Γιατί η εξίσωση x=Asin(ωt+φ) είναι η γενική λύση της διαφορικής εξίσωσης που περιγράφει την απλή αρμονική ταλάντωση
Η πιο συνηθισμένη διαφορική εξίσωση στη Φυσική κρύβεται πίσω από τον 2ο νόμο του Newton
ΣF = m α(t) ή ΣF = m d2x(t)/dt2 = m x´´(t)
Ανάλογα με το είδος της συνισταμένης δύναμης που δέχεται μια μάζα καθορίζεται και το είδος της κίνησης της μάζας ,δηλ. η μετατόπιση της μάζας συναρτήσει του χρόνου, x=x(t).
Στην περίπτωση που η συνισταμένη δύναμη είναι της μορφής ΣF = – Dx , όπου D σταθερά, λέμε ότι η μάζα εκτελεί απλή αρμονική ταλάντωση.
Από τον 2ο νόμο Newton προκύπτει, m d2x(t)/dt2 + D x(t) = 0 ή
x´´(t) + ω02 x(t)=0 (1)
όπου η σταθερά ω0 = √(D/m) ονομάζεται ιδιοσυχνότητα. Στη συνέχεια θα δούμε πως λύνεται η εξίσωση (1).
Οι διαφορικές εξισώσεις που έχουν την μορφή της εξίσωσης (1) περιγράφουν την κίνηση της απλής αρμονικής ταλάντωσης και ανήκουν στην κατηγορία των ομογενών διαφορικών εξισώσεων δεύτερης τάξης με σταθερούς συντελεστές.
Η επίλυση τους πραγματοποιείται αν θεωρήσουμε ως λύση τη συνάρτηση: x(t)=eρt
Aντικαθιστώντας στην εξ.(1) προκύπτει η εξίσωση που προσδιορίζει την παράμετρο ρ
ρ2+ω02=0
Η εξίσωση αυτή ονομάζεται χαρακτηριστική και έχει ρίζες ρ1,2=±i ω0
Έτσι, η γενική λύση της εξ. (1) είναι ο γραμμικός συνδυασμός
x(t)=C1e+iω0t+ C2e-iω0t (2)
όπου C1, C2 σταθερές που προσδιορίζονται από τις αρχικές συνθήκες.
Αντικαθιστώντας στην γενική λύση (2) τις εκφράσεις
e+iω0t=cosω0t + i sinω0t
και
e-iω0t=cosω0t – i sinω0t
προκύπτει η μορφή
x(t) = (C1 + C2)cosω0t + i (C1 – C2)sinω0t (3)
Παραγωγίζοντας την εξ. (3) παίρνουμε
x´(t) = –ω0(C1 + C2)sinω0t + i (C1 – C2)ω0cosω0t (4)
Οι τελευταίες δυο εξισώσεις για t=0 δίνουν:
x(0)= C1+C2 και C1-C2=x´(0)/iω0
Αντικαθιστώντας τις παραπάνω εξισώσεις στην εξ. (3) έχουμε
x(t)=x(0)cosω0t + {x´(0)/ω0}sinω0t
ή αν συμβολίσουμε τις αρχικές συνθήκες με
x(0)=x0 και x´(0)=υ(0)=υ0
παίρνουμε:
x(t)=x0cosω0t + {υ0/ω0}sinω0t (5)
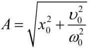
Για να έχουμε την γενική λύση σε πιο κλειστή μορφή θέτουμε tanφ=ω0x0/υ0 και χρησιμοποιώντας γνωστές τριγωνομετρικές ταυτότητες παίρνουμε:

όπου η ποσότητα

ονομάζεται πλάτος της ταλάντωσης και η ποσότητα φ αρχική φάση.
Κατηγορίες:ΜΑΘΗΜΑΤΙΚΑ, ΤΑΛΑΝΤΩΣΕΙΣ
Σχολιάστε