Ένα ταξίδι στο εσωτερικό των άστρων
Πάνω στο πλοίο, την ώρα που η Βομβάη έσβηνε στον ορίζοντα ο δεκαενιάχρονος Τσαντρασεκάρ σκεφτόταν την θεωρία του Φάουλερ για τους λευκούς νάνους, αλλά θυμόταν και την Λαλίτα, τη νεαρή σύντροφό του που άφηνε μακριά. Τις πρώτες μέρες η θάλασσα ήταν τόσο φουρτουνιασμένη ώστε το πλοίο ήταν αναγκασμένο να πλέει με την μισή ταχύτητα. Όταν ο καιρός βελτιώθηκε, ο Τσάντρα κάθισε σε μια πολυθρόνα στο κατάστρωμα και τράβηξε μία άλλη στο πλάι του στην οποία τοποθέτησε μια στοίβα με βιβλία και άρθρα.

Είχε πάρει μαζί του το άρθρο ‘On Dense Matter‘, που είχε γράψει ο Φάουλερ το 1926 (στο οποίο έδινε μια απάντηση στο παράδοξο του Έντινγκτον σχετικά με τους λευκούς νάνους και το τέλος της ζωής των άστρων), το βιβλίο του βραβευμένου με Νόμπελ, Αμερικανού Άρθρουρ Χόλι Κόμπτον «Ακτίνες Χ και σχετικότητα» και τα βιβλία των Έντινγκτον και Ζόμερφελντ. Η θάλασσα ήταν ήρεμη, χωρίς ούτε ένα κυματάκι. Ο απέραντος ουρανός ήταν έντονα γαλάζιος και ο αέρας μύριζε αλμύρα. Οι μέρες ήταν ειδυλλιακές.
Ο Τσάντρα είχε ηρεμήσει. Είχε αρχίσει να ξεχνά τις αγχώδεις προηγούμενες εβδομάδες. Δεν είχε τίποτε άλλο να κάνει εκτός από το να σκέφτεται και να υπολογίζει. Ήξερε ακριβώς τι έπρεπε να υπολογίσει – το πρόβλημα που είχε αναγκαστεί να βάλει στην άκρη πριν από λίγους μήνες – να κάνει «τα συμπεράσματα του Φάουλερ πιο ακριβή.
Άρχισε να υπολογίζει την πυκνότητα στο κέντρο ενός αστέρα όπως αυτό απαιτούνταν από το συμπέρασμα του Φάουλερ και βρήκε ότι, για τον λευκό νάνο Β του Σείριου, αυτή ήταν ένα εκατομμύριο γραμμάρια ανά κυβικό εκατοστό – ο λευκός νάνος ήταν ένα εκατομμύριο φορές πυκνότερος από το νερό.

Όμως τι ήταν εκείνο που έκανε αυτόν τον τεράστιο αριθμό τόσο ενδιαφέροντα; Αναρωτήθηκε: άραγε, ποιές θα ήταν οι ταχύτητες των ηλεκτρονίων στο κέντρο των λευκών νάνων, με δεδομένη την εξαιρετικά υψηλή πυκνότητα που είχε υπολογίσει; Οι ταχύτητες αυτές προέκυψαν πολύ υψηλές, μεγαλύτερες από το μισό της ταχύτητας του φωτός.
Ο σχετικιστικός εκφυλισμός των ηλεκτρονίων
Ο Τσάντρα είχε εντυπωσιαστεί παρ’ ότι γνώριζε πολύ καλά ότι όταν λαμβανόταν υπόψιν η σχετικότητα σε μια εξίσωση, τα επακόλουθα ήταν απρόσμενα. Η έκλαμψη του Τσάντρα ήταν κάτι παραπάνω από τυχαία. Του είχαν μιλήσει οι εξισώσεις. Σύμφωνα με την αρχή της απροσδιοριστίας του Χάιζενμπεργκ, υπάρχει μια αντίστροφη σχέση μεταξύ της θέσης ενός σωματιδίου και της ταχύτητάς ή ορμής του:
Οποιαδήποτε απόπειρα εξαναγκασμού των ηλεκτρονίων ενός αστέρα να καταλάβουν μια συγκεκριμένη θέση είχε ως αποτέλεσμα μια ξέφρενη αύξησης της ταχύτητας. Αυτός είναι ο λόγος για τον οποίο τα ηλεκτρόνια στο εσωτερικό των λευκών νάνων κινούνται με ταχύτητες πολύ κοντά στην ταχύτητα του φωτός.
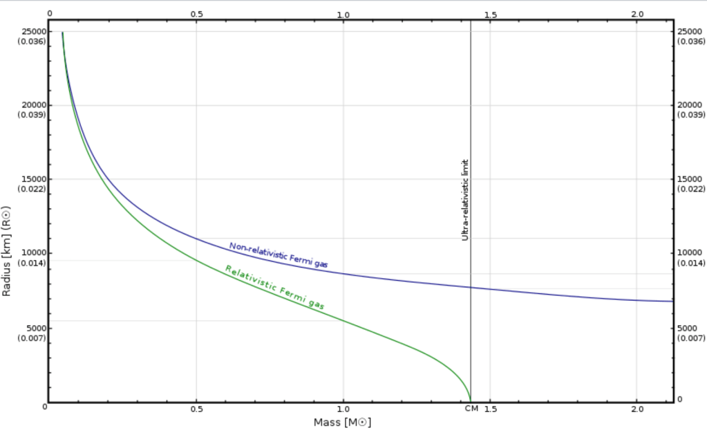
Ο Φάουλερ είχε μελετήσει τον μη σχετικιστικό εκφυλισμό, με άλλα λόγια, την θεωρία του εκφυλισμού που δεν λαμβάνει υπόψιν της την σχετικότητα. Ο Φαόυλερ είχε καταλήξει στο ‘παράλογο’ συμπέρασμα ότι η ακτίνα του λευκού νάνου είναι αντιστρόφως ανάλογη με την τρίτη ρίζα της μάζας του . Mε λίγα λόγια ο λευκός νάνος με την μεγαλύτερη μάζα θα έχει την μικρότερη ακτίνα!
Συμπεριλαμβάνοντας την θεωρία της ειδικής σχετικότητας, ο Τσάντρα ξεκίνησε να μελετά αυτό που ονόμασε σχετικιστικά εκφυλισμένο αέριο ηλεκτρονίων. Συνειδητοποίησε ότι ένας πλήρης υπολογισμός ήταν πολύ δύσκολος, Αντ’ αυτού, αποφάσισε να κάνει μια προσέγγιση στην οποία υπέθεσε ότι τα ηλεκτρόνια ενός λευκού νάνου κινούνταν πολύ κοντά στην ταχύτητα του φωτός.
Στους λευκούς νάνους η ύλη είναι πλήρως ιονισμένη – οι πυρήνες έχουν απογυμνωθεί από τα ηλεκτρόνια τους (τα ηλεκτρόνια είναι φερμιόνια με σπιν 1/2). Έτσι, ενώ το άστρο έχει καταναλώσει τα πυρηνικά του καύσιμα διαθέτει την πίεση των ηλεκτρονίων (αέριο φερμιονίων) εξαιτίας της απαγορευτικής αρχής του Pauli, η οποία αντισταθμίζει την βαρύτητα. Όταν τα ηλεκτρόνια βρεθούν περιορισμένα σε έναν ελάχιστο όγκο ασκούν πίεση ακριβώς όπως τα μόρια ενός αερίου ασκούν πίεση στα τοιχώματα ενός δοχείου. Όμως, η πίεση του εκφυλισμένου αερίου ηλεκτρονίων είναι ριζικά διαφορετική από την θερμική πίεση που κρατά σε ισορροπία άστρα σαν τον ήλιο μας (άστρα της κύριας ακολουθίας). Aυστηρά μιλώντας, η πίεση εκφυλισμού εξαρτάται από την θερμοκρασία ενός αστέρα. Οι Φάουλερ και Τσάντρα περιορίστηκαν στην περίπτωση ενός λευκού νάνου με μηδενική θερμοκρασία, όπου ο αστέρας έχει ψυχθεί φτάνοντας στην κατάσταση του μέγιστου εκφυλισμού. Επρόκειτο για μια λογική προσέγγιση που διατήρησε τις εξισώσεις τους σε απλή μορφή. Αν οι λευκοί νάνοι βρίσκονταν πραγματικά σε μηδενική θερμοκρασία θα ήταν αόρατοι. Παρόλα αυτά, για συγκεκριμένες θερμοκρασίες και πυκνότητες, οι αστροφυσικοί μπορούν να μοντελοποιήσουν τους λευκούς νάνους σαν να ήταν ένα αέριο ηλεκτρονίων σε μηδενική θερμοκρασία.
Εφόσον το αέριο των σχετικιστικών ηλεκτρονίων συνεισφέρει για κάθε πυκνότητα λιγότερη πίεση απ’ όση δείχνει ο μη σχετικιστικός τύπος, οι ακτίνες των λευκών νάνων με ακόμα μεγαλύτερες μάζες πρέπει να είναι ακόμα μικρότερες απ’ ότι υπολόγισε ο Φάουλερ.
Ο Τσάντρα κατέληξε στο συμπέρασμα ότι αν η μάζα του λευκού νάνου ήταν αρκετά μεγάλη, το άστρο θα έπρεπε να συρρικνωθεί και η ακτίνα του να μηδενιστεί! Κι αυτό ήταν συνέπεια της αρχής της σχετικότητας, ότι υπάρχει μια οριακή ταχύτητα στο σύμπαν – η ταχύτητα του φωτός – που κανείς δεν μπορεί να ξεπεράσει, ούτε τα εκφυλισμένα ηλεκτρόνια σε έναν λευκό νάνο μεγάλης μάζας. Και κατάφερε να υπολογίσει την οριακή μάζα στην οποία αντιστοιχούσε η μηδενική ακτίνα του λευκού νάνου (αυτό που σήμερα ονομάζουμε όριο Τσαντρασεκάρ).
«Τα πράγματα ήταν τόσο απλά, ήταν στοιχειώδη. Ο καθένας θα μπορούσε να το είχε βρει», θυμόταν χρόνια αργότερα ο Τσάντρα.
Μια απλούστατη προσέγγιση
Μπορούμε να κάνουμε μια «εκ των υστέρων» χοντρική εκτίμηση του ορίου Τσαντρασεκάρ ως εξής: Ο ελάχιστος όγκος που καταλαμβάνουν Νe ηλεκτρόνια θα είναι
όπου Δx3 ο «στοιχειώδης όγκος» ο οποίος μπορεί να περιέχει δυο ηλεκτρόνια (υπενθυμίζεται ότι σε κάθε επιτρεπτή ενέργεια αντιστοιχούν δυο φερμιόνια με σπιν +1/2 και -1/2). Συνδυάζοντας τις εξισώσεις (1) και (2), θεωρώντας ότι p~Δp και Vmin~R3, όπου R η ακτίνα του λευκού νάνου, προκύπτει:
Αν Μ είναι μάζα του άστρου, τότε θα περιέχει Nnuc=Μ/(Α∙mp) νουκλεόνια, ενώ ο αριθμός των πρωτονίων και των ηλεκτρονίων θα είναι: Νp=Ne=Z∙Nnuc=Z∙Μ/(Α∙mp). Aντικαθιστώντας στην εξ. (3) παίρνουμε:
Θεωρώντας ότι το άστρο βρίσκεται σε ισορροπία έχουμε:
Στο σημείο αυτό ο Τσάντρα, αντί της κλασικής σχέσης ορμής και κινητικής ενέργειας που χρησιμοποίησε ο Φάουλερ(*), χρησιμοποίησε την αντίστοιχη σχετικιστική:
, η οποία για ταχύτητες ηλεκτρονίων κοντά στην ταχύτητα του φωτός (p>>m0c) μας δίνει: Κ≈Nepc. Έτσι η εξίσωση (5) γίνεται:
Συνδυάζοντας τις εξισώσεις (4) και (6) παίρνουμε τελικά το όριο Τσαντρασεκάρ για την μάζα του λευκού νάνου:
Στην βιβλιογραφία μπορεί να βρει κανείς την ακριβέστερη μορφή της παραπάνω εξίσωσης (π.χ. The Physics of Astrophysics Volume I: Radiation, Frank H. Shu):
Η μόνη διαφορά είναι ο αριθμητικός παράγοντας 3,15! Η εξίσωση αυτή είναι ένας από τους πιο όμορφους και πιο σημαντικούς τύπους της θεωρητικής αστροφυσικής. Μια τόσο σημαντική ιδιότητα τόσο πολύπλοκων αντικειμένων όπως τα άστρα περιγράφεται από μια εξίσωση που περιέχει μόνον ορισμένες θεμελιώδεις παγκόσμιες σταθερές, οι τιμές των οποίων μετρούνται στα γήινα εργαστήρια και για διαφορετικούς λόγους. Δεδομένου ότι ο λόγος Ζ/Α για τα περισσότερα βαριά στοιχεία μπορεί να θεωρηθεί περίπου 0,5 το όριο Τσαντρασεκάρ που προκύπτει είναι ΜCh=1,4MꙨ όπου MꙨ η μάζα του ήλιου. Όλοι οι λευκοί νάνοι των οποίων οι μάζες έχουν προσδιοριστεί έχουν μάζα μικρότερη από το όριο Τσαντρασεκάρ.
Στους αρχικούς υπολογισμούς του ο Τσάντρα υπολόγισε το όριο ως 0,91MꙨ. Ωστόσο, η ακριβής αριθμητική τιμή δεν ήταν τόσο σημαντική όσο το γεγονός ότι υπήρχε μια μέγιστη μάζα πέρα από την οποία ένας λευκός νάνος θα συρρικνωνόταν στο τίποτα. Η τιμή 1,4MꙨ εμφανίστηκε για πρώτη φορά το 1939 σε μια εργασία του ρώσου φυσικού George Gamow.
περισσότερα για την ζωή και το έργο του Τσαντρασεκάρ μπορείτε να διαβάσετε στο βιβλίο του Arthrur I. Miller: «Οι μονομάχοι του μεσοπολέμου, Τσάντρα εναντίον Έντινγκτον στην αναζήτηση της μαύρης τρύπας», Εκδόσεις Τραυλός
(*) Συνεχίζοντας με τον κλασικό τύπο της κινητικής ενέργειας που χρησιμοποίησε ο Φάουλερ καταλήγουμε με τον ίδιο τρόπο στην εξίσωση:
. Εδώ βλέπουμε ότι η ακτίνα μηδενίζεται όταν η μάζα τείνει στο άπειρο.
Κατηγορίες:ΑΣΤΡΟΦΥΣΙΚΗ, ΣΧΕΤΙΚΟΤΗΤΑ

Σχολιάστε