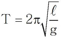
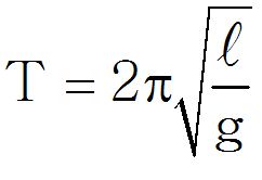
Ο Γαλιλαίος θεωρούσε ότι η περίοδος του εκκρεμούς είναι ανεξάρτητη της γωνίας από την οποία άρχιζε η ταλάντωση. Αντιμετώπιζε δηλαδή την κυκλική τροχιά που διαγράφει το εκκρεμές ως καμπύλη ισοχρόνου (ή ταυτοχρόνου): απ’ όποιο σημείο κι αν ξεκινήσει η ταλάντωση του εκκρεμούς ο χρόνος που απαιτείται για να φτάσει π.χ. στο χαμηλότερο σημείο (το ένα τέταρτο της περιόδου) θεωρούσε ότι είναι ίδιος. Αυτή τη λανθασμένη αντίληψη εξακολουθεί να έχει πολύς κόσμος και σήμερα, εξαιτίας του γνωστού τύπου που υπολογίζει την περίοδο του εκκρεμούς:
Η παραπάνω εξίσωση που περιέχεται σε όλα τα σχολικά βιβλία μας λέει ότι η περίοδος του εκκρεμούς εξαρτάται μόνο από το μήκος του ℓ και από την επιτάχυνση της βαρύτητας g.
Όμως η εξίσωση αυτή είναι προσεγγιστική. Για παράδειγμα αν η ταλάντωση του εκρεμμούς ξεκινήσει από ένα σημείο τέτοιο ώστε το νήμα του εκκρεμούς να σχηματίζει γωνία 60 μοιρών με την κατακόρυφη διεύθυνση, η περίοδος του εκκρεμούς που δίνει η παραπάνω εξίσωση έχει απόκλιση περίπου 7% κάτω από την πραγματική τιμή.
Η περίοδος του εκκρεμούς εξαρτάται λοιπόν και από την αρχική γωνία θο. Ο ακριβής υπολογισμός της περιόδου….απαιτεί τη χρήση των ελλειπτικών ολοκληρωμάτων τα οποία συνήθως προκαλούν αλλεργία στους κοινούς θνητούς. Ένας τυφλοσούρτης που υπολογίζει την σωστή τιμή της περιόδου του εκκρεμούς (στην πραγματικότητα υπολογίζει το πλήρες ελλειπτικό ολοκλήρωμα 1ου είδους) βρίσκεται ΕΔΩ.
Στον 17ο αιώνα οι ναυτικές δυνάμεις προσέφεραν μεγάλα χρηματικά ποσά σε όποιον θα έβρισκε μια αξιόπιστη μέθοδο υπολογισμού του γεωγραφικού μήκους στη θάλασσα. Ο προσδιορισμός όμως του γεωγραφικού μήκους απαιτούσε ένα χρονόμετρο ακριβείας που να λειτουργεί μέσα σε ένα κινούμενο πλοίο ώστε να δίνει την ώρα του λιμανιού από το οποίο ξεκίνησε. Ο Huygens σκόπευε να κατασκευάσει ένα τέτοιο χρονόμετρο. Αρχικά κατασκεύασε ένα ρολόι με το κλασικό εκκρεμές και διαπίστωσε την πλάνη του Γαλιλαίου, αποδεικνύοντας ότι η περίοδός του εξαρτάται από το πλάτος του. Στη συνέχεια κατασκεύασε εκκρεμές του οποίου το σφαιρίδιο διέγραφε μια καμπύλη διαφορετική της κυκλικής έτσι ώστε η περίοδος να είναι ανεξάρτητη του πλάτους!
Η κατασκευή του ήταν περίπλοκη, αλλά η βασική της ιδέα ήταν η χρήση κατάλληλων ελασμάτων που άλλαζαν το μήκος του εκκρεμούς, όπως δείχνει το σχήμα.
(Για την ιστορία αναφέρουμε ότι οι προσπάθειες κατασκευής «ναυτικού» χρονομέτρου συνεχίστηκαν μέχρι τον 18ο αιώνα. Το 1759 ένας ξυλουργός, ο John Harrison τελειοποίησε ένα εξαιρετικά ακριβές ρολόι (όχι ρολόι – εκκρεμές) δίνοντας πρώτος αξιόπιστη λύση στον προσδιορισμό του γεωγραφικού μήκους).
Η καμπύλη που ανακάλυψε ο Huygens είχε την ιδιότητα του ισόχρονου.
Αν μια επιφάνεια έχει το σχήμα της καμπύλης της ισόχρονης του Huygens, τότε ο χρόνος ολίσθησης ενός σώματος χωρίς τριβές μέχρι το κατώτερο σημείο της είναι ανεξάρτητος από το σημείο εκκίνησης! Η καμπύλη που ικανοποιεί την συνθήκη του «ισοχρόνου» ονομάζεται κυκλοειδής.
Τα δύο σώματα του σχήματος αφήνονται να ολισθήσουν από διαφορετικά σημεία – χωρίς τριβές – κατά μήκος μιας κυκλοειδούς καμπύλης. Ο χρόνος που κάνουν για να φτάσουν στο κατώτερο σημείο ίδιος!
Πως ακριβώς είναι η κυκλοειδής καμπύλη; Ένας απλός τρόπος «σχεδίασης» της κυκλοειδούς είναι να παρακολουθήσουμε την διαδρομή που διαγράφει σημείο της περιφέρειας ενός τροχού που κυλίεται κατά μήκος μιας ευθείας χωρίς ολίσθηση. Κάθε πλήρης περιστροφή του τροχού παράγει μια νέα κυκλοειδή, εφαπτόμενη της αρχικής
Αναστρέφοντας την καμπύλη που δημιουργεί η κύλιση του τροχού και τοποθετώντας το ελάχιστό της στην θέση (0,0) παίρνουμε την παρακάτω παράσταση
Και επειδή μερικοί είναι άρρωστοι με τα μαθηματικά……η κυκλοειδής καμπύλη εκφράζεται μέσω των παραμετρικών εξισώσεων:
Η κυκλοειδής καμπύλη είναι και «βραχυστόχρονη»Το 1696 ο Johann Bernoulli έθεσε στους μαθηματικούς της εποχής του το εξής πρόβλημα:
Έστω δυο δεδομένα σημεία Α και Γ σε ένα κατακόρυφο επίπεδο. Να βρεθεί η καμπύλη την οποία πρέπει να διαγράψει μια σημειακή μάζα υπό την επίδραση της βαρύτητας, έτσι ώστε ξεκινώντας από το Α και χωρίς αρχική ταχύτητα να φτάσει χωρίς τριβές στο Γ στον ελάχιστο χρόνο.
Ο Γαλιλαίος στα τέλη του 16ου – αρχές του 17ου αιώνα πειραματιζόμενος με κεκλιμένα επίπεδα και σωλήνες μεταφοράς νερού σε σχήμα τόξων, διαπίστωσε ότι η κίνηση κατά μήκος ενός κυκλικού τόξου διαρκεί λιγότερο από την κίνηση κατά μήκος της αντίστοιχης χορδής. Ήταν όμως η διαδρομή του κυκλικού τόξου η συντομότερη δυνατή;
Ο ίδιος δεν πρόλαβε να δώσει την σωστή απάντηση που είναι πάλι η κυκλοειδής καμπύλη. Λύσεις στο πρόβλημα Bernoulli έδωσαν οι Leibniz, de l’ Hospital, Jacob Bernoulli (αδερφός του Johann) και πιθανώς ο ίδιος ο Νεύτωνας με ψευδώνυμο.
Η ευφυέστερη όλων ίσως ήταν η λύση που δόθηκε από τον ίδιο τον Johann Bernoulli που
ξεκινώντας από ένα πρόβλημα μηχανικής έφτασε σε ένα πρόβλημα οπτικής, χρησιμοποιώντας την αρχή του Fermat, ότι το φως όταν κινείται μεταξύ δυο σημείων διασχίζει τη διαδρομή που απαιτεί το ελάχιστο χρονικό διάστημα. Πρόκειται για την πρώτη εφαρμογή της οπτικομηχανικής αναλογίας.
Το πρόβλημα της βραχυστόχρονης που οδηγεί στην κυκλοειδή καμπύλη καθοδήγησε την ανάπτυξη του λογισμού των μεταβολών και την διατύπωση της κλασικής μηχανικής μέσω των εξισώσεων Lagrange και Hamilton, που αποτέλεσαν την βάση για τη μαθηματική θεμελίωση της κβαντομηχανικής.
Η κυκλοειδής καμπύλη είχε προκαλέσει τον ενθουσιασμό μαθηματικών και φυσικών για πολλά χρόνια και πολλοί απ’ αυτούς θεωρούσαν ότι η καμπύλη θα έπαιζε σημαντικό ρόλο στην ερμηνεία της φύσης. Παρότι, για παράδειγμα, μπορεί να εμφανιστεί στη λύση της εξίσωσης Friedmann που για συγκεκριμένες τιμές διαφόρων παραμέτρων, περιγράφει την χρονική εξέλιξη της διαστολής του σύμπαντος ή και σε άλλους τομείς της επιστήμης, τελικά η κυκλοειδής καμπύλη με το πέρασμα του χρόνου πέρασε στην αφάνεια.
πηγή: www.ggalios.gr/p/1.html
Κατηγορίες:ΜΑΘΗΜΑΤΙΚΑ, ΦΥΣΙΚΗ








Σχολιάστε