Ήταν 14 Φεβρουαρίου του 1982 (ανήμερα του Αγίου Βαλεντίνου !) , περίπου στις 2 μ.μ., όταν η πειραματική διάταξη που έστησε ο νεαρός πειραματικός φυσικός Blas Cabrera στο υπόγειο εργαστήριο του Stanford, κατέγραφε την διέλευση ενός μαγνητικού μονοπόλου.

Tο σήμα (b) που καταγράφηκε 14 Φεβρουαρίου 1982 στις 2 μ.μ. (14) και θα μπορούσε να οφείλεται σε μαγνητικό μονόπολο.
H πρώτη πιθανή καταγραφή μαγνητικού μονοπόλου από τον Blas Cabrera, δημοσιεύθηκε στο επιστημονικό περιοδικό Physical Review Letters με τίτλο, «First Results from a Superconductive Detector for Moving Magnetic Monopoles», Phys. Rev. Lett. 48, 1378–1381 (1982)
και ταυτόχρονα το γεγονός πήρε μεγάλη δημοσιότητα.

Η αναμενόμενη μορφή του επαγόμενου ηλεκτρικού ρεύματος που θα δημιουργούσε η διέλευση ενός μαγνητικού μονοπόλου από τον άξονα ενός υπεραγώγιμου δακτυλίου της πειραματικής διάταξης του Cabrera (κάντε την σύγκριση με το προηγούμενο σχήμα)
Δυστυχώς όμως μετά από αυτή την ανίχνευση του μαγνητικού μονοπόλου του Αγίου Βαλεντίνου, η συσκευή του Cabrera (αλλά και άλλες πειραματικές διατάξεις άλλων ερευνητών) δεν κατέγραψαν κάποιο παρόμοιο σήμα.
Ακριβώς ένα χρόνο μετά την καταγραφή αυτού του μοναδικού μαγνητικού μονοπόλου, ημέρα του Αγίου Βαλεντίνου ξανά, ο θεωρητικός φυσικός Sheldon Lee Glashow έστειλε στον Cabrera το εξής τηλεγράφημα:
«Roses are red violets are blue,
The time has come for Monopole II»
Μέχρι σήμερα δεν έχει δοθεί καμιά εξήγηση για το συμβάν της 14 Φεβρουαρίου του 1982, που ίσως να ήταν το αποτέλεσμα ενός απίθανου συνδυασμού πηγών θορύβου υποβάθρου.
Γιατί να υπάρχουν μαγνητικά μονόπολα;
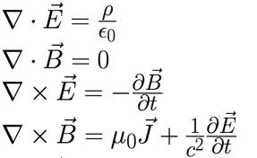
Aπό την εποχή που ο Maxwell ανέπτυξε για πρώτη φορά τις διάσημες 4 εξισώσεις που διέπουν την συμπεριφορά των ηλεκτρικών φορτίων, ρευμάτων, μαγνητών και ηλεκτρομαγνητικών κυμάτων, οι φυσικοί διέγνωσαν μια αξιοσημείωτη ασυμμετρία στον ηλεκτρομαγνητισμό.
Τα ηλεκτρικά φορτία δρουν ως πηγή ηλεκτρικών πεδίων. Τι δρα ως πηγή μαγνητικών πεδίων;
Η πηγή δεν είναι «μαγνητικά φορτία», αλλά τα ηλεκτρικά ρεύματα.
Μια συνέπεια των εξισώσεων του Maxwell είναι ότι δεν υπάρχουν στη φύση στοιχειώδη μαγνητικά φορτία.
Αν θεωρήσουμε έναν μαγνήτη με βόρειο και νότιο πόλο, και τον κόψουμε στα δυο, δεν πρόκειται να πάρουμε δυο απομονωμένους μαγνητικούς πόλους. Αντιθέτως, θα έχουμε δημιουργήσει δυο μικρότερους μαγνήτες, όπου ο καθένας θα έχει τον δικό του βόρειο και νότιο πόλο.
Η διαδικασία αυτή μπορεί να συνεχιστεί, έως ότου κόψουμε τον μαγνήτη σε όλα τα στοιχειώδη spin του που εμπεριέχουν τα πρωτόνια τα νετρόνια και τα ηλεκτρόνια από τα οποία αποτελείται το υλικό του.
Κάθε spin δρα σαν ένα μικρό μαγνητικό δίπολο, και δεν μπορούμε πλέον να προχωρήσουμε παρακάτω.
Αυτή η ασυμμετρία μεταξύ ηλεκτρισμού και μαγνητισμού θα μπορούσε να διορθωθεί, αν με κάποιο τρόπο μπορούσε να υπάρξει ένα απομονωμένο μαγνητικό φορτίο, ένας σκέτος «βόρειος πόλος».
Ο μεγάλος φυσικός Paul Dirac το 1931 εισάγει το μαγνητικό μονόπολο
[P. A . M. Dirac, Proc. R. Soc. London 133 (1931) 60 και Phys. Rev. 74 (1948) 817 ]
συνδυάζοντας τον ηλεκτρομαγνητισμό με την κβαντομηχανική, δείχνοντας ότι η ύπαρξη ακόμα και ενός μόνο μαγνητικού μονοπόλου όχι μόνο αποκαθιστούσε την πλήρη συμμετρία στις εξισώσεις του Maxwell αλλά εξηγούσε και την κβάντωση του ηλεκτρικού φορτίου – γιατί το ηλεκτρικό φορτίο εμφανίζεται (ελεύθερο) ως ακέραιο πολλαπλάσιο ενός στοιχειώδους φορτίου.
Ο Dirac καθιέρωσε την βασική σχέση μεταξύ στοιχειώδους ηλεκτρικού φορτίου e και μαγνητικού φορτίου g
όπου n ακέραιος (n=1,2, …)
Από την εξίσωση αυτή προκύπτει η σχέση
g = 68,5 e που ονομάζεται μονάδα φορτίου Dirac.
Η ύπαρξη των μαγνητικών φορτίων και των μαγνητικών ρευμάτων κάνουν συμμετρική την μορφή των εξισώσεων του Maxwell, αλλά η συμμετρία που προκύπτει με την εισαγωγή του μαγνητικού φορτίου Dirac δεν είναι τέλεια διότι e≠g. Η συμμετρία μάλλον αποκαθίσταται στις πολύ υψηλές ενέργειες όπου υπάρχει σύγκλιση των δυο τιμών.
Ο Dirac δεν κάνει καμία πρόβλεψη για την μάζα των μαγνητικών μονοπόλων.
Από το 1931, οι πειραματικοί φυσικοί άρχισαν – χωρίς επιτυχία – την αναζήτηση μαγνητικών μονοπόλων, κυρίως στις κοσμικές ακτίνες. Αν η μάζα τους ήταν συγκρίσιμη με π.χ. με την μάζα του ηλεκτρονίου, τότε αν υπήρχαν, η ανίχνευσή τους θα ήταν εύκολη.
Ενώ λοιπόν δεν υπήρχε τίποτε νεώτερο σχετικά με την ανίχνευση μαγνητικών μονοπόλων, στη θεωρητική φυσική η κατάσταση αλλάζει με την διατύπωση των θεωριών βαθμίδας και των Μεγάλων Ενοποιημένων Θεωρίων – GUT (την συντομογραφία GUT, χρησιμοποίησε για πρώτη φορά ο Δημήτρης Νανόπουλος – και έκτοτε καθιερώθηκε στη βιβλιογραφία).
Ο Ολλανδός φυσικός Gerard ‘t Hooft (και ανεξάρτητα από αυτόν ο Alexander Markovich Polyakov)
[G. ’t Hooft, Nucl. Phys. B29 (1974) 276 – A.M. Polyakov, JETP Lett. 20 (1974) 194 ]
έδειξαν ότι οι εξισώσεις που διέπουν τις θεωρίες αυτές, αλλά και κάθε θεωρία ενοποίησης που σε μικρές ενέργειες οδηγεί στο καθιερωμένο πρότυπο, θα πρέπει να περιέχουν υποχρεωτικά μαγνητικά μονόπολα.
Η μάζα αυτών των μονοπόλων ήταν τεράστια σε σχέση με τις μάζες του ηλεκτρονίου ή του πρωτονίου – τουλάχιστον 1016 φορές η μάζα του πρωτονίου ή ~0,001 μικρογραμμάρια (μg).
Όμως πολύ νωρίς φάνηκε ότι τα μονόπολα δημιουργούσαν προβλήματα στα κοσμολογικά πρότυπα. Οι John Preskill και ανεξάρτητα από αυτόν ο Σοβιετικός φυσικός Yakov Borisovich Zel’dovich και οι συνεργάτες του, έδειξαν ότι στο πρώιμο σύμπαν όταν μια συμμετρία των Mεγάλων Θεωριών Ενοποίησης καταρρέει στις διακριτές ισχυρές και «ηλεκτρασθενείς» θεωρίες, αναμένεται μεγάλη παραγωγή μονοπόλων. Το πρόβλημα πλέον δεν ήταν το αν θα υπήρχε ένα μαγνητικό μονόπολο, αλλά το γεγονός ότι θα έπρεπε να είναι υπερβολικά πολλά!
[Zel’dovich, Ya.; Khlopov; M. Yu. Khlopov (1978). «On the concentration of relic monopoles in the universe» ,
Preskill, John (1979): «Cosmological production of superheavy magnetic monopoles«]
Το γεγονός όμως ότι μέχρι τότε δεν είχε παρατηρηθεί ούτε ένα μαγνητικό μονόπολο δημιουργούσε τεράστια προβλήματα στις Μεγάλες Ενοποιημένες Θεωρίες.
Με το πρόβλημα αυτό καταπιάστηκαν στις αρχές Μαΐου του 1979 οι Henry Tye και Alan Guth, που ενημερώθηκαν από τον ίδιο τον John Preskill – μεταπτυχιακός φοιτητής τότε στο Cornell.
Το συμπέρασμα του Preskill, o οποίος είχε προσαρμόσει τη μέθοδο του Zel’dovich στα μονόπολα των GUT, ήταν ότι ο αριθμός των μονόπολων από την Μεγάλη Έκρηξη είναι περίπου ίσος με τον αριθμός των νετρονίων και των πρωτονίων. Ο Preskill υποστήριζε ότι το σύμπαν δεν ήταν δυνατόν να περιέχει τόσα πολλά μονόπολα.
Δεδομένου ότι η μάζα του κάθε μονοπόλου είναι 1016 φορές η μάζα του πρωτονίου, τότε η βαρυτική τους έλξη θα ήταν τόσο μεγάλη που θα επιβράδυνε υπερβολικά την διαστολή του σύμπαντος. Εάν υπήρχαν τόσα πολλά μονόπολα τότε η ηλικία του σύμπαντος δεν θα ξεπερνούσε τα 1200 χρόνια!
Για να προκύπτει μια παραδεκτή ηλικία του σύμπαντος μεταξύ 10 και 20 δισεκατομμύρια χρόνια θα έπρεπε η αφθονία των μαγνητικών μονόπολων να είναι 1014 φορές μικρότερη.
Mε το άρθρο του Preskill γίνεται για πρώτη φορά γνωστό το πρόβλημα των μαγνητικών μονόπολων – το γεγονός ότι οι GUT οδηγούν σε υπερβολική παραγωγή μαγνητικών μονόπολων στο πρώιμο σύμπαν.
Το πρόβλημα αυτό παρακίνησε τον Alan Guth να προβληματιστεί σχετικά με τις Μεγάλες Ενοποιημένες Θεωρίες και την κοσμολογία με τελικό αποτέλεσμα την θεωρία του πληθωριστικού σύμπαντος.
Εκτός από τα άλλα προβλήματα (ομοιογένεια, επιπεδότητα του σύμπαντος) που λύνει η θεωρία του πληθωρισμού, ξεφορτώνεται τα μονόπολα. Αν, η μεταβολή φάσης των θεωριών GUT, κατά την οποία παράγονται μονόπολα, είναι ίδια με εκείνη που οδηγεί στον πληθωρισμό, τότε η θεωρία του Alan Guth εξασφαλίζει, μέσω του πληθωρισμού όλων των μονόπολων στο σύμπαν έξω από τον σημερινό μας ορίζοντα, ότι στο ορατό σύμπαν σήμερα θα έχει απομείνει το πολύ ένα μονόπολο.
Ίσως να ήταν αυτό που ανίχνευσε ο Cabrera. Το μαγνητικό μονόπολο του Αγίου Βαλεντίνου !
Ωστόσο, η θεωρία του πληθωρισμού δεν αποκλείει την ύπαρξη περισσότερων μονοπόλων. Είναι, πιθανό ο πληθωρισμός να πραγματοποιήθηκε πριν την μετατροπή φάσης κατά την οποία είχαν παραχθεί τα μονόπολα. Διάφορα μοντέλα μετατροπών φάσεων σε μικρότερες ενέργειες δίνουν αποδεκτά επίπεδα παραγωγής μονόπολων, έτσι ώστε οι πειραματικοί φυσικοί να συνεχίζουν ακόμα και σήμερα την αναζήτησή τους.
Ο LHC ψάχνει για μαγνητικά μονόπολα
Ένα τελευταίο πείραμα που σχεδιάζεται στον Μεγάλο Επιταχυντή Αδρονίων (LHC) στο CERN και έχει ως στόχο την ανίχνευση μαγνητικών μονοπόλων, ονομάζεται MoEDAL (Monopole and Exotics Detector at the LHC)
Τα πρώτα αποτελέσματα αναμένονται με την επαναλειτουργία του επιταχυντή μέσα στο 2014, όπου μετά τις εργασίες συντήρησης και αναβάθμισης αναμένεται να φτάσει σε ενέργειες της τάξης των 14 TeV.
Το βίντεο που ακολουθεί περιγράφει το πείραμα MoEDAL στον LHC
ΠΗΓΕΣ: wikipedia.org
Lawrence Krauss, «Σκοτεινή Ύλη», 2000, εκδόσεις Τραυλός
Alan H. Guth, «Το Πληθωριστικό Σύμπαν», 1997, εκδόσεις Γκοβόστη
Κατηγορίες:ΚΟΣΜΟΛΟΓΙΑ, ΣΤΟΙΧΕΙΩΔΗ ΣΩΜΑΤΙΑ, LHC
Ενδιαφέρον…