεί η περιστροφική κινητική της ενέργεια, οπότε και θα σταματήσει η εκπομπή ακτινοβολίας.
Και τότε σκάει η «βόμβα» του Hawking.
Black hole explosions? (1974)
… και στη συνέχεια ….
Particle creation by black holes, (1975)
Black holes and thermodynamics (1976)
Oι υπολογισμοί του Hawking επιβεβαίωναν ότι κάθε περιστρεφόμενη μαύρη τρύπα πρέπει να ακτινοβολεί και ότι η στροφορμή της μειώνεται.
Οι υπολογισμοί του όμως προέβλεπαν επιπλέον πως όταν η μαύρη τρύπα πάψει να περιστρέφεται, η εκπομπή ακτινοβολίας δεν σταματά. Παρότι η τρύπα δεν διαθέτει περιστροφική ενέργεια, συνεχίζει να εκπέμπει ακτινοβολία όλων των ειδών (βαρυτική, ηλεκτρομαγνητική, νετρίνα)˙ και καθώς συμβαίνει αυτό, εξακολουθεί να χάνει ενέργεια. Ενώ μάλιστα η περιστροφική της ενέργεια παρέμενε αποθηκευμένη στον στροβιλιζόμενο χώρο έξω από τον ορίζοντα, η ενέργεια που χάνει τώρα δεν μπορεί να προέρχεται από πουθενά αλλού παρά μόνο από το εσωτερικό της.!
Εξίσου εκπληκτικό ήταν το γεγονός ότι οι υπολογισμοί του Hawking προέβλεπαν πως το φάσμα της ακτινοβολίας (δηλαδή η ποσότητα της ενέργειας που ακτινοβολείται σε κάθε μήκος κύματος) μοιάζει επακριβώς με το φάσμα της θερμικής ακτινοβολίας ενός θερμού σώματος. Με άλλα λόγια, μια μαύρη τρύπα συμπεριφέρεται ακριβώς σαν ο ορίζοντάς της να έχει πεπερασμένη θερμοκρασία, η οποία, όπως συμπέρανε ο Hawking, είναι ανάλογη με την επιφανειακή βαρύτητα της τρύπας. Τελικά οι νόμοι της μηχανικής των μαύρων τρυπών είναι μεταμφιεσμένοι οι νόμοι της θερμοδυναμικής και όπως είχε ισχυριστεί ο Bekenstein – μια μαύρη τρύπα έχει εντροπία ανάλογη με το εμβαδόν της επιφάνειάς της.
S = A/4
Από τους υπολογισμούς του Hawking προέκυπταν και άλλα συμπεράσματα. Από τη στιγμή που η τρύπα παύει να περιστρέφεται, η εντροπία της και το εμβαδό του ορίζοντά της είναι ανάλογα του τετραγώνου της μάζας της. Επομένως κάθε μαύρη τρύπα συνεχίζει να εκπέμπει ακτινοβολία μετατρέποντας μάζα σε ενέργεια, η μάζα της όπως και η εντροπία και το εμβαδόν της ελαττώνονται, ενώ η θερμοκρασία και η επιφανειακή βαρύτητά της αυξάνονται. Η μαύρη τρύπα συρρικνώνεται και γίνεται θερμότερη, δηλαδή στην ουσία εξαερώνεται!

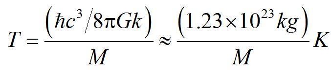
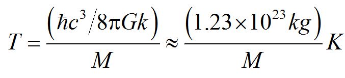
H θερμοκρασία μιας μαύρης τρύπας είναι αντιστρόφως ανάλογη με την μάζα της. Η εξίσωση αυτή είναι από τις ομορφότερες εξισώσεις της φυσικής. Περιέχει τις πιο σημαντικές παγκόσμιες σταθερές : την ταχύτητα του φωτός, τη σταθερά της παγκόσμιας έλξης, τη σταθερά Planck και τη σταθερά Boltzmann
Η ακτινοβολία που εκπέμπει μια μαύρη τρύπα ονομάστηκε ακτινοβολία Hawking.
Πως όμως είναι δυνατόν να φαίνεται ότι μια μαύρη τρύπα εκπέμπει σωματίδια– ή καλύτερα σωματίδια, όταν γνωρίζουμε πως τίποτε δεν μπορεί διαφύγει από τα όρια του ορίζοντα των γεγονότων της. Την απάντηση δίνει η κβαντική θεωρία. Τα σωματίδια δεν προέρχονται από το εσωτερικό της μαύρης τρύπας, αλλά από τον «κενό» χώρο, έξω ακριβώς από τον ορίζοντα των γεγονότων της!
Σύμφωνα με την αρχή της απροσδιοριστίας, εμφανίζονται ζεύγη από «δυνάμει» σωματίδια ύλης
Στην περίπτωση όμως αυτή το ένα μέλος του ζεύγους θα είναι σωματίδιο και το άλλο αντισωματίδιο. Επειδή η ενέργεια δεν μπορεί να παραχθεί από το μηδέν, το ένα μέλος του ζεύγους σωματιδίου-αντισωματιδίου θα έχει θετική ενέργεια και το άλλο αρνητική. Αυτό με την αρνητική ενέργεια είναι καταδικασμένο να παραμείνει ένα «δυνάμει» σωματίδιο ή αντισωματίδιο, επειδή σε κανονικές καταστάσεις δηλαδή έξω από τις μαύρες τρύπες, τα «πραγματικά» σωματίδια ή αντισωματίδια έχουν θετική ενέργεια. Πρέπει λοιπόν στο σύντομο χρονικό διάστημα της ζωής του να επιζητεί μια συνάντηση με το άλλο μέρος του ζεύγους, αυτό με τη θετική ενέργεια, και να εξαϋλωθεί μαζί του. Αν όμως κοντά στην περιοχή όπου εμφανίζεται το ζεύγος υπάρχει μια μαύρη τρύπα, παρουσιάζεται και μια άλλη δυνατότητα. Ένα «πραγματικό» σωματίδιο ή αντισωματίδιο που έχει θετική ενέργεια όταν βρίσκεται κοντά σε ένα σώμα με μεγάλη μάζα, η ενέργειά του είναι μικρότερη απ’ όση όταν βρισκόταν μακρύτερα. Όσο πιο κοντά βρίσκεται στο σώμα τόσο μικρότερη είναι η ενέργειά του. Σε κανονικές καταστάσεις αυτή η ενέργεια παραμένει πάντα θετική. Στο εσωτερικό, όμως μιας μαύρης τρύπας το βαρυτικό πεδίο είναι τόσο ισχυρό ώστε εκεί το σωματίδιο ή το αντισωματίδιο μπορεί να έχει αρντητική ενέργεια.
Αφού λοιπόν ένα «πραγματικό» σωματίδιο ή αντισωματίδιο μπορεί, στο εσωτερικό της μαύρης τρύπας, να έχει αρνητική ενέργεια, παρουσιάζεται η δυνατότητα στο «δυνάμει» σωματίδιο ή αντισωματίδιο με την αρνητική ενέργεια να πέσει μέσα στη μαύρη τρύπα και να γίνει «πραγματικό» σωαμτίδιο ή αντισωματίδιο. Στην περίπτωση αυτή δεν χρειάζεται πια να εξαϋλωθεί μαζί με το άλλο μέλος του ζεύγους. Το εγκαταλελειμμένο μέλος του ζεύγους, αυτό με τη θετική ενέργεια, μπορεί ή να πέσει και αυτό μέσα στη μαύρη τρύπα ή να διαφύγει από την περιοχή της.
Για κάποιον που παρατηρεί τα γεγονότα από μακριά, θα φαίνεται ότι το σωματίδιο αυτό το εξέπεμψε η μαύρη τρύπα. Όσο μικρότερη είναι η μαύρη τρύπα τόσο μικρότερη είναι η απόσταση που θα πρέπει να διανύσει το «δυνάμει» σωματίδιο ή αντισωματίδιο πριν γίνει πραγματικό, και τόσο μεγαλύτερη είναι η θερμοκρασία της μαύρης τρύπας και ο ρυθμός εκπομπής της ακτινοβολίας.
Η θετική ενέργεια της ακτινοβολίας που θα εκπέμπεται από τη μαύρη τρύπα θα εξισορροπείται από τη ροή των σωματιδίων ή αντισωματιδίων αρνητικής ενέργειας που θα πέφτουν μέσα της. Επομένως, η ροή αρνητικής ενέργειας μέσα στη μαύρη τρύπα έχει ως αποτέλεσμα τη μείωση της μάζας της. Καθώς μειώνεται η μάζα της μαύρης τρύπας μειώνεται και το εμβαδόν του ορίζοντα των γεγονότων της (που τελικά είναι το μέτρο της εντροπίας της). Η μείωση όμως της εντροπίας της μαύρης τρύπας εξισορροπείται από την εντροπία της ακτινοβολίας που εκπέμπεται. Έτσι, ο δεύτερος νόμος της θερμοδυναμικής δεν παραβιάζεται ποτέ.
Βιβλιογραφία
1. Kip S. Thorne, «Μαύρες τρύπες και στρεβλώσεις του χρόνου»
2. Stephen W. Hawking, «το χρονικό του χρόνου»
Κατηγορίες:ΘΕΡΜΟΔΥΝΑΜΙΚΗ, ΜΑΥΡΕΣ ΤΡΥΠΕΣ
Πολύ ενδιαφέρον άρθρο.
Το άρθρο σας είναι, πράγματι, πολύ καλό (δηλ. επιστημονικά ακριβές) και σας συγχαίρω. Κι αυτό δεν το λέω μόνον επειδή κολακεύθηκα από την αναφορά σας στην συνέντευξη που πήρα από τον Χριστοδούλου, το 1995, για λογαριασμό του περιοδικού, Quantum (στο πλαίσιο της οποίας του έθεσα και το σχετικό ερώτημα).
Επιτρέψτε μου, σήμερα, αρκετά χρόνια μετά, κάποια συπλήρωση. Στο τότε ερώτημά μου στον
Χριστοδούλου, παραπέμπω στη δίτομη στην ελληνική γλώσσα έκδοση του έργου του Kip S. Thorne, «Μαύρες οπές και στρεβλώσεις του χωροχρόνου» (εκδόσεις Κάτοπτρο, 1999 – βλ., συγκεκριμένα, στον τόμο 2, το κεφάλαιο, «Οι μαύρες τρύπες εξαερώνονται», σελ. 128-164). Όμως, δεν είχα προσέξει ότι ο ίδιος ο John Archibald Wheeler, supervisor του Δημήτρη Χριστοδούλου, στο Princeton, περιγράφει εξαιρετικά την σχέση των εργασιών των Χριστοδούλου και Bekenstein στην ενδιαφέρουσα επιστημονική αυτοβιογραφία του, «Geons, black holes and quantum foam» (W. W. Norton & Company, 1998). Συγκεκριμένα, στις σελ. 298-300 αναφέρεται στον Χριστοδούλου και στις σελίδες 312-315 στον Bekenstein.
Τέλος, κλείνοντας, ας μου επιτραπεί να σημειώσω ότι σε εκείνη την συνέντευξη ο Χριστοδούλου κάνει αναφορά και στο γνωστό, σήμερα, ως «Christodoulou effect», που αφορά στην επ’ άπειρον μη γραμμική φύση των βαρυτικών κυμάτων. Αυτό είναι ένα πολύ ενδιαφέρον συμπέρασμα που μένει να ελεγχθεί πειραματικά (κάτι που γίνεται ήδη και ίσως δώσει αποτελέσματα μέσα σε 10-15 χρόνια από τώρα) και που, δυστυχώς, δεν έχει καθόλου συζητηθεί στην ελληνική βιβλιογραφία (βλ. σχετικώς στο μικρό μου βιβλίο, «Μαθηματικά και Φυσική, μια ιδιαίτερη σχέση – Με αφορμή σκέψεις του Κορνήλιου Καστοριάδη», εκδόσεις Ευρασία, 2010, τις σελ. 122-123 της σημείωσης 17).
Ελπίζω να μην σας κούρασα. Ευχαριστώ για την φιλοξενία των μικρών μου παρατηρήσεων.
Επιτρέψτε μου, μόνον, να προσθέσω ότι το «Christodoulou memory effect», στο οποίο προηγουμένως αναφέρθηκα, είναι γνωστό και ως «Christodoulou permanent displacement» (αν και είναι γνωστό κυρίως με την πρώτη ονομασία του).
Ευχαριστώ πολύ για τα σχόλιά σας.
(Για μια γρήγορη ματιά στο βιβλίο του Wheeler «Geons, Black Holes, and Quantum Foam»:
http://www.scribd.com/doc/16433990/Geons-Black-Holes-and-Quantum-Foam )
Οι σελίδες 298-300 που αναφέρονται στον Χριστοδούλου:
«….One day in 1967, when I was on the brink of christening the black hole, a friend at the Naval Research Laboratory near Washington, D. C., wrote to me to tell me about a bright Greek boy named Demetrios Christodoulou, whom Princeton ought to consider. Knowing that our department was flexible in its admissions policies and would look favorably on anyone with talent, I asked for and gained approval to check out this young man myself. Since I was going to be in Paris for the spring semester 1968, I wrote to Christodoulou to ask if he might be able to come to Paris for an interview. He agreed, showing up in Paris in January soon after my arrival there. We worked out an arrangement for him to take a succession of oral exams over several days. To serve as a fellow examiner I roped in a Paris colleague, Achille Papapetrou, himself a Greek. Demetrios was sixteen. He had not yet finished high school, but had studied so much physics and mathematics on his own that he was far beyond anything his high school could offer, even beyond the courses that he had tried at the University of Athens. We wanted to test him on more than book learning, but could not give him a laboratory task. So we gave him a recent copy of the journal Physical Review and asked him to report back in two days on an experiment detailed there, in which William Fairbank of Stanford measured whether matter and antimatter are attracted equally by gravity. The results of the exams were more than favorable. I reported to my Princeton colleagues and recommended admission on a trial basis. A couple of days later Christodoulou and I were attending a seminar together when I was handed a cable affirming his admission. With apologies to the speaker—my friend Isaak Khalatnikov from Moscow—I interrupted the meeting to announce that Christodoulou would be attending Princeton. Demetrios says that he was too elated to pay much attention to the rest of Khalatnikov’s talk. He went at once to Princeton and did so well in courses that spring that he was admitted as a regular student in the fall. His dissertation, completed when he was nineteen, openedan unexpected chapter in the story of the black hole. Now he is a leading contributor to black-hole physics. The story of Christodoulou’s dissertation begins with the British physicist Roger Penrose.
One Friday in 1968,during a long Underground (subway) ride from his home outside London and a walk from the Underground station in London to his office at Birkbeck College for his regular end-of-the-week get-together with his research group, Penrose, as he tells it, was mulling over what topic he might bring to the group to stimulate some good discussion— something «new and true.» Reflecting on a rotating black hole, he asked himself if there were not some way to tap its rotational energy. Yes, he mused to himself, if I toss a planet (or other massive object)toward a black hole and the object breaks apart, with one part falling into the black hole and the other part zooming away, the departing piece may carry away more energy than the original object brought in. Robbed of some of its spin, the black hole loses some of its mass Christodoulou and I were fascinated by this «Penrose process.» How efficient could it be made? How much mass could be extracted from a spinning black hole? Demetrios soon learned that hurling planets at a black hole would more likely increase the black hole’s mass than decrease it, but that the black hole’s mass could be decreased and, as suggested by Penrose, at the expense of the black hole’s spin. In the best tradition of ancient Greece, Demetrios discovered a wonderfully simple relationship that could be laid out along the three sides of a right triangle. For a black hole with no electric charge, the hypotenuse of the triangle measures the mass of the black hole, the altitude measures the spin, and the base measures the «irreducible mass,» which is the smallest mass the black hole can have, the mass it ends up with after processes such as those suggested by Penrose have extracted all the spin. For a black hole that has not only spin but also electric charge, Christodoulou and Remo Ruffini, then a postdocat Princeton, found that a simple triangle is still meaningful, with the base of the triangle now measuring a combination of irreducible mass and charge. Their reducible mass remains the rock-bottom mass of the black hole (not counting quantum effects), the mass it possesses after all its charge and all its spin have been reduced to zero. As long as the black hole has any charge or any spin, its mass is greater than its irreducible mass. It is marvelous that such simple Pythagorean geometry can display rules even of black-hole dynamics. That’s not the end of geometry that would have pleased the ancient Greeks. If two balls of putty collide and stick together, the mass of the new, larger ball is the sum of the masses of the balls that collided. Not so for black holes. If two spinless, uncharged black holes collide and coalesce—and if they get rid of as much energy as they possibly can in the form of gravitational waves as they combine—the square of the mass of the new, heavier black hole is the sum of the squares of the combining masses. That means that a right triangle with sides scaled to measure the masses of two black holes has a hypotenuse that measures the mass of the single black hole they form when they join. Try to picture the incredible tumult of two black holes locked in each other’s embrace, each swallowing the other, both churning space and time with gravitational radiation. Then marvel that the simple rule of Pythagoras imposes its order on this ultimate cosmic maelstrom….»
Διαβάστε επίσης: https://physicsgg.wordpress.com/2012/04/13/%CE%BC%CE%B9%CE%B1-%CE%B1%CE%BD%CE%B1%CF%86%CE%BF%CF%81%CE%AC-%CF%83%CF%84%CE%BF-christodoulou-memory-effect/
Δεν μπορώ να πω αν το άρθρο είναι άκρως ακριβές ή όχι, απλά επειδή δεν είμαι αρκετά άξια για να το κρίνω από επιστημονικής απόψεως. Μπορώ όμως να σας διαβεβαιώσω οτι το βρήκα πάρα πολύ ενδιαφέρον. Είμαι μαθήτρια γυμνασίου και θα ήθελα πολυ στον μέλλον να ασχοληθώ με την αστροφυσική….Το άρθρο σας μου δημιούργησε ερωτήματα και με έβαλε στην διαδικασία να σκεφτώ και να αναπτύξω τις δίκες μου θεωρίες μέσα από περαιτέρω έρευνα…
Τα θερμά μου συγχαρητήρια!