Απεικονίζουν την ελεύθερη πτώση ως ομαλά επιταχυνόμενη κίνηση
Οι ερευνητές Morteza Gharib, Chris Roh και Flavio Noca σε ένα άρθρο που δημοσίευσαν στο περιοδικό Leonardo, μελετώντας ένα από τα σημειωματάρια του Λεονάρντο ντα Βίντσι δείχνουν ότι ο Ιταλός πολυμαθής είχε επινοήσει πειράματα για να μελετήσει την επιταχυνόμενη κίνηση που προκαλεί η βαρύτητα στα σώματα που πέφτουν ελεύθερα – και ότι με αυτά προσέγγισε την επιτάχυνση της βαρύτητας με 97% ακρίβεια.
Ο Ντα Βίντσι έζησε από το 1452 έως το 1519, έναν αιώνα πριν ο Γαλιλαίος το 1604 διατυπώσει το νόμο της ελεύθερης πτώσης: ότι η απόσταση που διανύουν τα αντικείμενα που πέφτουν ελεύθερα εξαιτίας της βαρύτητας είναι ανάλογη με το τετράγωνο του χρόνου πτώσης τους,
και δύο σχεδόν αιώνες πριν ο Νεύτωνας προς στα τέλη του 17ου αιώνα διατυπώσει το νόμο της παγκόσμιας έλξης. Εκείνο που φρέναρε την έρευνα του ντα Βίντσι ήταν η έλλειψη βασικών τεχνικών μέσων, όπως για παράδειγμα, ένα χρονόμετρο για την ακριβή μέτρηση του χρόνου των αντικειμένων που πέφτουν.
Τα πειράματα του ντα Βίντσι εντοπίστηκαν για πρώτη φορά σε μια σειρά από σκίτσα του που έδειχναν τρίγωνα που δημιουργούνται από σωματίδια που πέφτουν από ένα βάζο. Αυτό που που προκάλεσε την προσοχή των ερευνητών ήταν φράση «Equatione di Moti» που έγραφε στην υποτείνουσα ενός από τα τρίγωνα των σχεδίων του – ενός ισοσκελούς ορθογωνίου τριγώνου. Τι εννοούσε ο Λεονάρντο με αυτή τη φράση;
Ο ντα Βίντσι περιγράφει ένα πείραμα στο οποίο μια κανάτα κινείται σε μια ευθεία διαδρομή παράλληλη προς έδαφος, αφήνοντας να πέφτουν μικρά σφαιρίδια. Οι σημειώσεις του δείχνουν ότι γνώριζε πως τα σφαιρίδια δεν θα έπεφταν με σταθερή ταχύτητα αλλά θα επιταχύνονταν – καθώς επίσης ότι τα σφαιρίδια κατά την διάρκεια της πτώσης τους δεν επιταχύνονται οριζόντια, αφού δεν επηρεάζονται πλέον από την κανάτα και ότι η επιτάχυνσή τους είναι ξεκάθαρα κατακόρυφη λόγω της βαρύτητας.
Σύμφωνα με τον ντα Βίντσι, αν η κανάτα επιταχυνθεί με τον ίδιο ρυθμό που η βαρύτητα επιταχύνει τα σφαιρίδια που πέφτουν, τότε δημιουργείται ένα ισοσκελές ορθογώνιο τρίγωνο – αυτό που επισημαίνει με το «Equatione di Moti,» ή «εξίσωση (ισοδυναμία) κινήσεων.» Στο βίντεο που ακολουθεί βλέπουμε μια προσομοίωση του πειράματος του Λεονάρντο:
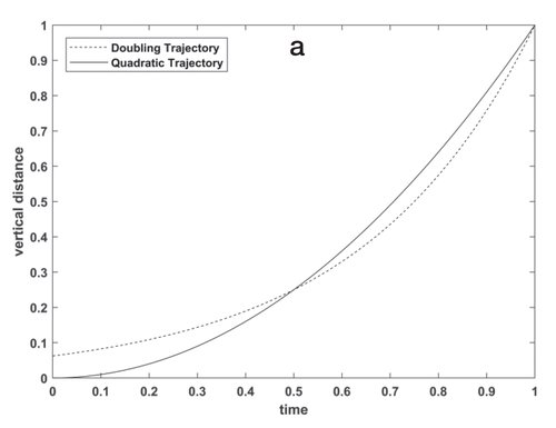
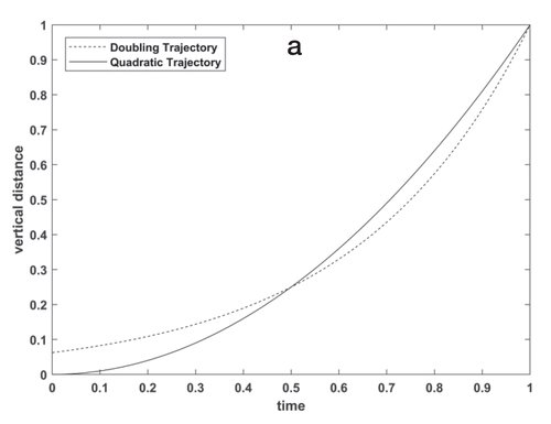
Ο Λεονάρντο ντα Βίντσι προσπάθησε να περιγράψει αυτή την επιτάχυνση. Αλλά εδώ δεν ήταν ακριβής. Αν εκφράσουμε μαθηματικά την συλλογιστική του, φαίνεται πως εκτιμούσε την απόσταση που διαγράφει ένα αντικείμενο κατά την ελεύθερη πτώση ως ανάλογη του ~2βt [όπου t ο χρόνος της πτώσης] αντί του σωστού ~αt2. Υπό συγκεκριμένες προϋποθέσεις ο αλγόριθμος του Λεονάρντο βρίσκεται κοντά στην πραγματικότητα. Είναι λάθος, αλλά χρησιμοποίησε αυτή τη λανθασμένη εκτίμηση με τον σωστό τρόπο.

Δεν ξέρουμε αν ο ντα Βίντσι έκανε περαιτέρω πειράματα ή αν διερεύνησε αυτό το πρόβλημα βαθύτερα, αλλά το γεγονός ότι το αντιμετώπισε με αυτόν τον τρόπο – στις αρχές του 1500 – καταδεικνύει πόσο μπροστά ήταν η σκέψη του.
Τα παραπάνω θα μπορούσαν να διατυπωθούν ως μια άσκηση για τους μαθητές της Β’ Λυκείου που ακολουθούν την σωστή κατεύθυνση:
Έστω ότι η κανάτα του Λεονάρντο ξεκινά τη χρονική στιγμή t=0 από το σημείο Α χωρίς αρχική ταχύτητα (υ0=0) και κινείται οριζόντια με σταθερή επιτάχυνση α=g, αφήνοντας να πέφτουν συνεχώς μικρά σφαιρίδια. Αν η κανάτα την χρονική στιγμή t=t1 βρίσκεται στο σημείο Γ, τότε το το πρώτο σφαιρίδιο που αφέθηκε την χρονική στιγμή t=0, βρίσκεται στο σημείο Β.
Να δείξετε ότι ένα σφαιρίδιο που αφέθηκε μια οποιαδήποτε χρονική στιγμή μεταξύ t=0 και t=t1, την χρονική στιγμή t=t1 θα βρίσκεται στην υποτείνουσα του ορθογωνίου τριγώνου ΑΒΓ.
απάντηση:
Το πρώτο σφαιρίδιο που αφήνεται από την κανάτα στην θέση A(0,0) την χρονική στιγμή t=0, εκτελεί ελεύθερη πτώση και την χρονική στιγμή θα βρίσκεται στη θέση B
. Ίδια κίνηση εκτελεί και η κανάτα και την χρονική στιγμή
θα βρίσκεται στη θέση Γ
. Έτσι, η ευθεία που διέρχεται από τα σημεία Β και Γ έχει εξίσωση:
(1)
Μια τυχαία χρονική στιγμή η κανάτα θα βρίσκεται στη θέση
και θα έχει ταχύτητα
. To σφαιρίδιο που αφήνεται αυτή τη χρονική στιγμή θα εκτελέσει οριζόντια βολή με αρχική οριζόντια ταχύτητα
. Το σωματίδιο αυτό την χρονική στιγμή
θα βρίσκεται στη θέση
ή
. Μετά από λίγες και εύκολες πράξεις, παρατηρούμε ότι οι συντεταγμένες αυτές ικανοποιούν την εξ. (1). Που σημαίνει ότι το τυχαίο σφαιρίδιο που εξετάσαμε θα βρίσκεται στην υποτείνουσα ΒΓ του ορθογωνίου τριγώνου ΑΒΓ.



Σχολιάστε