Μια από τις πιο γνωστές προσεγγίσεις του αριθμού π είναι το κλάσμα 22/7 που χρησιμοποιήθηκε για πρώτη φορά από τον Αρχιμήδη. Με ένα απλό κομπιουτεράκι μπορούμε να δούμε ότι 22/7=3,142857>π=3,14159…
Αν όμως δεν γνωρίζαμε τα πρώτα ψηφία του π, θα μπορούσαμε να αποδείξουμε ότι 22/7>π ;
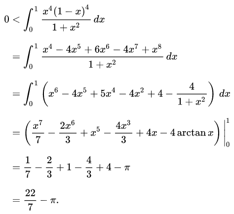
Η απόδειξη είναι πολύ σύντομη – πολύ συντομότερη από το να υπολογίσουμε ότι το π ισούται προσεγγιστικά με 3,14159. Αρκεί να δείξουμε ότι:
Το ολοκλήρωμα υπολογίζεται πολύ εύκολα ως εξής:

Θυμηθήκαμε την παραπάνω απόδειξη γιατί σε λίγο ξημερώνει η 14η Μαρτίου (3/14), μια ημέρα που έχει καθιερωθεί ως παγκόσμια ημέρα του αριθμού π.
Μην λησμονάτε όμως και την 22/7 … η οποία έχει καθιερωθεί ως «ημέρα προσέγγισης του αριθμού π» !
πηγή: https://en.wikipedia.org/wiki/Proof_that_22/7_exceeds_%CF%80
Κατηγορίες:ΜΑΘΗΜΑΤΙΚΑ, ΧΙΟΥΜΟΡ
Σχολιάστε