Μια νέα ερμηνεία των σχετικά υψηλών ενεργών διατομών σύντηξης πυρήνων με άλω

Ορισμένοι πυρήνες διαθέτουν μια «άλω» που αποτελείται από ένα ή δύο νουκλεόνια που περιφέρονται σε απόσταση από το κέντρο του πυρήνα. Τέτοιοι πυρήνες έχουν μεγαλύτερη πιθανότητα – ή μεγαλύτερη «ενεργό διατομή» – να αλληλεπιδράσουν με άλλους πυρήνες διαμέσου αντιδράσεων σύντηξης. Για να κατανοήσουν τους παράγοντες πίσω από αυτή την αυξημένη ενεργό διατομή, ο Xiang-Xiang Sun από το Πανεπιστήμιο της Κινεζικής Ακαδημίας Επιστημών και οι συνεργάτες του χρησιμοποίησαν ως πρότυπο τον πυρήνα με άλω, τον άνθρακα-15, και τον συνέκριναν με έναν πυρήνα χωρίς άλω, τον άνθρακα-14. Διαπίστωσαν ότι δύο παράγοντες παίζουν ρόλο στην αυξημένη πιθανότητα αντίδρασης του άνθρακα-15: το μεγάλο του μέγεθος και το παραμορφωμένο σχήμα του.
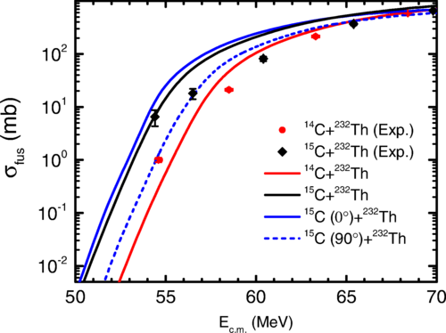
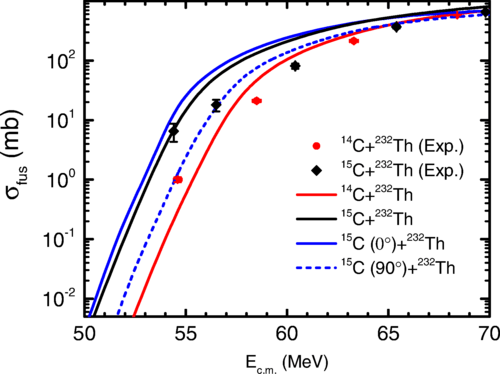
Οι πυρήνες με την ξεχωριστή δομή της άλω προσφέρουν στους φυσικούς ένα πεδίο ελέγχου θεωρητικών μοντέλων της πυρηνικής φυσικής. Σύμφωνα με τον Sun: «Η άλως αντιπροσωπεύει μια από τις πιο εντυπωσιακές εξωτικές πυρηνικές ιδιότητες». Οι ερευνητές μπορούν να δημιουργήσουν αυτούς τους βραχύβιους πυρήνες σε εργαστήρια και να μελετήσουν τις αλληλεπιδράσεις τους με άλλους πυρήνες. Για παράδειγμα, έχουν δημιουργηθεί δέσμες πυρήνων άνθρακα-15 και εκτοξεύονται σε στόχους θορίου-232. Τα αποτελέσματα δείχνουν ότι ο άνθρακας-15 είναι 2 έως 5 φορές πιο πιθανό να συντηχθεί με θόριο σε σχέση με τον άνθρακα-14, σε ενέργειες κάτω από το ηλεκτροστατικό φράγμα Coulomb.
Ο Sun και οι συνεργάτες του εξηγούν την μεγάλη ενεργό διατομή της σύντηξης του άνθρακα-15, χρησιμοποιώντας το μοντέλο TDDFT(time dependent density functional theory), το οποίο εξετάζει την συλλογική κίνηση των αντιδρώντων πυρήνων. Η άλως του πυρήνα του άνθρακα-15 έχει ένα μόνο νετρόνιο που περιστρέφεται γύρω από το πυρηνικό κέντρο που μοιάζει με άνθρακα 14. Το εκτεταμένο μέγεθος της άλω οδηγεί σε μικρότερη ηλεκτροστατική άπωση, που σημαίνει ότι ο άνθρακας-15 μπορεί να διεισδύσει βαθύτερα σε έναν πυρήνα στόχο σε σχέση με τον άνθρακα-14. Ωστόσο, οι ερευνητές διαπίστωσαν ότι έπρεπε να συμπεριλάβουν επίσης επιδράσεις που εξαρτώνται από την κατεύθυνση που οφείλονται στο επίμηκες σχήμα του άνθρακα-15. Οι ερευνητές λένε ότι η μέθοδός τους μπορεί να επεκταθεί και σε άλλους πυρήνες που διαθέτουν άλω με περισσότερα από ένα νουκλεόνια σε τροχιά.
Michael Schirber – https://physics.aps.org/articles/v16/s2
Κατηγορίες:ΠΥΡΗΝΙΚΗ ΦΥΣΙΚΗ

Τι σημαινει αλως;
https://el.wiktionary.org/wiki/%CE%AC%CE%BB%CF%89%CF%82
https://www.protothema.gr/environment/article/1069948/seliniki-alos-eduposiaki-i-eikona-tou-feggariou-na-kaluptetai-apo-foteino-stemma/
Κάτι που παρατηρήθηκε το 2020 και είχε γίνει viral.