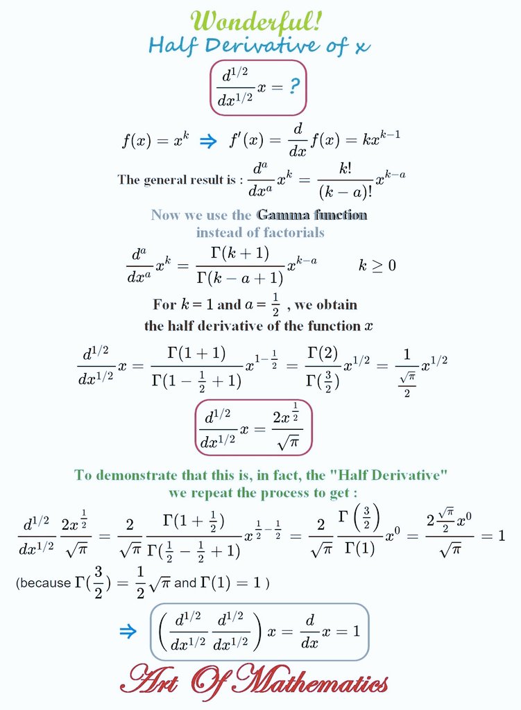
Έχει νόημα η μισή παράγωγος της συνάρτησης f(x)=x, δηλαδή μια έκφραση της μορφής ;
Θα ξεκινήσουμε με την συνάρτηση , παραγωγίζοντάς την διαδοχικά:
Χρησιμοποιώντας την γενίκευση του παραγοντικού με την συνάρτηση γάμμα , παίρνουμε:
Θέτοντας και
προκύπτει:
και δεδομένου ότι
και
, θα έχουμε τελικά την ζητούμενη «μισή» παράγωγο της f(x)=x:
Aν επαναλάβουμε την μισή παραγώγιση στην συνάρτηση που προέκυψε παίρνουμε ένα αποτέλεσμα που επαληθεύει την παραπάνω συλλογιστική:
Υπενθυμίζεται ότι o Neils Abel (1802-1829) ήταν πρώτος μαθηματικός που ανέπτυξε τις βασικές ιδέες του «κλασματικών» παραγώγων όταν μελετούσε το πρόβλημα του ισοχρόνου (ή ταυτοχρόνου), δηλαδή την κατασκευή μιας καμπύλης με την εξής ιδιότητα: όταν ένα σώμα αφεθεί να ολισθήσει χωρίς τριβές κατά μήκος της καμπύλης, ο χρόνος που απαιτείται για να φτάσει στο χαμηλότερο σημείο της καμπύλης να είναι ανεξάρτητος από το αρχικό ύψος.
διαβάστε περισσότερα στο άρθρο: A brief history and exposition of the fundamental theory of fractional calculus
Κατηγορίες:ΜΑΘΗΜΑΤΙΚΑ



Σχολιάστε