Θα μπορούσε ο εξοπλισμός ενός εργαστηρίου φυσικής να αντικατασταθεί από «έξυπνα κινητά»;
Όταν, τα «έξυπνά κινητά» , εκτός των άλλων εφαρμογών τους, μπορούμε να τα χρησιμοποιήσουμε π.χ. ως μικροσκόπια ή ως μετρητές ραδιενέργειας ή ως σεισμογράφους ή ακόμα για να «ψάξουμε» το σωματίδιο Higgs και ως μικροδορυφόρους,
τότε το να χρησιμοποιούνται ως βασικά όργανα για την πειραματική απόδειξη νόμων της φυσικής ακούγεται ως κάτι απολύτως φυσιολογικό.
Ένα τέτοιο παράδειγμα θα δούμε στη συνέχεια, αποδεικνύοντας πειραματικά, ότι η ένταση ενός σφαιρικού κύματος περιγράφεται από ένα νόμο «αντιστρόφως ανάλογο του τετραγώνου».
Θεωρούμε μια σφαίρα ακτίνας r με κέντρο την σημειακή πηγή του κύματος.
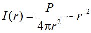
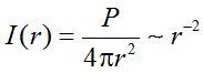
Aν το κύμα διαδίδεται στον χώρο χωρίς να σκεδάζεται ή να απορροφάται τότε θα ισχύει:
Η ένταση του κύματος, που την μετράμε σε Watt/m2, μεταβάλλεται αντιστρόφως ανάλογα με το τετράγωνο της απόστασης.
Πως μπορούμε να αποδείξουμε πειραματικά το νόμο αυτό χρησιμοποιώντας δυο smartphones, δωρεάν εφαρμογές και έναν χάρακα;
Ιδού η πειραματική διάταξη:

Χρησιμοποιούμε το ένα κινητό ως σημειακή πηγή φωτός (ενεργοποιώντας το φλας του) και το άλλο ως μετρητή της έντασης του φωτός σε διάφορες αποστάσεις. Για να μετρηθεί η ένταση του φωτός αρκεί να κατεβάσουμε μια δωρεάν εφαρμογή (ανάλογα με τον τύπο του κινητού από ΕΔΩ , ΕΔΩ ή ΕΔΩ).
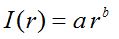
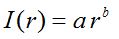
Καταγράφοντας για διάφορες αποστάσεις τις αντίστοιχες εντάσεις του φωτός και στη συνέχεια χρησιμοποιώντας άλλη μια δωρεάν εφαρμογή (ΕΔΩ) μπορούμε να προσαρμόσουμε τα δεδομένα σε μια εξίσωση της μορφής

Η ανάλυση των δεδομένων – χρησιμοποιώντας την δωρεάν εφαρμογή του smartphone – θα δείξει ότι το b είναι σχεδόν ίσο με μείον 2.
Έτσι, επιβεβαιώνεται πειραματικά με τη βοήθεια smartphone, ότι η ένταση μιας φωτεινής δέσμης είναι αντιστρόφως ανάλογη του τετραγώνου της απόστασης …
κι αυτό είναι μόνο ένα απλό παράδειγμα!
ΠΗΓΗ: Demonstration of the Inverse Square Law with the aid of a Tablet/smartphone
Κατηγορίες:ΕΚΠΑΙΔΕΥΣΗ, ΤΕΧΝΟΛΟΓΙΑ, ΦΥΣΙΚΗ, ΧΙΟΥΜΟΡ
Σχολιάστε