Θα μπορούσε το πρωτόνιο να είναι σταθερό σωματίδιο, ενώ το άτομο του υδρογόνου (Η) να μην είναι; Κάποιες εναλλακτικές θεωρίες εξετάζουν και αυτό το ενδεχόμενο!

Ένα σχετικό θεωρητικό μοντέλο υποθέτει την ύπαρξη ενός νέου σωματιδίου το οποίο θα μπορούσε να επιλύσει το αίνιγμα της σκοτεινής ύλης, αλλά και το πρόβλημα σχετικά με τον χρόνο ζωής του νετρονίου, αφού η διάσπαση του υδρογόνου σχετίζεται με την σύλληψη του ηλεκτρονίου από το πρωτόνιο (τα προϊόντα διάσπασης νετρονίου).
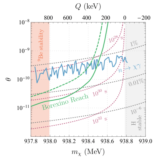
Αν η μάζα του σωματιδίου βρίσκεται στην περιοχή mp − me < mχ < mp + me , τότε το σωματίδιο
και το πρωτόνιο είναι σταθερά για τον ίδιο λόγο: την διατήρηση του βαρυονικού αριθμού Β. Επιπλέον αν mχ<mn, τότε ένας νέος τρόπος διάσπασης του νετρονίου είναι επιτρεπτός: n→
+φωτόνιο. Η διάσπαση αυτή έχει προταθεί για να εξηγηθούν οι αποκλίσεις που εμφανίζονται στις διαφορετικές μεθόδους μέτρησης του χρόνου ζωής του νετρονίου. Σύμφωνα με το ίδιο μοντέλο, εκτός από την διάσπαση του νετρονίου, μπορεί να προκύψει και η διάσπαση του υδρογόνου προς το ίδιο σωματίδιο
με την ταυτόχρονη εκπομπή φωτονίου. Επειδή η διάσπαση του Η γίνεται στην περιοχή μαζών που το
είναι σταθερό, το σωματίδιο αυτό θα μπορούσε να είναι υποψήφιος για σωματίδιο σκοτεινής ύλης.
διαβάστε επίσης: Κρύβεται σκοτεινή ύλη πίσω από τον θάνατο του νετρονίου;
Οι David McKeen και Maxim Pospelov στην εργασία τους με τίτλο «How long does the hydrogen atom live?» υπολόγισαν τον ρυθμό της παραπάνω διάσπασης του υδρογόνου, η οποία περιλαμβάνει την εκπομπή φωτονίου μερικών εκατοντάδων keV, κάτι που κάνει την εξωτική αυτή διαδικασία ανιχνεύσιμη πειραματικά. Πιο συγκεκριμένα δείχνουν ότι το χαμηλής ενέργειας τμήμα στο φάσμα του ανιχνευτή Borexino είναι ευαίσθητο στα φωτόνια που εκπέμπονται από την πιθανή διάσπαση του υδρογόνου. Έτσι οδηγούνται σε ένα όριο στον χρόνο ζωής του ατόμου του υδρογόνου της τάξης του 1030sec (από 1028 μέχρι 1032sec).

πηγή: https://arxiv.org/pdf/2003.02270.pdf
Κατηγορίες:ΑΤΟΜΙΚΗ ΦΥΣΙΚΗ, ΣΚΟΤΕΙΝΗ ΥΛΗ, ΣΤΟΙΧΕΙΩΔΗ ΣΩΜΑΤΙΑ
Σχολιάστε