Ενώ η διαίσθηση και οι πειραματισμοί παίζουν σημαντικό ρόλο στην μαθηματική έρευνα, η επαγωγική σκέψη μερικές φορές αποδεικνύεται αναπάντεχα λανθασμένη.
Σχεδιάστε έναν κύκλο. Θεωρείστε διαδοχικά n=1, 2, 3, …, σημεία στην περιφέρεια του κύκλου. Ενώστε τα σημεία μεταξύ τους και μετρήστε σε πόσες διαφορετικές περιοχές διαιρείται ο κύκλος.
Εύκολα προκύπτει ότι, για n=1 έχουμε μόνο μια περιοχή S1=1 τον ίδιο τον κύκλο, για n=2→S2=2 περιοχές, για n=3→S3=4, για n=4→S4=8, για n=5→S5=16 και η διαίσθηση μας οδηγεί στον κανόνα Sn=2n-1. Περιμένουμε λοιπόν ότι για n=6 θα προκύπτουν S6=32 περιοχές:
Aν μετρήσατε σωστά, τότε για n=6 προκύπτει S6=31 περιοχές και όχι 26-1=32. Παύει δηλαδή να ισχύει ο «διαισθητικός» κανόνας Sn=2n-1. Η σωστή απάντηση προκύπτει από την σχέση:
.
Κάτι παρόμοιο ισχύει και για τα διαδοχικά ολοκληρώματα
όπου sinc(x)=sin(x)/x η συνάρτηση δειγματοληψίας. Όταν όμως υπολογίζει κανείς το επόμενο (το όγδοο κατά σειρά) ολοκλήρωμα παίρνει ένα αποτέλεσμα, σχεδόν ίσο με π/2, αλλά σίγουρα διαφορετικό:
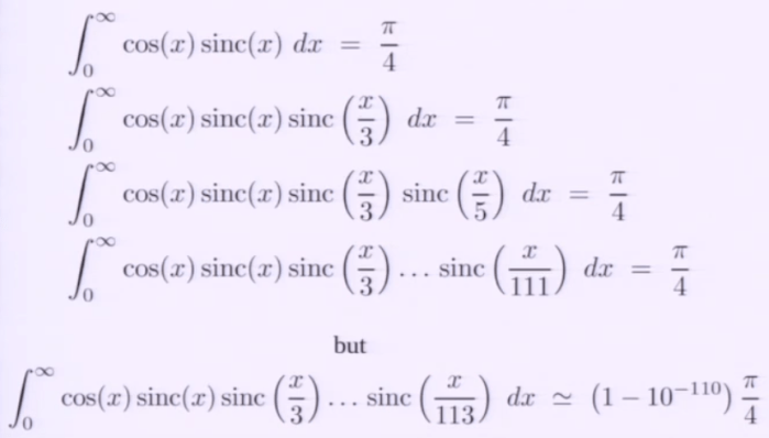
Περισσότερο εντυπωσιακή είναι η ακολουθία των παρακάτω ολοκληρωμάτων:
Eδώ τα 56 πρώτα ολοκληρώματα δίνουν την τιμή π/4,
αλλά το 57o μια τιμή κατά 10-118 %=0,00…001% (118 δεκαδικά ψηφία) μικρότερη του π/4. Πραγματικά εντυπωσιακό!!
Aν θέλετε να εμβαθύνετε περισσότερο στα παραπάνω ολοκληρώματα μπορείτε να διαβάσετε περισσότερες λεπτομέρειες στην εργασία των S.N. Majumdar και E. Trizac με τίτλο «When random walkers help solving intriguing integrals» ή να παρακολουθήσετε το βίντεο:
Διαβάστε επίσης: «Where Proof, Evidence and Imagination Intersect«
Κατηγορίες:ΜΑΘΗΜΑΤΙΚΑ
Σχολιάστε