Ο νόμος του Bode ή καλύτερα νόμος Titius-Bode, υπολογίζει τον μεγάλο ημιάξονα των τροχιών των πλανητών του ηλιακού μας συστήματος, σε αστρονομικές μονάδες, σύμφωνα με τη σχέση
r(n) = 0,4 + 0,3·2n όπου n=-∞, 0, 1, 2, 3, 4, ……
Η τιμή r(1) = 1, αντιστοιχεί στην απόσταση της Γης από τον Ήλιο. Σ’ αυτή την αρχική διατύπωση, ο νόμος δεν μπορεί να υπολογίσει με ακρίβεια τις αποστάσεις του Ποσειδώνα και του Πλούτωνα.
Όμως οι πιο πρόσφατες εκδοχές του νόμου (π.χ. Blagg 1913 και Richardson 1943) είναι σε θέση να περιγράψουν, όχι μόνο τις αποστάσεις των πλανητών του ηλιακού μας συστήματος, συμπεριλαμβανομένων του Ποσειδώνα και του Πλούτωνα, αλλά και να εφαρμοστεί με επιτυχία σε άλλα πλανητικά συστήματα ή σε πλανήτες με πολλούς δορυφόρους (διαβάστε σχετικά «Ο νόμος του Bode προβλέπει την ύπαρξη εξωπλανητών«).
Μια σύγχρονη εκδοχή του νόμου Titius-Bode είναι:
r(n) = α e2λn, όπου n = 1, 2, 3, …
Για το ηλιακό μας σύστημα: 2λ = 0,53707, e2λ ≃ 1,7110 και α = 0.21363 A.U.
Ο Blagg βρήκε ότι παράγοντας e2λ είναι περίπου ίδιος για το ηλιακό μας σύστημα και για τα δορυφορικά συστήματα του Δία, του Ποσειδώνα και του Ουρανού!
Η παράμετρος λ είναι αδιάστατη, και η τιμή της προσδιορίζεται από τα δεδομένα των παρατηρήσεών μας. Η παράμετρος α έχει διαστάσεις μήκους και σχετίζεται με την ακτίνα της πρώτης τροχιάς στο πλανητικό ή δορυφορικό σύστημα που εξετάζουμε.
Ο νόμος Titius-Bode θυμίζει το ατομικό μοντέλο του Bohr. Όπως τα ηλεκτρόνια των ατόμων έχουν συγκεκριμένες τροχιές γύρω από τον πυρήνα, λόγω της κβάντωσης του Βohr, μήπως και ο νόμος Titius –Bode στα πλανητικά συστήματα θα μπορούσε να προκύψει από κάποιο είδος κβάντωσης;
Μήπως τελικά υπάρχει μια εξίσωση τύπου-Schrödinger για τα πλανητικά συστήματα που να παράγει τις διακριτές τροχιές που προβλέπει η εξίσωση Titius –Bode;
Με αυτά τα ερωτήματα ασχολήθηκαν το 1983 οι ερευνητές S. Albeverio et al [A Stochastic Model for the Orbits of Planets and Satellites: An Interpretation of the Titius-Bode Law, Expo. Math. 4, 365] και πριν από μια δεκαετία ο F. Scardigli.
Το κεντρικό σημείο στο πρότυπο Bohr για το άτομο του υδρογόνου είναι ότι oι επιτρεπτές τροχιές για ένα ηλεκτρόνιο είναι αυτές στις οποίες η στροφορμή του ηλεκτρονίου είναι ακέραιο πολλαπλάσιο της σταθεράς Planck :
όπου
Για να διατυπώσουμε ένα μοντέλο τύπου Bohr για τα πλανητικά συστήματα, πρέπει να διατυπώσουμε έναν παρόμοιο κανόνα κβάντωσης της στροφορμής για έναν πλανήτη μάζας m , σύμφωνα με τον νόμο Titius –Bode :
όπου
Εξαιτίας της αρχής της ισοδυναμίας ο κανόνας της κβάντωσης εδώ ισχύει για την στροφορμή ανά μονάδα μάζας. Τον ρόλο της σταθεράς Planck παίζει η ποσότητα , όπου Μ η μάζα του κεντρικού σώματος.
Όμως, όπως ακριβώς το άτομο του Bohr υπακούει στην εξίσωση του Schrödinger, έτσι και το πλανητικό σύστημα τύπου Titius-Bode ικανοποιεί μια εξίσωση τύπου- Schrödinger, με έναν διαφορετικό τελεστή στροφορμής.

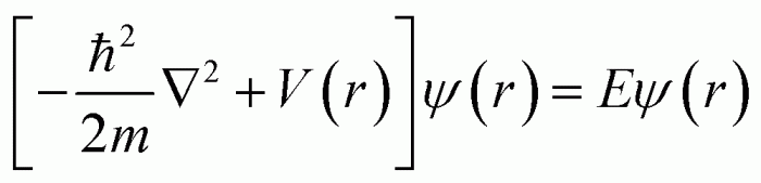
H χρονο-ανεξάρτητη εξίσωση Schrödinger του κβαντικού κόσμου
Η εξίσωση Schrödinger που προτείνει ο F. Scardigli σύμφωνα με την αντιστοιχία or
είναι:
Προφανώς εδώ δεν θα υπάρχουν άλματα πλανητών από μια τροχιά σε μια άλλη, ούτε αρχή της επαλληλίας και άλλα κβαντικά φαινόμενα. Μπορεί να βρει κανείς περισσότερες λεπτομέρειες σχετικά με τα χαρακτηριστικά και την επίλυση της παραπάνω εξίσωσης στο άρθρο του Scardigli «A Quantum-Like Description of the Planetary Systems» .
Άραγε έχει κάποιο βαθύτερο νόημα στην εξίσωση τύπου- Schrödinger για τα πλανητικά συστήματα; Προέρχεται, για παράδειγμα, από την χαοτική διαδικασία που διέπει το πρωτοπλανητικό σύστημα μέχρι αυτό να σταθεροποιηθεί στις τροχιές Titius-Bode; Υπάρχει κάποια σύνδεση της εξίσωσης με το δυσνόητο άρθρο του Ε. Nelson «Derivation of the Schrödinger equation from Newtonian mechanics, Physical Review, Vol. 150, No. 4, 1079-1084 (1966)» ή τις ιδέες που παρουσιάζει ο Gerard ‘t Hooft στο άρθρο του με τίτλο «Determinism beneath Quantum Mechanics» ;
Δεν έχω βρει ακόμα ικανοποιητικές απαντήσεις σ’ αυτά τα ερωτήματα.
Κατηγορίες:ΑΣΤΡΟΝΟΜΙΑ, ΑΤΟΜΙΚΗ ΦΥΣΙΚΗ, ΚΒΑΝΤΙΚΗ ΘΕΩΡΙΑ
Είπαμε: οι μεγαλύτερες ανακαλύψεις στην Ιστορία της Επιστήμης δεν άρχισαν με ένα «Εύρηκα!» αλλά με ένα «That’s funny…». 🙂