
Η ναφθαλίνη καίγεται για να δημιουργηθούν νανο-σφαιρίδια άνθρακα, τα οποία μπορούν να δράσουν ως qubits σε θερμοκρασία δωματίου. (Credit Dr Mohammad Choucair)
Η καύση μιας δραστικής ουσίας προς νανο-σφαιρίδια άνθρακα θα μπορούσε είναι το κλειδί για τους κβαντικούς υπολογιστές. Το αγώγιμο αυτό υλικό από άνθρακα θα μπορούσε να χρησιμοποιηθεί για την λειτουργία των κβαντικών υπολογιστών σε θερμοκρασία δωματίου και όχι στις θερμοκρασίες κοντά στο απόλυτο μηδέν (-273°C) που απαιτούνται σήμερα. Το υλικό δημιουργείται πολύ εύκολα με την καύση της ναφθαλίνης. Η ναφθαλίνη είναι ένας λευκός κρυσταλλικός αρωματικός στερεός υδρογονάνθρακας με χημικό τύπο C10H8.
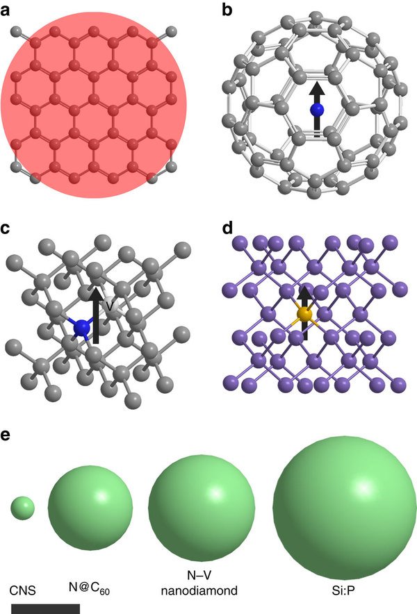
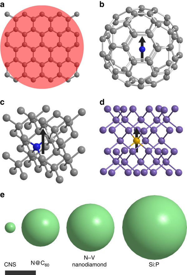
Σύμφωνα με τους ερευνητές της εργασίας με τίτλο, «Room temperature manipulation of long lifetime spins in metallic-like carbon nanospheres» που δημοσιεύεται στο Nature Communications, τα νανο-σφαιρίδια άνθρακα θα μπορούσαν να δράσουν ως qubits σε θερμοκρασία δωματίου.
(Διαβάστε σχετικά: «Τι είναι το qubit;» )

Νανοσφαιρίδιο σε ηλεκτρονιακή κατάσταση με σπιν πάνω εκφράζει το μηδέν (|0>), ενώ το σπιν κάτω εκφράζει το ένα (|1>). Η θεμελιώδης διαφορά μεταξύ κλασικών και κβαντικών υπολογιστών είναι ότι, στον κβαντικό υπολογιστή η βασική μονάδα μνήμης μπορεί να βρίσκεται όχι μόνο στις καταστάσεις 0 και 1, αλλά και σε κάθε δυνατή επαλληλία τους, |ψ> = α |0> + β |1>, όπου α2 + β2=1.
Σύμφωνα με τον Dr Choucair, έναν από τους συγγραφείς της παραπάνω εργασίας, «η πρακτική εφαρμογή κβαντικών υπολογιστών θα μπορούσε να είναι εφικτή μέσα επόμενα χρόνια. Έχουμε κάνει τους κβαντικούς υπολογιστές πιο προσιτούς. Η εργασία μας δείχνει πως μπορούμε να κατασκευάσουμε qubits με απλό τρόπο βασιζόμενοι στον άνθρακα. Η χημεία μας παρέχει τη δυνατότητα να δημιουργήσουμε τα κατάλληλα νανοϋλικά, που θα μπορούσαν να αποτελέσουν τη βάση τεχνολογιών όπως οι κβαντικοί υπολογιστές και να κάνουν ακόμα πιο ισχυρά και αποτελεσματικά τα υπολογιστικά συστήματα»
πηγή: Simple chemistry poised to unlock complex computer problems
Κατηγορίες:ΥΠΟΛΟΓΙΣΤΕΣ, ΧΗΜΕΙΑ
Σχολιάστε