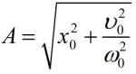
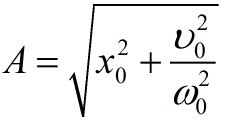
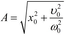
Published 11/12/2012 at 226 × 125 in Η γενική λύση της απλής αρμονικής ταλάντωσης
‹ Back
Δ
Ο ιστότοπος χρησιμοποιεί το Akismet για την εξάλειψη των ανεπιθύμητων σχολίων. Μάθετε πως επεξεργάζονται τα δεδομένα των σχολίων σας.
Σχολιάστε