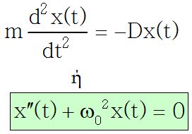
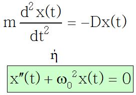
Όταν σε ένα σώμα επιδρά δύναμη της μορφής F = – Dx τότε το σώμα εκτελεί απλή αρμονική ταλάντωση. Εφαρμόζοντας τον 2ο νόμο Newton προκύπτει η διαφορική εξίσωση της κίνησης,
όπου η σταθερά

ονομάζεται ιδιοσυχνότητα.
Η γενική λύση της παραπάνω διαφορικής εξίσωσης που περιγράφει την απομάκρυνση από τη θέση ισορροπίας συναρτήσει του χρόνου είναι
όπου Α το πλάτος της ταλάντωσης και φ η αρχική φάση που εξαρτάται από τις αρχικές συνθήκες.

Στην πιο ρεαλιστική περίπτωση, την φθίνουσα ταλάντωση, εμφανίζεται η δύναμη απόσβεσης – συνήθως ανάλογη της ταχύτητας
Fb=-bυ
που εξαιτίας της η αρχική ενέργεια του ταλαντωτή μετατρέπεται σταδιακά σε θερμική μέχρι το σώμα να σταματήσει.
Η διαφορική εξίσωση της κίνησης στην περίπτωση αυτή είναι

Η γενική λύση της εξίσωσης είναι


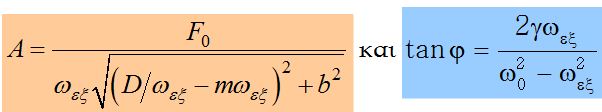
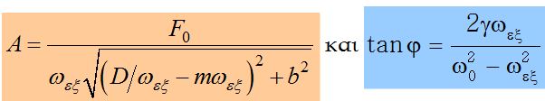
Για να μην σταματήσει η φθίνουσα ταλάντωση πρέπει να ασκούμε μια επιπλέον εξωτερική δύναμη, τη διεγείρουσα δύναμη, μέσω της οποίας αναπληρώνεται η ενέργεια που χάνεται ως θερμότητα. Έτσι προκύπτει η εξαναγκασμένη ταλάντωση. Η διαφορική εξίσωση της κίνησης στην περίπτωση διεγείρουσας δύναμης της μορφής
Fεξ= F0sinωεξt
είναι

Για αρχικές συνθήκες x(0)=0 και υ(0)=0, η γενική λύση της εξίσωσης είναι της μορφής

Μετά από αρκετό χρόνο ο πρώτος όρος μηδενίζεται (διότι e-γt→0) και η ταλάντωση περνάει στο στάδιο της μόνιμης κατάστασης και περιγράφεται από τον δεύτερο όρο
όπου
Όμως, μέχρι να επικρατήσει η μόνιμη κατάσταση η γενική λύση θα επηρεάζεται και από τον όρο που περιέχει τον παράγοντα e-γt. Σ’ αυτό το χρονικό διάστημα η απομάκρυνση έχει μια «ακανόνιστη» μορφή μέχρι να αποκτήσει την αρμονική μορφή της.
Αυτή η μετάβαση προς την αρμονικότητα που άλλοτε γίνεται σχεδόν αμέσως και άλλοτε καθυστερεί συνιστά τα μεταβατικά φαινόμενα των εξαναγκασμένων ταλαντώσεων.
Πολλές φορές μιλάμε για μεταβατικά διακροτήματα γιατί η γενική λύση της εξαναγκασμένης ταλάντωσης περιέχει αρμονικούς όρους με δυο διαφορετικές συχνότητες.
Την συχνότητα της φθίνουσας ταλάντωσης ω και την συχνότητα της εξωτερικής δύναμης ωεξ.
Όταν το σύστημα αφήνεται ελεύθερο, τότε «επιθυμεί» να ταλαντώνεται με κυκλική συχνότητα ω, ενώ ο εξωτερικός διεγέρτης «προσπαθεί να το εξαναγκάσει» σε ταλάντωση με συχνότητα ωεξ.
Η σύνθεση των δυο αυτών ταλαντώσεων οδηγεί στα ονομαζόμενα μεταβατικά διακροτήματα, που υπό προϋποθέσεις μπορούν να έχουν κάποια διάρκεια.
Στη συνέχεια βλέπουμε μερικά διαγράμματα της απομάκρυνσης συναρτήσει του χρόνου, κάποια από τα οποία μοιάζουν πράγματι με διακροτήματα
Για να κάνετε προσομοιώσεις εξαναγκασμένων ταλαντώσεων και των μεταβατικών φαινομένων (για διάφορες τιμές των παραμέτρων) πατήστε ΕΔΩ
Κατηγορίες:ΤΑΛΑΝΤΩΣΕΙΣ
Σχολιάστε