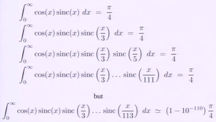
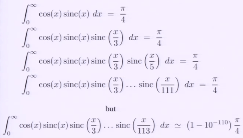
‘cossinc’ Published 14/07/2019 at 826 × 470 in Μια εντυπωσιακή κατάρρευση της επαγωγικής διαίσθησης ‹ Back
Σχολιάστε