… αν ξαφνικά σταματούσαν οι πυρηνικές αντιδράσεις στο εσωτερικό του;

Ένα άστρο – όπως ο Ήλιος μας – διατηρεί σχεδόν σταθερά τα χαρακτηριστικά του, όπως η μάζα, η ακτίνα, η λαμπρότητα και η χημική σύσταση της εξωτερικής του επιφάνειας.
Αυτή η σταθερότητα των άστρων μας οδηγεί στο συμπέρασμα ότι στο εσωτερικό τους επικρατεί περίπου μια κατάσταση ισορροπίας.
Οι πυρηνικές αντιδράσεις σύντηξης που πραγματοποιούνται στο εσωτερικό τους δημιουργούν μια «κόλαση» παραγωγής ενέργειας και ακτινοβολίας, η πίεση των οποίων εξισορροπούν την βαρύτητα που θα οδηγούσε το άστρο σε κατάρρευση.
Αν λοιπόν δεν γίνονταν οι πυρηνικές αντιδράσεις στο εσωτερικό του Ήλιου, τότε σε πόσο χρόνο θα κατέρρεε βαρυτικά;
Μια προσεγγιστική απάντηση στο ερώτημα αυτό βρίσκει κανείς ΕΔΩ (στη σελ. 94)
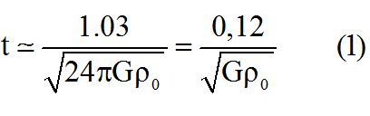
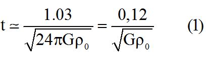
και η εξίσωση που υπολογίζει τον χρόνο της «ελεύθερης πτώσης» όταν δεν υπάρχει η πίεση που «στηρίζει» το άστρο είναι
όπου ρ0 η πυκνότητα του Ήλιου (ή κάποιου άλλου παρόμοιου άστρου) λίγο πριν αρχίσει η κατάρρευση – σύμφωνα με την υπόθεση.
Θέτοντας στην παραπάνω εξίσωση την πυκνότητα του Ήλιου ρ0=1.4 g/cm3 και την τιμή της σταθεράς της παγκόσμιας έλξης παίρνουμε ότι η κατάρρευση του Ήλιου θα γίνει σε κάτι λιγότερο από 7 λεπτά της ώρας – αφότου πάψουν να πραγματοποιούνται οι πυρηνικές αντιδράσεις σύντηξης.
Για να προκύψει η παραπάνω εξίσωση γίνονται αρκετές προσεγγίσεις και πολλές πράξεις … που όμως μπορούμε να αποφύγουμε αν χρησιμοποιήσουμε διαστατική ανάλυση, δηλαδή να σκεφτούμε ως εξής:
Ο χρόνος της βαρυτικής κατάρρευσης του άστρου θα εξαρτάται από την μάζα του άστρου Μ, την αρχική του ακτίνα r0 και από την σταθερά της παγκόσμιας έλξης G – εφόσον δεχόμαστε ότι το φαινόμενο καθοδηγείται μόνον από την βαρύτητα:
t ~ r0x My Gz
Aντικαθιστώντας τις μονάδες μέτρησης στην παραπάνω σχέση προκύπτει η ισότητα:
s = (mx) (kgy) (kg-zm3zs-2z)
οπότε
z = -1/2 = y και x = 3/2
Έτσι

Αν εκφράσουμε την μάζα συναρτήσει της πυκνότητας
Μ = 4/3 πr3 ρ0
παίρνουμε
Συγκρίνοντας τις εξισώσεις (1) και (3) βλέπουμε μεν ότι διαφέρουν κατά έναν παράγοντα 4 – η τάξη μεγέθους όμως του χρόνου που υπολογίζουν είναι η ίδια.
Κατηγορίες:ΒΑΡΥΤΗΤΑ
Ναι, αλλά δεν σημαίνει ότι αν σταματήσουν οι πυρηνικές αντιδράσεις, ο Ήλιος θα κάνει ελεύθερη πτώση προς το κέντρο του. Η πίεση δεν θα εξαφανιστεί. Απλά μία συνιστώσα της πίεσης θα χαθεί. Αυτό θα αναγκάσει τον Ήλιο να συμπιεστεί λίγο για να αυξήσει την θερμοκρασία του και την πίεσή του ώστε να αντισταθμίσει για την μερική απώλεια στήριξης. Στην περίπτωση λοιπόν που η θερμική πίεση μόνο λόγω της θέρμανσης από βαρυτική συστολή είναι αυτή που υποστηρίζει το άστρο, η διάρκεια ζωής του εξαρτάται από τον ρυθμό που ακτινοβολεί θερμότητα και είναι ανάλογη της διαθέσιμης βαρυτικής δυναμικής ενέργειας.
Φυσικά εδώ μπαίνουν κάποια άλλα ζητήματα. Δηλαδή, μπορεί να μην καταρρεύσει μέσα σε 7 λεπτά ο Ήλιος, αλλά μπορεί να γίνει και δυναμικά ασταθής επειδή αλλάζει ο νόμος που δίνει την μορφή της πίεσης με την πυκνότητα στο εσωτερικό.
Ωραία συζήτηση…
Ίσως το ερώτημα θα έπρεπε να διατυπωθεί ως εξής: «σφαιρική κατανομή (αρχικά ακίνητων) σωματιδίων, πυκνότητας ρ0, αφήνονται να κινηθούν ελεύθερα υπό την επίδραση της βαρύτητάς τους . Υπολογίστε τον χρόνο … θεωρώντας για κάθε στοιχειώδη όγκο της σφαιρικής κατανομής dP/dr = 0 »
Κάτι τέτοιο προσπαθούν να υπολογίσουν και οι Rolfs και Rodney, χωρίς να παίρνουν υπόψη τους περιστροφή, παλιρροιακά φαινόμενα, μαγνητικά πεδία, διαστολή ή συστολή κλπ. Θεωρούν ένα απλό μοντέλο άστρου – ένα σφαιρικά συμμετρικό αντικείμενο στο οποίο εφαρμόζουν «απλή φυσική».
Μια πρώτη προσέγγιση (πάντα στα πλαίσια της κλασικής φυσικής) της προ – σουπερνόβα κατάστασης ενός άστρου …
Btw, σχετικά είναι και κάποια πράγματα που είχα γράψει με αφορμή την ταινία, Sunshine, που είχε βγει πριν μερικά χρόνια.
Όταν λέμε «βαρυτική κατάρρευση», εννοούμε έως ότου η αρχική μάζα του ήλιου γίνει σημειακή, Ή μελανή οπή ή αστέρας νετρονίων ή λευκός νάνος; Γιατί από όσο ξέρουμε, η κατάληξή του εξαρτάται από την αρχική μάζα του.
Mέχρι τα σωματίδια που περιγράφω σe προηγούμενο σχόλιό μου συσσωρευθούν σε ένα πολύ μικρό όγκο σε σχέση με τον αρχικό όγκο του Ήλιου. Για το τι θα συμβεί στη συνέχεια ή τι συμβαίνει στην πραγματικότητα και καταλήγουμε σε μαύρες τρύπες, λευκούς νάνους .. είναι μια άλλη ή άλλες πολύ ενδιαφέρουσες ιστορίες …
1)Ένα τυπογραφικό: z=-1/2=y και x=3/2
2)Ο τύπος για τον free-fall χρόνο είναι: tff=sqrt(3π/32Gρ)=0,5427/sqrt(Gρ)
οπότε ο Ήλιος θα κατέρρεε βαρυτικά σε περίπου 30min! Που είναι πολύ πιο κοντά στο αποτέλεσμα τής διαστατικής ανάλυσης!! (Απ’ ό,τι καταλαβαίνω, οι Rolfs και Rodney δεν ορίζουν ως free-fall τον χρόνο που η σφαιρική κατανομή σωματιδίων θα καταρρεύσει/φτάσει στο κέντρο, αλλά τον χρόνο στον οποίο η πυκνότητα τής κατανομής θα γίνει e(=2,718) φορές η αρχική)
1) διορθώθηκε, ευχαριστώ πολύ
…»
2) έτσι είναι. Γράφουν: «At time t=τ we have ρ=eρ0 (e=2.72) and the free-fall time can be written as