… των Μαθηματικών Κατεύθυνσης 2015
δείτε όλα τα θέματα ΕΔΩ
Ενώ, απαντήσεις και σχόλια για τα θέματα Μαθηματικών μπορείτε να βρείτε αλλού … ότι ακολουθεί στη συνέχεια ΔΕΝ έχει σχέση με τις ζητούμενες λύσεις…
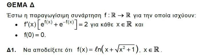
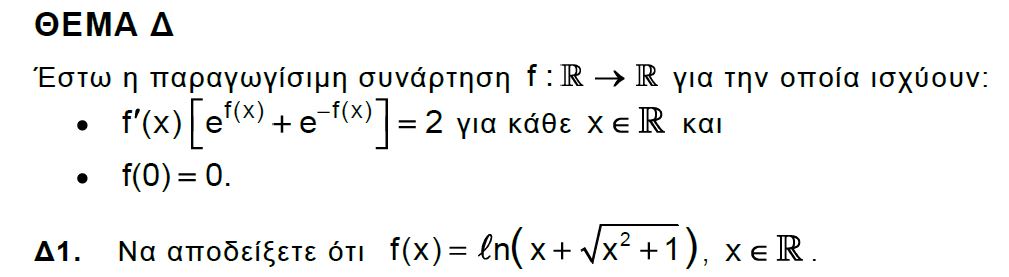
Στην αρχική σχέση η εμφάνιση του υπερβολικού συνημιτόνου είναι φανερή, δεδομένου ότι ή
Εκείνο που δεν διακρίνεται τόσο εύκολα είναι ότι η ζητούμενη συνάρτηση είναι η αντίστροφη συνάρτηση του υπερβολικού ημιτόνου:
Αποδείξτε το!
Υπενθυμίζεται ότι οι υπερβολικές συναρτήσεις είναι:
Κατηγορίες:ΕΚΠΑΙΔΕΥΣΗ, ΜΑΘΗΜΑΤΙΚΑ


Μια αναφορά εδώ:
http://www.alfavita.gr/arthron/%CF%84%CE%BF-4%CE%BF-%CE%B8%CE%AD%CE%BC%CE%B1-%CF%84%CF%89%CE%BD-%CE%BC%CE%B1%CE%B8%CE%B7%CE%BC%CE%B1%CF%84%CE%B9%CE%BA%CF%8E%CE%BD-%CF%83%CF%84%CE%B9%CF%82-%CF%80%CE%B1%CE%BD%CE%B5%CE%BB%CE%BB%CE%B1%CE%B4%CE%B9%CE%BA%CE%AD%CF%82-%CE%B5%CE%BE%CE%B5%CF%84%CE%AC%CF%83%CE%B5%CE%B9%CF%82-%CE%AE-%CE%B7-%CE%BA%CF%8C%CF%84%CE%B1-%CF%80%CE%BF%CF%85-%CE%BA%CE%AC%CE%BD%CE%B5%CE%B9-%CF%84%CE%BF-%CF%87%CF%81%CF%85%CF%83%CF%8C-%CE%B1%CF%85%CE%B3%CF%8C
μια συζήτηση:
http://www.mathematica.gr/forum/viewtopic.php?f=133&t=49688
και οι λύσεις:
http://www.mathematica.gr/forum/download/file.php?id=52072
Δεν μπορώ να πιστέψω ότι οι θεματοδότες δεν γνώριζαν για τις υπερβολικές συναρτήσεις,,, 😦