Ο Αντρέ Μαρί Αμπέρ (André-Marie Ampère) (20 Ιανουαρίου του 1775 – 10 Ιουνίου 1836) ήταν Γάλλος φυσικός και μαθηματικός που ασχολήθηκε με πλήθος επιστημονικών θεμάτων, αλλά το ενδιαφέρον του στράφηκε κυρίως στον ηλεκτρομαγνητισμό.
Η θεμελιώδης μονάδα μέτρησης του ηλεκτρικού ρεύματος (1 Ampère) φέρει το όνομά του.
Ο Ampère όταν πληροφορήθηκε το πείραμα που πραγματοποίησε ο Hans Christian Οersted το 1820 – ρευματοφόρος αγωγός ασκούσε δύναμη σε μαγνητική βελόνα – συνειδητοποίησε αμέσως την σχέση ηλεκτρικών ρευμάτων και μαγνητισμού.
Απέδειξε πειραματικά ότι δυο ρευματοφόροι αγωγοί αλληλεπιδρούν μαγνητικά υπολογίζοντας την μεταξύ τους δύναμη, όπως επίσης ότι ένα κλειστό ρεύμα μέσα σε μαγνητικό πεδίο συμπεριφέρεται σαν μαγνητική βελόνα.
Στη συνέχεια διατύπωσε έναν από τους σπουδαιότερους νόμους του ηλεκτρομαγνητισμού (νόμος Ampère), που συνδέει το μαγνητικό πεδίο με την ένταση του ηλεκτρικού ρεύματος:
Έτσι, γεννήθηκε μια νέα επιστήμη, η ηλεκτροδυναμική, η οποία συνέδεσε θεωρητικά τα ηλεκτρικά και τα μαγνητικά φαινόμενα. Σαράντα χρόνια αργότερα, η ηλεκτροδυναμική απετέλεσε οργανικό μέρος της ηλεκτρομαγνητικής θεωρίας πεδίου του Maxwell.
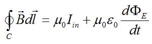
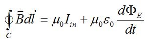
Επιπλέον ο νόμος του Ampère, έδωσε την θέση του στο νόμο Ampère – Maxwell (4η εξίσωση Maxwell), που μας λέει ότι στο μαγνητικό πεδίο συνεισφέρει – πέρα από το ηλεκτρικό ρεύμα – και το μεταβαλλόμενο ηλεκτρικό πεδίο:
Διαβάστε περισσότερα ΕΔΩ: André Marie Ampère
Κατηγορίες:ΗΛΕΚΤΡΟΜΑΓΝΗΤΙΣΜΟΣ
Είναι αξιοσημείωτη η ιστορία της διατύπωσης του νόμου δύναμης μεταξύ ρευμάτων. Ο Αμπέρ έμαθε το Σεπτέμβριο του 1820 για την ανακάλυψη του Έρστετ και, παρότι μαθηματικός, σχεδίασε και εκτέλεσε 4 πειράματα για να βρει τη μορφή του νόμου μεταξύ στοιχειωδών ρευμάτων. Κατά τη διατύπωση του νόμου έκανε την υπόθεση ότι οι δυνάμεις μεταξύ στοιχειωδών ρευμάτων ακολουθούν τον 3ο νόμο του Νεύτωνα υπό την ισχυρή μορφή (δύναμη και αντίδραση στον ίδιο φορέα). Ένα μήνα αργότερα οι Biot και Savart διατύπωσαν έναν ΑΛΛΟ νόμο μεταξύ στοιχειωδών ρευμάτων, στον οποίο οι δυνάμεις υπακούουν στον 3ο νόμο του Νεύτωνα υπό την ασθενή μορφή (δύναμη και αντίσταση αντίθετες αλλά όχι στον ίδιο φορέα). Αλλά στη φύση δεν υπάρχουν στοιχειώδη ρεύματα, υπάρχουν πάντα κυκλώματα. Η διπλή ολοκλήρωση κατά μήκος των κλειστών ρευμάτων και στις δύο περιπτώσεις δίνει το ίδιο αποτέλεσμα. Πρόκειται για τον ίδιο νόμο! Όμως η μορφή των Biot και Savart ταιριάζει πιο πολύ με την έννοια του πεδίου, και γι’ αυτόν το λόγο τη χρησιμοποιούμε σήμερα, ενώ η μορφή του Αμπέρ έχει ξεχαστεί.
Στο βιβλίο μου «Ιστορία και εξέλιξη των ιδεών στη Φυσική» μπορείτε να βρείτε περισσότερα στοιχεία.
Είναι γνωστό ότι ο ηλεκτρομαγνητισμός έπαψε εδώ και χρόνια να διδάσκεται στα σχολεία της μέσης εκπαίδευσης και οι πρωτοετείς φοιτητές των θετικών επιστημών αγνοούν τα ονόματα των Oersted, Biot, Savart, ενώ τον Αmpere τον γνωρίζουν ως μονάδα μέτρησης της έντασης του ηλεκτρικού ρεύματος. Γιαυτό πήρα την πρωτοβουλία να αναρτήσω ένα απόσπασμα από το βιβλίο σας, σχετικά με τα ΄πρώτα ηλεκτρομαγνητικά πειράματα εδώ: https://physicsgg.me/2017/01/21/%cf%84%ce%b1-%cf%80%cf%81%cf%8e%cf%84%ce%b1-%ce%b7%ce%bb%ce%b5%ce%ba%cf%84%cf%81%ce%bf%ce%bc%ce%b1%ce%b3%ce%bd%ce%b7%cf%84%ce%b9%ce%ba%ce%ac-%cf%80%ce%b5%ce%b9%cf%81%ce%ac%ce%bc%ce%b1%cf%84%ce%b1/
Έξοχη η ανάρτηση,
Ευχαριστούμε πολύ!
Δυστυχώς θα αργήσουμε να δούμε νέα ύλη και πραγματικά νέα βιβλία στο Λύκειο για τη Φυσική.
Τα ήδη χρησιμοποιούμενα κλείνουν 18 χρόνια (1999) και δυστυχώς οι τελευταίες εκδόσεις τους είναι κοπτοραπτική με βιβλία που ανήκαν στο Πολλαπλό βιβλίο που εφαρμόστηκε από τη μεταρρύθμιση του μακαρίτη Γεράσιμου Αρσένη.
Ειδικά στη Β Λυκείου είναι εξόφθαλμη η διαδικασία copy-paste αφού αναγράφονται(καλώς και δεν αποσιωπούνται) όλες οι συγγραφικές ομάδες από τις οποίες προέρχονται τα διάφορα κεφάλαια.
Φυσική Β Γενικής Παιδείας νέο
Κάνε κλικ για να αποκτήσεις πρόσβαση 53fc8b9a99qw.pdf
Φυσική Β Θετικού Προσανατολισμού (νέο):
Κάνε κλικ για να αποκτήσεις πρόσβαση 53fc8cb8hx6n.pdf