(νεώτερη ενημέρωση 22 – 9 -2012)
Σύμφωνα με το Reuters oι ερευνητές Charles Bennett (ΙΒΜ), Gilles Brassard (Πανεπιστήμιο του Μόντρεαλ) και William Wootters (Williams College Μασαχουσέτης) θεωρούνται φαβορί για το βραβείο Νόμπελ Φυσικής 2012, λόγω της πρωτοποριακής τους έρευνας σχετικά με τα πρωτόκολλα της κβαντικής τηλεμεταφοράς.
Άραγε η σκηνή τηλεμεταφοράς που βλέπουμε στο παραπάνω βίντεο, από την σειρά επιστημονικής φαντασίας Star Trek, είναι δυνατόν να γίνει πραγματικότητα;
Μάλλον ναι, θα απαντούσε κανείς, αν διάβαζε τους τίτλους και μόνο των πρόσφατων δημοσιεύσεων από δυο ανεξάρτητες επιστημονικές ομάδες, σχετικών με την πραγματοποίηση της κβαντικής τηλεμεταφοράς.
Στην πρώτη εργασία, πριν από τρεις μήνες, με τίτλο «Experimental free-space quantum teleportation» οι ερευνητές Xian-Min Jin et al, ανακοίνωσαν πως κατάφεραν τηλεμεταφορά σε απόσταση 97 χιλιομέτρων και στη δεύτερη εργασία, που δημοσιεύθηκε οκτώ ημέρες μετά, με τίτλο «Quantum teleportation using active feed-forward between two Canary Islands», οι ερευνητές Xiao-song Ma et al, περιγράφουν την επίτευξη τηλεμεταφοράς σε απόσταση 143 χιλιομέτρων, μεταξύ των Καναρίων νησιών Λα Πάλμα και Τενερίφη.

Οι ερευνητές Xiao-song Ma et al, ανακοίνωσαν την επίτευξη τηλεμεταφοράς σε απόσταση 143 χιλιομέτρων, μεταξύ των Καναρίων νησιών Λα Πάλμα και Τενερίφη
=====> νεώτερη ενημέρωση 5/9/2012: το άρθρο των ερευνητών Xiao-song Ma et al έγινε αποδεκτό στο περιοδικό (με κριτές) Νature. Έτσι «επισημοποιείται» το ρεκόρ τηλεμεταφοράς σε απόσταση 143 χιλιομέτρων !
Καλό είναι να ξεκαθαρίσουμε τι εννοούμε όταν μιλάμε για τηλεμεταφορά ή για κβαντική τηλεμεταφορά (δεδομένου ότι ο κόσμος που ζούμε είναι κβαντικός). Καταρχήν σημειώνουμε ότι είναι αδύνατον να αντιγράψουμε μια κβαντική κατάσταση χωρίς να την αφήσουμε αμετάβλητη. Η αντιγραφή απαγορεύεται από το λεγόμενο «θεώρημα της μη κλωνοποίησης». Διότι αν μπορούσαμε να αντιγράψουμε π.χ. την κβαντική κατάσταση του σπιν ενός ηλεκτρονίου, τότε επαναλαμβάνοντας πάρα πολλές φορές την διαδικασία της αντιγραφής, θα δημιουργούσαμε ένα σύστημα που θα είχε αρκετή στροφορμή ώστε να μετρηθεί με μακροσκοπικά. Αυτό έρχεται σε αντίθεση με την βασική αρχή της κβαντικής μέτρησης που αποκλείει την απόκτηση πληροφορίας για ένα κβαντικό σύστημα χωρίς την καταστροφή της κατάστασής του.
Μήπως εφόσον απαγορεύεται η κβαντική αντιγραφή, η κβαντική τηλεμεταφορά είναι αδύνατη; Η απάντηση στο ερώτημα αυτό είναι η εξής: είναι δυνατό να αντιγράψουμε μια κβαντική κατάσταση μόνο αν είμαστε διατεθειμένοι να την καταστρέψουμε.
Το απλούστερο μοντέλο κβαντικής τηλεμεταφοράς
Μπορεί να ακούγεται περίεργο αλλά η έρευνα σχετικά με την κβαντική τηλεμεταφορά σχετίζεται άμεσα με τους κβαντικούς υπολογιστές.
Ποια είναι η θεμελιώδης διαφορά μεταξύ κλασικού υπολογιστή και κβαντικού υπολογιστή;
Στους γνωστούς υπολογιστές η βασική μονάδα εγγραφής και επεξεργασίας της πληροφορίας στο δυαδικό σύστημα – με τα γνωστά ψηφία 0 και 1 για τα οποία χρησιμοποιείται ο όρος bit (binary digit) ή στην ελληνική σύντμηση δυφίο – είναι ένα κλασικό αντικείμενο, π.χ. μια μαγνητική ψηφίδα μνήμης.
Στους κβαντικούς υπολογιστές η βασική μονάδα εγγραφής είναι ένα κβαντικό σύστημα. Για παράδειγμα ένα άτομο υδρογόνου στη θεμελιώδη κατάσταση, όπου το μηδέν αντιπροσωπεύεται από την ηλεκτρονιακή κατάσταση με σπιν πάνω και το ένα από την κατάσταση με σπιν κάτω.
Η κατάσταση με σπιν πάνω συμβολίζεται με |0> και η κατάσταση με σπιν κάτω με |1˃. Όμως επειδή το άτομο είναι ένα κβαντικό σύστημα, εκτός από τις παραπάνω δυο καταστάσεις |0> και |1>, θα είναι επίσης μια πραγματοποιήσιμη κατάσταση και κάθε γραμμικός συνδυασμός της μορφής|ψ> = α |0> + β |1>
όπου α2+ β2=1
Και εδώ βρίσκεται η πηγή της θεμελιώδους διαφοράς μεταξύ ενός κλασικού και ενός κβαντικού υπολογιστή. Ότι στους κβαντικούς υπολογιστές η βασική μονάδα μνήμης μπορεί να βρίσκεται όχι μόνο στις καταστάσεις 0 και 1 αλλά και σε κάθε δυνατή επαλληλία.
Έτσι στην περίπτωση των κβαντικών υπολογιστών μιλάμε για qubit (quantum bit) ή στην ελληνική απόδοση κβαντοδυφίο
Διαβάστε περισσότερα ΕΔΩ
Η κβαντική τηλεμεταφορά βασίζεται στο φαινόμενο της κβαντικής σύμπλεξης (entanglement), ένα κβαντικό φαινόμενο που έγινε γνωστό, από το πείραμα σκέψης που πρότειναν οι Einstein-Podolsky-Rosen (ή παράδοξο EPR).
Στην απλούστερη περίπτωση το πρόβλημα της κβαντικής τηλεμεταφοράς τίθεται ως εξής:
Μας δίνονται τρία qubits – για παράδειγμα, τα σωματίδια #1, #2 που σύμφωνα με την «παράδοση» θεωρούμε ότι ελέγχονται από την φυσικό Alice και το σωματίδιο #3 που ελέγχεται από τον φυσικό Bob. Τα σωματίδια θα μπορούσαν να έχουν ως μόνο βαθμό ελευθερίας τον προσανατολισμό του σπιν τους. Σπιν πάνω που συμβολίζεται με |0> και σπιν κάτω με το διάνυσμα |1>.
Υποθέτουμε ότι το πρώτο qubit – δηλαδή το πρώτο σωματίδιο #1 που συνήθως ανήκει στην φυσικό Alice – βρίσκεται στην κατάσταση
α |0> + β |1>
και θέλουμε η κατάσταση αυτή να μεταφερθεί στο τρίτο σωματίδιο #3 (που ανήκει στον φυσικό Bob) χωρίς βέβαια την φυσική αντιμετάθεση των δυο σωματιδίων.
Αυτό που θέλουμε είναι να μεταφερθεί η κατάσταση και όχι το σωματίδιο που την φέρει.
Το σωματίδιο δέκτης #3 δεν μας είναι καν προσβάσιμο. Είναι κλεισμένο «κάπου» και αν οι τεχνικές συνθήκες του «πειράματος» το επιτρέπουν μπορεί να θεωρηθεί επίσης πολύ απομακρυσμένο από τα άλλα δυο. Η επιδιωκόμενη μεταφορά θα πρέπει να επιτευχθεί μόνο με κβαντομηχανικούς χειρισμούς (μοναδιαίοι μετασχηματισμοί + μέτρηση) πάνω στα δυο πρώτα σωματίδια (#1 και #2) του συστήματος. Να επιτευχθεί δηλαδή μόνο με τηλεχειρισμούς, έτσι ώστε να είναι μια τηλεμεταφορά.
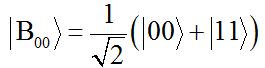
Αυτό όμως απαιτεί μια καίρια αρχική συνθήκη. Το σωματίδιο #3 να έχει τεθεί εξαρχής, σε μια κατάσταση σύμπλεξης με το σωματίδιο #2, ώστε να υπάρχει καταρχήν η δυνατότητα να μπορεί να επηρεαστεί η κατάστασή του με τους τηλεχειρισμούς. Δηλαδή, με κβαντομηχανικές «δράσεις» πάνω στα σωματίδια #1 και #2. Η απλούστερη τέτοια σύμπλεξη περιγράφεται από την κατάσταση Bell, |B00>

ενώ για την κατάσταση και των τριών σωματιδίων μαζί θα έχουμε

όπου |φ0> = α |0> +β |1> η δοθείσα – αλλά άγνωστη – κατάσταση του πρώτου σωματιδίου

Αρχικά το σωματίδιο #1 (που διαθέτει η Alice) βρίσκεται στην (άγνωστη) κατάσταση επαλληλίας |φ0> = α |0> +β |1>, ενώ τα σωματίδια #2 και #3 (που διαθέτουν η Alice και ο Bob αντίστοιχα) βρίσκονται σε σύμπλεκτη κατάσταση . Το ζητούμενο είναι η Alice να μεταφέρει την κατάσταση του σωματιδίου #1 στο σωματίδιο #3 του Bob, με χειρισμούς μόνο πάνω στα δυο πρώτα σωματίδια. Το σωματίδιο #3 θεωρείται μη προσβάσιμο είτε επειδή είναι «κλεισμένο» κάπου είτε επειδή έχει απομακρυνθεί πολύ από τα άλλα στο βαθμό που αυτό είναι εφικτό χωρίς να καταστραφεί η σύμπλεξή του με το σωματίδιο #2
Αφού τo σωματίδιο #1 δεν βρίσκεται σε σύμπλεξη με κανένα από τα άλλα δύο σωματίδια, οποιαδήποτε δράση πάνω σ’ αυτό δεν θα έχει καμιά επίδραση στα άλλα δυο. Επομένως, για να επιτευχθεί η μεταφορά της κατάστασης του σωματιδίου #1 στο σωματίδιο #3, απαιτείται η σύμπλεξή του με το γειτονικό του σωματίδιο #2.
Αρχικά πρέπει να χρησιμοποιηθεί η κβαντική πύλη CNOT.
Η πύλη CNOT χρησιμοποιεί το πρώτο qubit ως qubit ελέγχου (control qubit) και το δεύτερο qubit ως στόχο (target qubit). Όταν το πρώτο qubit είναι στην κατάσταση |0> η πύλη CNOT δεν κάνει τίποτε στο δεύτερο, ενώ αν το πρώτο qubit είναι στην κατάσταση |1> η πύλη CNOT αναστρέφει το δεύτερο. Στη συνέχεια απαιτείται η δράση στο σωματίδιο #1 της κβαντικής πύλης Η (Ηadamard)

Το κβαντομηχανικό κύκλωμα για τη λύση του προβλήματος της τηλεμεταφοράς.
Η αρχική των τριών σωματιδίων συμβολίζεται με |ψ0>. Μετά τη δράση της πύλης CNOT στα σωματίδια #1 και #2 μεταπίπτει στην με |ψ1>, στη συνέχεια μετά τη δράση της πύλης Η στο σωαμτίδιο #1 στην |ψ2>. Μετά τις μετρήσεις που επιτελεί η Alice προκύπτει η κυματοσυνάρτηση |ψ3> και αφού πραγματοποιηθεί η τηλεφωνική επικοινωνία μεταξύ Alice και Bob, και ο Bob δράσει με την κατάλληλη πύλη στο σωματίδιο #3, προκύπτει η κατάσταση |ψ4>.
Ας δούμε την εξέλιξη της κατάστασης των τριών σωματιδίων. Αρχικά ισχύει:
Μετά την δράση της πύλης CNOT η |ψ0> μεταπίπτει στην |ψ1>

και μετά την δράση της πύλης Ηadamard
όπου στην παραπάνω εξίσωση σημειώνονται τα μέρη της κατάστασης |ψ2> που αφορούν το τρίτο σωματίδιο.
Βλέπουμε ότι στο σωματίδιο #3 έχει μεταφερθεί μια κατάσταση επαλληλίας –
όχι μόνο στην |φ0> = α |0> + β |1>, αλλά σε μια παραλλαγή που εξαρτάται από την κατάσταση των δύο πρώτων σωματιδίων.
Διακρίνουμε 4 περιπτώσεις:
1. Η Alice «εκτελεί μετρήσεις» προσδιορίζοντας το σπιν των σωματιδίων #1 και #2. Αν προκύψει ότι η κατάσταση των σωματιδίων #1 και #2 είναι η |00>, τότε το τρίτο σωματίδιο -σύμφωνα με την τελευταία εξίσωση – θα βρίσκεται στην κατάσταση που επιθυμούμε:
α |0> + β |1>
Στην περίπτωση αυτή η Alice τηλεφωνεί στον Bob και του λέει ότι η κατάσταση του σωματιδίου #1 τηλεμεταφέρθηκε στο σωματίδιο #3 και δεν χρειάζεται να κάνει τίποτε!
2. Η Alice βρίσκει ότι η κατάσταση των δυο πρώτων σωματιδίων είναι |01>, τότε η κατάσταση του τρίτου είναι διαφορετική από αυτή που επιθυμούμε:
β |0> + α |1>
Τώρα o Bob, αφού λάβει το τηλεφώνημα της Alice, για να μετασχηματίσει την κατάσταση του σωματιδίου #3 στην επιθυμητή, πρέπει να δράσει σ’ αυτήν με την κβαντική πύλη Χ
Χ(β |0> + α |1>) = α |0> + β |1>
3. Αν η Alice διαπιστώσει ότι η κατάσταση των δυο πρώτων σωματιδίων βρίσκεται στην κατάσταση |10>, η κατάσταση του σωματιδίου #3 θα είναι η:
α |0> – β |1>
Ο Bob τώρα αφού μάθει τα μαντάτα από την Alice, για να πάρει την ζητούμενη κατάσταση αρκεί να δράσει με την κβαντική πύλη Ζ
Ζ(α |0> – β |1>) = α |0> + β |1>
4. Kαι τέλος, αν τα σωματίδια της Alice βρίσκονται στην κατάσταση |11>, τότε το σωματίδιο #3 θα βρίσκεται στην κατάσταση
– β |0> + α |1>
και στην περίπτωση αυτή ο Bob δρώντας διαδοχικά με τις πύλες Ζ και Χ, παίρνει το σωματίδιο #3 στη ζητούμενη κατάσταση.
Βλέπουμε λοιπόν ότι η κβαντική τηλεμεταφορά αναφέρεται στην μεταφορά της κατάστασης ενός σωματιδίου σε ένα άλλο. Είναι δυνατόν να πραγματοποιηθεί εφόσον είμαστε διατεθειμένοι να καταστρέψουμε την κατάσταση του πρώτου. Και η μεταφορά αυτή είναι αδύνατον να γίνει ακαριαία, διότι για να ολοκληρωθεί απαιτείται η επικοινωνία μεταξύ των Alice και Bob, που εκ των πραγμάτων δεν παραβιάζει το όριο της ταχύτητας του φωτός.
Διαβάστε περισσότερα: Στέφανος Τραχανάς, «Κβαντομηχανική ΙΙ» – Umesh Vazirani, «Quantum Mechanics and Quantum Computation»
Κατηγορίες:ΚΒΑΝΤΙΚΗ ΘΕΩΡΙΑ

Αντιγράφω σημερινή είδηση από http://www.skai.gr/news/technology/article/266014/neo-rekor-kvadikis-tilemetaforas-se-apostasi-ano-ton-25-hiliometron-/#ixzz3E30bWTvI:
«Νέο ρεκόρ κβαντικής τηλεμεταφοράς σε απόσταση άνω των 25 χιλιομέτρων
Επιστήμονες στην Ελβετία πέτυχαν ένα νέο παγκόσμιο ρεκόρ κβαντικής τηλεμεταφοράς, καταφέρνοντας να μεταφέρουν την κβαντική κατάσταση ενός φωτονίου (σωματιδίου του φωτός) σε έναν κρύσταλλο ύλης, μέσω μιας οπτικής ίνας, σε απόσταση άνω των 25 χιλιομέτρων.
Το επίτευγμα συντρίβει το προηγούμενο ρεκόρ κβαντικής μεταφοράς σε απόσταση έξι χιλιομέτρων, το οποίο είχε πετύχει το 2003 η ίδια επιστημονική ομάδα του Πανεπιστημίου της Γενεύης, υπό τον καθηγητή φυσικής Νικολά Γκιζίν και τον συνεργάτη του Φελίξ Μπουσιέρ.»
Τελικά πιο είναι το ρεκόρ τηλεμεταφοράς; τα 25 χιλιόμετρα του 2014 http://www.nature.com/nphoton/journal/vaop/ncurrent/full/nphoton.2014.215.html
ή τα 143 χιλιόμετρα του 2012 http://www.nature.com/nature/journal/v489/n7415/full/nature11472.html;