Η ρήτρα αναπροσαρμογής χρεώσεων προμήθειας που εφαρμόζει η ΔΕΗ αντικατοπτρίζει τις διακυμάνσεις κόστους προμήθειας ηλεκτρικής ενέργειας και εφαρμόζεται αποκλειστικά σε εκκαθαριστικούς λογαριασμούς. Από την εφαρμογή της ρήτρας ενδέχεται να προκύπτει χρεωστική ή πιστωτική χρέωση αναπροσαρμογής. Η χρέωση αναπροσαρμογής σε ευρώ/kWh για τον μήνα t υπολογίζεται βάσει των παρακάτω μεταβλητών:
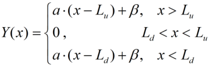
- Υ=α∙x+β, όπου x=o αριθμητικός μέσος της τιμής εκκαθάρισης αγοράς (market clearing price – MCP) της προ-ημερήσιας αγοράς (day ahead market – DAM) του προηγούμενου μήνα (t–1), που δημοσιεύεται στην ιστοσελίδα του ελληνικού χρηματιστηρίου ενέργειας https://www.enexgroup.gr/el//markets-publications-el-day-ahead-market, α=συντελεστής προσαύξησης, ίσος 1,15 , β=συντελεστής προσαύξησης ίσος με 0,0115 ευρώ/kWh
- Lu= άνω όριο αναφοράς ίσο με 0,050
- Ld= κάτω όριο αναφοράς ίσο με 0,040
Και ισούται με:
- χρέωση ίση με (Υ–Lu), όταν το Υ είναι μεγαλύτερο από το άνω όριο Lu
- πίστωση ίση με (Υ–Ld) όταν το Υ είναι μικρότερο από το κάτω όριο Ld
- μηδενική χρέωση όταν το Υ βρίσκεται εντός των ορίων Ld και Lu
H ρήτρα αναπροσαρμογής χρεώσεων προμήθειας ενεργοποιείται όταν το Υ=α∙x+β βρίσκεται εκτός των ορίων Lu και Ld.
Επομένως, ο μαθηματικός τύπος ρήτρας αναπροσαρμογής χρεώσεων της ΔΕΗ δίνεται από την συμπτυγμένη μορφή:
Τώρα μπορούμε να υπολογίσουμε την ρήτρα αναπροσαρμογής χρεώσεων προμήθειας για κατανάλωση ενέργειας π.χ. 1000 kWh τον μήνα t, όταν ο μέσος όρος της τιμής εκκαθάρισης αγοράς της προ-ημερήσιας αγοράς του προηγούμενου μήνα (t-1) ισούται με:
A. x=0,0240
B. x=0,0320
Γ. x=0,0350
(απαντήσεις ΕΔΩ) – πηγή: www.dei.gr
Κατηγορίες:ΧΙΟΥΜΟΡ

Καλά τα παραδείγματα της ΔΕΗ, αλλά το x είναι στο 0.2 και όχι στο 0.02, εδώ και αρκετούς μήνες. Άρα δεν υπάρχει το Y<Lu.
Οπότε μια ρεαλιστική σύγκριση θα ήταν με τις τρέχουσες τιμές, όπου ο συντελεστής της αναπροσαρμογής βγαίνει περίπου 0.24 σε σχέση με τον συντελεστή του οικιακού τιμολογίου που είναι 0.11. Άρα πάρε στο κεφάλι 2 και κάτι φορές πάνω τη χρέωση και έναν λογαριασμό 1200 ευρώ το τετράμηνο (μαζί με φπα).
Με τις υγείες μας.