… όσο προβλέπει η θεωρία
Μια ακριβής μέτρηση του τρόπου με τον οποίο η δομή ενός πρωτονίου παραμορφώνεται σε ένα ηλεκτρικό πεδίο

Τα πρωτόνια και τα νετρόνια συνίστανται από μικρότερα σωματίδια που ονομάζονται κουάρκ, τα οποία συγκρατούνται μεταξύ τους διαμέσου της ισχυρής αλληλεπίδρασης – γνωστής και ως ισχυρή δύναμη. Νέα πειράματα δείχνουν ότι τα κουάρκ ανταποκρίνονται περισσότερο από το αναμενόμενο σε ένα ηλεκτρικό πεδίο, αναφέρει ο φυσικός Νικόλαος Σπαρβέρης και οι συνεργάτες του στην δημοσίευση της 19ης Οκτωβρίου στο Nature με τίτλο ‘The result suggests that the strong force isn’t quite as strong as theory predicts‘. Το αποτέλεσμα δείχνει ότι η ισχυρή δύναμη δεν είναι τόσο ισχυρή όσο προβλέπει η θεωρία.
Πρόκειται για ένα συμπέρασμα που έρχεται σε αντίθεση με το Καθιερωμένο Πρότυπο της σωματιδιακής φυσικής, την αποδεκτή θεωρία που περιγράφει τα σωματίδια και τις δυνάμεις με τις οποίες αλληλεπιδρούν, ώστε να δημιουργήσουν εμάς και τα πάντα γύρω μας. Το αποτέλεσμα προβληματίζει τους φυσικούς σχετικά με την θεωρητική ερμηνεία του φαινομένου.
Τέτοια ‘ελαστικότητα’ εξαιτίας του ηλεκτρικού πεδίου έχει εμφανιστεί και σε πειράματα άλλων εργαστηρίων, αλλά δεν ήταν τόσο πειστική, λέει ο Σπαρβέρης. Η ελαστικότητα που μέτρησε ο ίδιος και οι συνάδελφοί του ήταν λιγότερο ακραία σε σχέση με προηγούμενα πειράματα, αλλά συνοδεύτηκε επίσης με μικρότερη πειραματική αβεβαιότητα. Αυτό αυξάνει την πίστη των πειραματικών ότι τα πρωτόνια είναι πράγματι πιο ‘εύκαμπτα’ σε σχέση με αυτό που λέει η θεωρία.
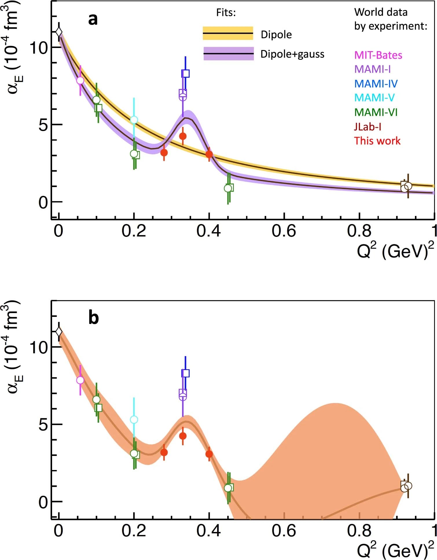
Ο Σπαρβέρης και οι συνεργάτες του μελέτησαν τα πρωτόνια βομβαρδίζοντας με ηλεκτρόνια έναν στόχο υπερψυχρού υγρού υδρογόνου. Τα σκεδαζόμενα (από τα πρωτόνια) ηλεκτρόνια αποκάλυψαν πώς τα κουάρκ των πρωτονίων ανταποκρίνονται στα ηλεκτρικά πεδία. Όσο μεγαλύτερη ήταν η ενέργεια των ηλεκτρονίων, τόσο πιο βαθιά στο εσωτερικό των πρωτονίων μπορούσαν να δουν οι ερευνητές στα πρωτόνια και δείχνοντας πως λειτουργεί η ισχυρή δύναμη μέσα στα πρωτόνια.
Αρχικά παρατηρήθηκε η αναμενόμενη κίνηση των κουάρκ με τις ηλεκτρικές αλληλεπιδράσεις να ωθούν τα σωματίδια σε αντίθετες κατευθύνσεις. Αλλά από κάποιο σημείο και μετά, καθώς η ενέργεια των ηλεκτρονίων αυξανόταν, τα κουάρκ φάνηκαν να ανταποκρίνονται πιο πολύ στο ηλεκτρικό πεδίο από ό,τι προέβλεπε η θεωρία.
Αυτό συνέβη μόνο για ένα μικρό εύρος ενεργειών των ηλεκτρονίων, που δημιούργησε ένα ‘καρούμπαλο’ στην γραφική παράσταση της ‘ελαστικότητας’ του. Κάτι που δεν αναμένεται από τη θεωρία.
Είναι γεγονός ότι θα χρειαστούν περισσότερα πειράματα για να διερευνηθεί το ζήτημα, ώστε να ασχοληθούν με αυτό οι θεωρητικοί φυσικοί, γι αυτό ο Σπαρβέρης θα επαναλάβει το πείραμα. Αυτή τη φορά θα χρησιμοποιήσει τα αντίστοιχα σωματίδια της αντιύλης των ηλεκτρονίων, τα ποζιτρόνια.
Επίσης, ένα άλλο πείραμα από το Ινστιτούτο Paul Scherrer στο Villigen της Ελβετίας, θα χρησιμοποιήσει άτομα υδρογόνου που έχουν μιόνια στη θέση των ηλεκτρονίων. Τα μιόνια είναι περίπου 200 φορές βαρύτερα από τα ηλεκτρόνια και περιφέρονται πολύ πιο κοντά στον πυρήνα ενός ατόμου από ό,τι τα ηλεκτρόνια προσφέροντας μια πιο κοντινή ματιά στο εσωτερικό του πρωτονίου. Το πείραμα θα περιλαμβάνει την διέγερση του «μιονικού υδρογόνου» με λέιζερ, αντί για την σκέδαση ηλεκτρονίων ή ποζιτρονίων από στόχο πρωτονίων.
Η ακρίβεια στα πειράματα μιονικού υδρογόνου θα είναι πολύ μεγαλύτερη σε σχέση με τα πειράματα σκέδασης. Αν μια παρόμοια ‘παραμόρφωση’ του πρωτονίου εμφανιστεί και εκεί, τότε οι θεωρητικοί φυσικοί θα πρέπει να εξηγήσουν το φαινόμενο.
πηγή: https://www.sciencenews.org/article/proton-stretch-particle-physics-quarks
Κατηγορίες:ΠΥΡΗΝΙΚΗ ΦΥΣΙΚΗ, ΣΤΟΙΧΕΙΩΔΗ ΣΩΜΑΤΙΑ

Χμ… Οπότε δηλαδή κάτι συμβαίνει είτε με τα κουάρκ, είτε με τα γκλουόνια, είτε και με τα δύο μαζί. Θα περιμένουμε λοιπόν τα αποτελέσματα των μελλοντικών πειραμάτων.