
Ο Bob Beamon αγωνίζεται στο άλμα εις μήκος στις 19 Οκτωβρίου 1968 στους Ολυμπιακούς Αγώνες στο Μεξικό.
Ακόμη και σήμερα υπάρχουν άνθρωποι που υποστηρίζουν ότι το εκπληκτικό άλμα του Μπομπ Μπίμον στα 8,9 μέτρα, στους Ολυμπιακούς Αγώνες του Μεξικό το 1968, οφειλόταν στο υψόμετρο – σχεδόν 2300 μέτρα πάνω από την επιφάνεια της θάλασσας – που βρίσκεται η Πόλη του Μεξικού. Στο υψόμετρο αυτό η δύναμη του βάρους είναι μικρότερη σε σχέση με το βάρος στην επιφάνεια της θάλασσας, όπως και η πυκνότητα του αέρα. Πόσο όμως βοήθησαν οι δυο αυτοί παράγοντες στην επίτευξη αυτού του εξωπραγματικού, για την εποχή εκείνη, παγκοσμίου ρεκόρ στο άλμα εις μήκος; (υπενθυμίζεται ότι το ρεκόρ του Bob Beamon καταρρίφθηκε 23 χρόνια μετά, στο παγκόσμιο πρωτάθλημα στίβου στο Τόκιο το 1991. Αρχικά από τον Carl Lewis με άλμα 8,91 μέτρων και στην συνέχεια από τον Mike Powell που απάντησε με άλμα 8,95 μέτρων!)
Ας δούμε πρώτα την επίδραση της βαρύτητας
Το βάρος B ενός σώματος μάζας m εξαρτάται από το ύψος h από την επιφάνεια της Γης ως εξής:
όπου G σταθερά της παγκόσμιας έλξης, MΓ η μάζα της Γης και RΓ η ακτίνα της Γης.
Στην Πόλη του Μεξικού, που βρίσκεται σε υψόμετρο 2240 μέτρα από την επιφάνεια της θάλασσας – θεωρώντας ότι η ακτίνα της Γης είναι 6000 χιλιόμετρα – το βάρος ενός σώματος σύμφωνα με την παραπάνω εξίσωση μειώνεται κατά 99,925% σε σχέση με το βάρος του στην επιφάνεια της θάλασσας. Αρκεί αυτή η διαφορά για την επίτευξη ενός νέου παγκοσμίου ρεκόρ στο άλμα εις μήκος;
Ίσως θα έπρεπε να συνυπολογίσουμε κι άλλους παράγοντες. Η Γη δεν είναι εντελώς σφαιρική κι ούτε έχει ομοιόμορφη πυκνότητα, όπως προϋποθέτει η εξίσωση του βάρους που χρησιμοποιήσαμε παραπάνω. Επίσης, θάπρεπε να ληφθεί υπόψη και η περιστροφή της Γης. Η φυγόκεντρη δύναμη εξαιτίας της περιστροφής, που μεγαλώνει όσο πλησιάζουμε στον ισημερινό της Γης, πρέπει να αφαιρεθεί από την ελκτική δύναμη της βαρύτητας. Η Πόλη του Μεξικού βρίσκεται 19,5o πάνω από τον ισημερινό και στο ίδιο γεωγραφικό πλάτος στην επιφάνεια της θάλασσας η περιστροφή της Γης θα προκαλούσε ένα φαινόμενο βάρος ίσο με το 99,69% της τιμής του στον Βόρειο Πόλο όπου δεν υπάρχει φυγόκεντρη δύναμη.
Παίρνοντας υπόψη και τους δυο παράγοντες – υψόμετρο και περιστροφή της Γης – τελικά το βάρος ενός σώματος στην Πόλη του Μεξικού μειώνεται κατά 99,92% (σε σχέση με το βάρος του σώματος στην επιφάνεια της θάλασσας στον Βόρειο Πόλο!)
Με άλλα λόγια η μείωση του βάρους δεν κάνει την διαφορά.
Τι γίνεται όμως με την μικρή πυκνότητα του αέρα;
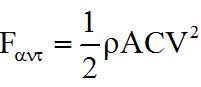
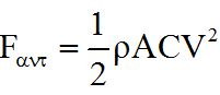
Μια δύναμη που επηρεάζει τον άλτη του μήκους είναι η δύναμη της αντίστασης του αέρα. Η δύναμη αυτή μπορεί να εκτιμηθεί από την εξίσωση
όπου V η ταχύτητα του σώματος, Α και C παράμετροι που εξαρτώνται από το σχήμα και το μέγεθος του σώματος και ρ η πυκνότητα του αέρα.
Η πυκνότητα του αέρα μειώνεται καθώς αυξάνεται το υψόμετρο και η εξάρτησή της από το ύψος είναι δύσκολο να “μοντελοποιηθεί”. Παίζουν ρόλο η πίεση και η θερμοκρασία – δυο μεγέθη που εξαρτώνται από τις καιρικές συνθήκες. Ωστόσο μια προσέγγιση που θα μπορούσε να χρησιμοποιηθεί για την πυκνότητα του αέρα βρίσκεται ΕΔΩ: en.wikipedia.org
Με την προσέγγιση αυτή η πυκνότητα αέρα στην επιφάνεια της θάλασσας υπολογίζεται 1,22 kg/m3 και σε υψόμετρο 2240 μέτρων 0,98 kg/m3.
Μπορεί αυτή η ελάττωση της πυκνότητας να δημιουργήσει ένα παγκόσμιο ρεκόρ στο άλμα εις μήκος;
Η κίνηση ενός σώματος που κινείται μέσα στο αέρα δεν είναι τόσο απλό πρόβλημα. Ένας τρόπος να λυθεί το πρόβλημα να αντληθούν δεδομένα από το βίντεο του άλματος και τα δεδομένα αυτά να χρησιμοποιηθούν στην αριθμητική επίλυση του προβλήματος.
Μελετώντας το άλμα του Bob Beamon, μπορούμε να υπολογίσουμε τον χρόνο πτήσης του αθλητή, το μέγιστο ύψος από την επιφάνεια του εδάφους και την αρχική του ταχύτητα.
Σύμφωνα με τον Rhett Allain στο wired από το βίντεο του άλματος (υποθέτοντας προς στιγμήν ότι δεν υπάρχει αντίσταση αέρα) προκύπτει ότι η οριζόντια συνιστώσα της αρχικής ταχύτητας είναι 10,1 m/s και η κατακόρυφη 4,5 m/s. Κάνοντας στη συνέχεια αριθμητικούς υπολογισμούς κατέληξε σε 3 γραφικές παραστάσεις της κατακόρυφης θέσης συναρτήσει της οριζόντιας θέσης. Αυτές αντιστοιχούν σε 3 διαφορετικές περιπτώσεις, σύμφωνα με το μοντέλο της αριθμητικής προσέγγισης που χρησιμοποίησε.
Η πρώτη (μπλε καμπύλη) αντιστοιχεί σε ένα άλμα στην επιφάνεια της θάλασσας χωρίς αέρα. Η δεύτερη (κόκκινη καμπύλη) αντιστοιχεί σε άλμα στην Πόλη του Μεξικού (υψόμετρο + αέρας) σε άλμα στην επιφάνεια της θάλασσας με αέρα, και η τρίτη (πράσινη καμπύλη) σε άλμα στην Πόλη του Μεξικού (υψόμετρο + αέρας) σε άλμα στην επιφάνεια της θάλασσας με αέρα
Δεν υπάρχει μεγάλη διαφορά, αλλά υπάρχει μια διαφορά.
Το μοντέλο με την αντίσταση του αέρα στο επίπεδο της θάλασσας δίνει ένα άλμα 8,89 μέτρων, ενώ στην Πόλη του Μεξικού (με αέρα) προκύπτει ένα άλμα 8,96 μέτρων. Βλέπουμε δηλαδή μια διαφορά μόνο 7 εκατοστών. Καμία σχέση με την αύξηση του ρεκόρ κατά 55 εκατοστά.
Συνεπώς, το τεράστιο κατόρθωμα του Bob Beamon δεν οφειλόταν, ούτε στην μικρότερη δύναμη της βαρύτητας, ούτε στην μικρότερη πυκνότητα του αέρα στο υψόμετρο της Πόλης του Μεξικού. Μπορούμε να πούμε με καλή ακρίβεια ότι οφειλόταν κατά ~99,9 % στις δυνάμεις του ίδιου του αθλητή και σε λιγότερο από 0,1% στους ευνοϊκούς παράγοντες που δημιουργεί το υψόμετρο.
Το συμπέρασμα αυτό προκύπτει εφαρμόζοντας τους νόμους της Φυσικής. Δεν ξέρω τι συμπέρασμα θα προέκυπτε αν παίρναμε υπόψη και τους νόμους της Χημείας….
ΠΗΓΗ: www.wired.com

Πάρα πολύ καλή προσέγγιση!!!
Πολύ ωραίο!
(*Ένα λαθάκι. Η πράσινη καμπύλη αντιστοιχεί σε άλμα στην επιφάνεια της θάλασσας με αέρα και κόκκινη στην Πόλη του Μεξικού)
σωστά
Τελικά μάλλον είναι η χημεία που κάνει την διαφορά, όπως και σε όλα τα αθλήμτα δυσυχώς.