Μια από τις πιο ενδιαφέρουσες ακολουθίες αριθμών στα μαθηματικά είναι η ακολουθία Fibonacci: 1, 1, 2, 3, 5, 8, 13, 21, 34, 55, 89, 144, …
Θεωρώντας εξ’ ορισμού τους δυο πρώτους αριθμούς της ακολουθίας Fibonacci F1=F2=1, τότε οι επόμενοι όροι προκύπτουν από την αναδρομική σχέση: Fn=Fn-1+Fn-2.
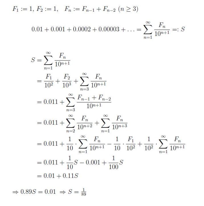
Το 1994 ο Cody Birsner όταν ήταν φοιτητής στο πανεπιστήμιο της Οκλαχόμα ανακάλυψε την παρακάτω σχέση του κλάσματος 1/89 με την ακολουθία Fibonacci:
ή πιο αναλυτικά:

Ιδού και μια ωραία απόδειξη αυτής της ιδιότητας:
Μια εναλλακτική απόδειξη θα βρείτε ΕΔΩ: http://www2.math.ou.edu
Δείτε επίσης και το «Το μαγικό κλάσμα«
Κατηγορίες:ΜΑΘΗΜΑΤΙΚΑ
Σχολιάστε