Σύμφωνα με τη Νευτώνεια φυσική η κινητική ενέργεια υπολογίζεται από την εξίσωση:
Όμως ο Αϊνστάιν βρήκε μια τελείως διαφορετική εξίσωση για την κινητική ενέργεια(*): ή
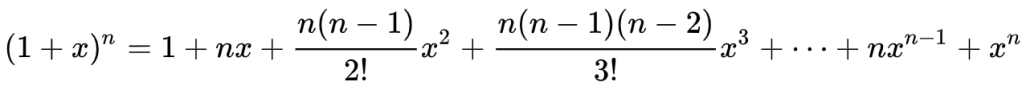
Η εξίσωση (2) θα προβληματίζει από φέτος μαθητές και καθηγητές της Γ’ Λυκείου, μετά από κάποιες μικροαλλαγές που έγιναν στο αναλυτικό πρόγραμμα. Συμπάσχοντας λοιπόν με την ελληνική εκπαιδευτική κοινότητα, ο Dr. Don Lincoln από το Fermilab, δημιουργησε το παρακάτω βίντεο στο οποίο εξηγεί γιατί οι εξισώσεις (1) και (2) συμφωνούν όταν οι ταχύτητες είναι πολύ μικρότερες από την ταχύτητα του φωτός. Για τον σκοπό αυτό χρησιμποιεί το διωνυμικό ανάπτυγμα:
το οποίο σύμφωνα με την γενίκευση που έκανε ο Νεύτωνας το 1665, μπορεί να εφραρμοστεί και όταν το n είναι πραγματικός αριθμός (εκτός των αρνητικών ακεραίων).
Έτσι, χρησιμοπιώντας το διωνυμικό ανάπτυγμα για και
, παίρνουμε:
και αντικαθιστώντας στην εξ. (2) προκύπτει για την σχετικιστική κινητική ενέργεια:
. Παρατηρούμε ότι για v<<c η σχετικιστική εξίσωση τείνει στην κλασική εξίσωση
.
(*) m=η μάζα ηρεμίας σύμφωνα με τον συμβολισμό που χρησιμοποιεί ο Don Lincoln στο βίντεο
διαβάστε επίσης: Το κλασσικό όριο της σχετικιστικής ενέργειας και Γιατί η κινητική ενέργεια είναι ανάλογη του τετραγώνου της ταχύτητας;
Κατηγορίες:ΜΗΧΑΝΙΚΗ, ΣΧΕΤΙΚΟΤΗΤΑ


Σχολιάστε