Ξέρουμε πως αν έχουμε έναν ραβδόμορφο μαγνήτη και τον κόψουμε στα δυο, τότε θα δημιουργηθούν δυο μικρότεροι μαγνήτες.

Αν στη συνέχεια κόβουμε στη μέση τους μαγνήτες που προκύπτουν, θα παρατηρήσουμε πως θα εμφανίζονται πάντα νέοι μικρότεροι μαγνήτες και ότι είναι αδύνατον να απομονώσουμε έναν βόρειο ή νότιο πόλο. Και όταν φτάσουμε στα άτομα τότε το μαγνητικό πεδίο θα οφείλεται στην κίνηση των ηλεκτρικών φορτίων και στο σπιν των σωματιδίων.
Σκέτους βόρειους ή νότιους πόλους, ή αλλιώς μαγνητικά μονόπολα, δεν πρόκειται να βρούμε με την μέθοδο του τεμαχισμού. Επιπλέον αν πιστεύουμε στις κλασικές εξισώσεις του Maxwell, τότε σίγουρα δεν υπάρχουν μονόπολα.
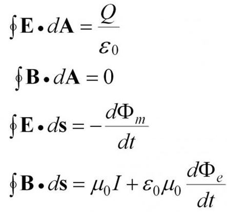
Σύμφωνα με την πρώτη εξίσωση του Maxwell, η οποία εκφράζει τον νόμο του Gauss για το ηλεκτρικό πεδίο, η ηλεκτρική ροή που διέρχεται μέσα από μια οποιαδήποτε κλειστή επιφάνεια είναι ανάλογη με το ηλεκτρικό φορτίο Q που περιέχεται μέσα σ’ αυτή.
Αντίθετα, κάτι παρόμοιο δεν ισχύει με την δεύτερη εξίσωση του Maxwell που εκφράζει τον νόμο του Gauss για το μαγνητικό πεδίο. Εδώ βλέπουμε ότι η μαγνητική ροή που διέρχεται μέσα από μια οποιαδήποτε κλειστή επιφάνεια είναι ίση μηδέν. Αυτό σημαίνει ότι δεν υπάρχουν «μαγνητικά» φορτία ή μαγνητικά μονόπολα, σύμφωνα πάντα με την κλασική θεωρία του ηλεκτρομαγνητισμού.
Αυτή η ασυμμετρία μεταξύ ηλεκτρισμού και μαγνητισμού θα μπορούσε να διορθωθεί, αν με κάποιο τρόπο μπορούσε να υπάρξει ένα απομονωμένο «μαγνητικό φορτίο», ένας σκέτος «βόρειος πόλος».
Ο Paul Dirac το 1931 συνδυάζοντας τον ηλεκτρομαγνητισμό με την κβαντομηχανική, εισάγει το μαγνητικό μονόπολο, [P. A . M. Dirac, Proc. R. Soc. London 133 (1931) 60 και Phys. Rev. 74 (1948) 817] αποδεικνύοντας ότι η ύπαρξη έστω και ενός μόνο μαγνητικού μονοπόλου όχι μόνο αποκαθιστούσε την πλήρη συμμετρία στις εξισώσεις του Maxwell, αλλά ταυτόχρονα απαντούσε και στο θεμελιώδες ερώτημα:
«γιατί το ηλεκτρικό φορτίο εμφανίζεται (ελεύθερο) ως ακέραιο πολλαπλάσιο ενός στοιχειώδους φορτίου;»
Ερμήνευε με λίγα λόγια την κβάντωση του ηλεκτρικού φορτίου.
Έτσι η ύπαρξη των μαγνητικών μονοπόλων (τα οποία δεν παρατηρήθηκαν ποτέ) θα μπορούσαν να εξηγήσουν την κβάντωση του ηλεκτρικού φορτίου (η οποία βεβαίως είχε παρατηρηθεί).
Ο Dirac απέδειξε την βασική σχέση μεταξύ στοιχειώδους ηλεκτρικού φορτίου e και μαγνητικού φορτίου g:
όπου n ακέραιος (n=1,2, …).
(Γοητευμένος από την κομψότητα της πρότασής του για τα μαγνητικά μονόπολα, ο Dirac έγραφε στην πρώτη από τις προαναφερθείσες δημοσιεύσεις: «Under these circumstances one would be surprised if Nature had made no use of it«)
Μπορούμε να αποδείξουμε την εξίσωση του Dirac ακολουθώντας έναν διαφορετικό δρόμο, χρησιμοποιώντας απλή φυσική και μπαίνοντας λιγάκι στα χωράφια της υπεραγωγιμότητας , αποφεύγοντας όμως τα δύσκολα μαθηματικά και τις προχωρημένες έννοιες της κβαντικής φυσικής που χρησιμοποίησε ο Dirac.
Ας υποθέσουμε λοιπόν ότι υπάρχει ένα μαγνητικό μονόπολο που αντιστοιχεί σε μαγνητική ποσότητα ή μαγνητικό φορτίο g.
Oι ιδιότητες του μαγνητικού πεδίου που δημιουργεί το μαγνητικό μονόπολο θα είναι ανάλογες με τις ιδιότητες του ηλεκτρικού πεδίου που δημιουργεί ένα σημειακό φορτίο q.
Συνεπώς, δεδομένου ότι η ένταση του ηλεκτρικού πεδίου που δημιουργεί ένα σημειακό φορτίο υπολογίζεται από την εξίσωση:
ανάλογη εξίσωση θα περιγράφει την ένταση του μαγνητικού πεδίου που δημιουργεί ένα σημειακό μαγνητικό μονόπολο με μαγνητικό φορτίο g:
Tώρα, αν διαθέτουμε έναν υπεραγώγιμο βρόχο (το ηλεκτρικό ρεύμα ρέει εκεί χωρίς καμία απολύτως αντίσταση) και το μαγνητικό μας μονόπολο περάσει μέσα από αυτόν, τότε η μεταβολή της μαγνητικής ροής θα δημιουργήσει ένα μόνιμο ηλεκτρικό ρεύμα στον βρόχο.
Στην απλή αυτή παρατήρηση βασίστηκαν πολλά πειράματα που σκοπό είχαν την ανίχνευση μαγνητικών μονοπόλων.
Διαβάστε για το μοναδικό μαγνητικό μονόπολο που ανιχνεύθηκε μέχρι σήμερα από τον Blas Cabrera: «Το μαγνητικό μονόπολο του Αγίου Βαλεντίνου«
Καθώς το μονόπολο πλησιάζει τον βρόχο, η μεταβολή της μαγνητική ροής θα επάγει ένα ηλεκτρικό ρεύμα, του οποίου το μαγνητικό πεδίο Β θα «αντιστέκεται» στο πλησίασμα του μονοπόλου. Όταν τελικά το μονόπολο εξέλθει από τον βρόχο το επαγωγικό ρεύμα θα συνεχίσει να έχει την ίδια φορά, έτσι ώστε να δημιουργεί ένα μαγνητικό πεδίο που θα αντικαθιστά το ελαττούμενο μαγνητικό πεδίο του μονοπόλου.
Η συνολική μαγνητική ροή που διέρχεται μέσα από τον κυκλικό βρόχο είναι στην ουσία ίδια με την μαγνητική ροή που διασχίζει μια σφαιρική επιφάνεια που περιέχει το μαγνητικό μονόπολο g:
(1)
To 1961 ανακαλύφθηκε πειραματικά ότι η μαγνητική ροή που διέρχεται δια μέσου ενός υπεραγώγιμου ρευματοφόρου βρόχου είναι κβαντωμένη, που σημαίνει πως οι τιμές που παίρνει είναι ακέραια πολλαπλάσια μιας πεπερασμένης στοιχειώδους μαγνητικής ροής, το κβάντο μαγνητικής ροής.
[βλέπε Bascom S. Deaver, Jr. και William M. Fairbank: «Experimental Evidence for Quantized Flux in Superconducting Cylinders» και ανεξάρτητα από αυτούς οι R. Doll και M. Näbauer: «Experimental Proof of Magnetic Flux Quantization in a Superconducting Ring»]
Η διέλευση του μονοπόλου διαμέσου ενός υπεραγώγιμου βρόχου δημιουργεί μόνιμο ηλεκτρικό ρεύμα στον βρόχο. Εφόσον η κβαντωμένη μαγνητική ροή διαμέσου του βρόχου εξαρτάται από το εν λόγω ρεύμα, το οποίο με τη σειρά του εξαρτάται από την κίνηση των ηλεκτρονίων, τότε τα ηλεκτρόνια πρέπει να βρίσκονται σε διακριτές ενεργειακές στάθμες. Αυτό θυμίζει το άτομο του υδρογόνου και την αρχή του Bohr, σύμφωνα με την οποία ένα ηλεκτρόνιο που κινείται σε κυκλική τροχιά ακτίνας r πρέπει να ικανοποιεί την σχέση:
όπου n ακέραιος (n=1,2, …)
Στην περίπτωση του υπεραγώγιμου βρόχου μπορούμε να θεωρήσουμε ότι τα ηλεκτρόνια κινούνται σε κυκλική τροχιά μέσα σε ένα ομογενές μαγνητικό πεδίο B εξαιτίας της δύναμης Lorentz που παίζει τον ρόλο της κεντρομόλου επιτάχυνσης:
Από τις δυο τελευταίες εξισώσεις προκύπτει ότι:
και η μαγνητική ροή διαμέσου του βρόχου θα είναι:
(2)
Συνεπώς η μαγνητική ροή που διέρχεται μέσα από έναν ρευματοφόρο βρόχο είναι κβαντωμένη. Το κβάντο της ροής είναι πολύ μικρό, περίπου 2•10-15 Τ•m2.
Kανονικά, η κβάντωση αυτή δεν θα ήταν παρατηρήσιμη σε ένα μακροσκοπικό σύστημα – δηλαδή δεν πρέπει να αντιμετωπίζονται κβαντομηχανικά όλα τα ηλεκτρόνια που εκτελούν ομαλή κυκλική κίνηση. Οι υπεραγωγοί όμως είναι ένα σπάνιο είδος υλικών στα οποία οι κβαντομηχανικές παραξενιές εκδηλώνονται σε μακροσκοπική κλίμακα. Η διέλευση ενός μονοπόλου μέσα από έναν βρόχο θα είχε ως αποτέλεσμα να υπάρχει μέσα στο βρόχο μαγνητική ροή δυο κβάντων ροής.
Συνδυάζοντας τις εξισώσεις (1) και (2) παίρνουμε:
που δεν είναι τίποτε άλλο παρά η περίφημη συνθήκη κβάντωσης του Dirac για το μαγνητικό φορτίο του μονοπόλου, αλλά σε μονάδες S.I.
Ο Dirac κατέληξε στην εξίσωση αυτή το 1931. Σύμφωνα μ’ αυτή αν στο σύμπαν υπάρχει τουλάχιστον ένα μαγνητικό μονόπολο με μαγνητικό φορτίο g τότε το ηλεκτρικό φορτίο πρέπει αναγκαστικά να είναι κβαντωμένο – ακέραιο πολλαπλάσιο του φορτίου του στοιχειώδους φορτίου του ηλεκτρονίου.
ΠΗΓΕΣ: Διαδίκτυο και το άρθρο του John Wylie, «Μαγνητικό μονοπώλιο», περιοδικό QUANTUM, Ιούλιος/Αύγουστος 1995, εκδόσεις Κάτοπτρο
Κατηγορίες:ΗΛΕΚΤΡΟΜΑΓΝΗΤΙΣΜΟΣ, ΚΒΑΝΤΙΚΗ ΘΕΩΡΙΑ
Σχολιάστε