
Εικόνα 1: Φωτογραφία της Σελήνης από ένα ερασιτεχνικό τηλεσκόπιο, όταν η Σελήνη βρίσκεται στη φάση του πρώτου τετάρτου. Παρατηρείστε τα φωτεινά σημεία Α και Β στη σκοτεινή περιοχή. Πρόκειται για κορυφές σεληνιακών βουνών στις οποίες φτάνει το φως του ήλιου!
Μπορούμε να εκτιμήσουμε το ύψος των βουνών στα οποία ανήκουν οι κορυφές Α και Β των βουνών που βρίσκονται στη Σελήνη; Η απάντηση είναι καταφατική δεδομένου ότι υπάρχει μια απλή, αλλά ευφυής ιδέα, που οφείλεται στον Γαλιλαίο.
Εξαιτίας του σφαιρικού σχήματος της Σελήνης, το φως του ήλιου αγγίζει πρώτα τις κορυφές των βουνών (π.χ. τα φωτεινά σημεία Α και Β στην εικόνα 1) πριν φτάσει στους πρόποδές τους. Αυτό συμβαίνει κοντά στο όριο που χωρίζει την σκοτεινή από την φωτεινή περιοχή της εικόνας. Ας σημειωθεί ότι οι οι ακτίνες του ήλιου είναι εφαπτόμενες στην επιφάνεια της Σελήνης στο νοητό τόξο που αποτελεί το όριο μεταξύ σκοτεινής-φωτεινής περιοχής. Αυτή η γεωμετρία απεικονίζεται (και προφανώς όχι σε κλίμακα) στο σχήμα 2(α):
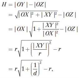
Στο σχήμα 2(α), ο σεληνιακός δίσκος παριστάνεται με έναν κύκλο με κέντρο O. Η γραμμή XY είναι ακτίνα φωτός από τον ήλιο, εφαπτόμενη στον κύκλο στο σημείο Χ και περνάει από την κορυφή του βουνού Y. Η διάμετρος XW είναι το όριο σκιάς-φωτός (στη φάση του πρώτου τετάρτου της σελήνης).
Το σημείο Ζ βρίσκεται στην ευθεία OY και |ΟΧ| = |OZ|= r, όπου r είναι η ακτίνα της Σελήνης. Το ακτινικό τμήμα OX είναι κάθετο στην εφαπτομένη XY – όπως ξέρουμε από τη γεωμετρία. Έτσι, εφαρμόζοντας το Πυθαγόρειο θεώρημα στο ορθογώνιο τρίγωνο OXY, παίρνουμε για το ύψος H του όρους ΥΖ: 
όπου d=r/|ΧΥ|, και η ακτίνα της Σελήνης θεωρείται γνωστή (r≈1736 km), αφού μπορεί να υπολογιστεί με μια μέθοδο γνωστή από την αρχαιότητα. Για να προσδιορίσουμε το ύψος H του σεληνιακού βουνού αρκεί να βρούμε την τιμή του d.
Το d μπορεί να υπολογιστεί έμμεσα από την φωτογραφία χρησιμοποιώντας την ομοιότητα τριγώνων. Σημειώστε ότι κατά τη φάση του πρώτου τετάρτου, η γη, το βουνό στη Σελήνη και το πλησιέστερο σημείο στο όριο μεταξύ σκοτεινής-φωτεινής περιοχής, σχηματίζουν ένα ορθογώνιο τρίγωνο, βλέπε σχήμα 2(β). Επομένως, οι αποστάσεις στη Σελήνη μειώνονται αναλογικά στη φωτογραφία. Συγκεκριμένα, η τιμή d=r/|XY| είναι η ίδια, είτε υπολογίζεται χρησιμοποιώντας τα πραγματικά μήκη στη Σελήνη, είτε χρησιμοποιώντας τα αντίστοιχα μεγέθη στη φωτογραφία. Η πρώτη μέτρηση δεν είναι είναι δυνατή, αλλά η δεύτερη είναι εύκολη. Για την κορυφή Α από την εικόνα 1, οι τιμές στην αρχική φωτογραφία είναι 30 mm και 2 mm, που δίνουν d=15. Αντικαθιστώντας, d=15 και r=1736 στον τύπο για το Η παίρνουμε για το ύψος της κορυφής Α, Η=3,85 km.
Αν και πρόκειται για μια χοντρική εκτίμηση, η μέθοδος του Γαλιλαίου λειτουργεί και είναι ένα εξαιρετικό παράδειγμα που μας δείχνει την δύναμη των μαθηματικών. Μια απλή αστρονομική παρατήρηση – η παρουσία μικροσκοπικών φωτεινών σημείων στη σκοτεινή πλευρά της Σελήνης – όταν ιδωθεί στο σωστό μαθηματικό πλαίσιο δίνει την απάντηση σε ένα πρόβλημα που φαίνεται αδύνατον να λυθεί: Ποιο είναι το ύψος ενός βουνού στη Σελήνη;
πηγή: https://arxiv.org/abs/1905.08191
Κατηγορίες:ΑΣΤΡΟΝΟΜΙΑ, ΜΑΘΗΜΑΤΙΚΑ

Διαβάζοντας την ανάρτηση, νομίζω πως υπάρχει ένα μικρό σφάλμα στους υπολογισμούς, πιθανότατα λόγω τυπογραφικού. Όπως σωστά αναφέρεται, οι μετρούμενες αποστάσεις στην εικόνα είναι 30 mm για την κορυφή Α και 2 mm για την κορυφή Β.
Για την κορυφή Α, η απόσταση των 30 mm αντιστοιχεί σε συντελεστή d = 57.9, που σύμφωνα με τους υπολογισμούς οδηγεί σε ύψος h = 0.259 km, και όχι σε h = 3.86 km, όπως αναφέρεται.
Για τον υπολογισμό του d=r/XY επιλέγονται οι τιμές που προκύπτουν από την original φωτογραφία σε mm (r=30mm και ΧΥ=2mm) και όχι d=1736 km/30mm(;)=57,9
Aν στη σχέση d=r/XY, χρησιμοποιηθεί η πραγματική τιμή ακτίνας της Σελήνης r=1736km, τότε θα έπρεπε να χρησιμοποιηθεί και η πραγματική απόσταση XY πάνω στη Σελήνη (περίπου 116 km)
Σωστά! Τώρα έχει νόημα! Σας ευχαριστώ