… η συνέχεια του προβληματισμού που δημιουργήθηκε στα σχόλια της ανάρτησης: Η ενέργεια του φωτονίου και το απλό εκκρεμές
Ένα κύκλωμα L-C αποτελείται από πυκνωτή χωρητικότητας C και πηνίο με συντελεστή αυτεπαγωγής L. Θεωρούμε ότι τo πηνίο και οι αγωγοί δεν έχουν αντίσταση. Φορτίζοντας τον πυκνωτή και κλείνοντας τον διακόπτη Δ, το σύστημα εκτελεί τις συνηθισμένες αμείωτες ηλεκτρικές ταλαντώσεις.
Τι συμβαίνει όμως όταν ταυτόχρονα μεταβάλλεται η χωρητικότητα του πυκνωτή, π.χ. αυξάνοντας την απόσταση ℓ μεταξύ των οπλισμών του;
Έστω ότι ℓ(t)= ℓ0(1 + α t), όπου α>0 και ℓ0 η αρχική απόσταση. Tότε η χωρητικότητα γράφεται:
C(t)=εε0S/ ℓ(t)
ή
C(t)=C0/(1 + α t)
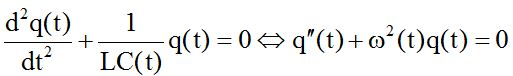
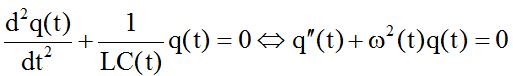
Η εφαρμογή του 2ου κανόνα του Kirchhoff στο κύκλωμα δίνει:
Ldi/dt + q/C =0
Αντικαθιστώντας στην παραπάνω εξίσωση την ένταση του ρεύματος με i=dq/dt, προκύπτει η διαφορική εξίσωση:

όπου
και η διαφορική εξίσωση γράφεται

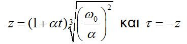
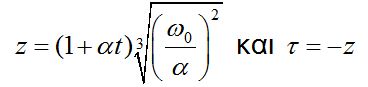
Σκοπός μας είναι να δείξουμε πως αυτή η διαφορική εξίσωση μετασχηματίζεται στην εξίσωση Airy.
Εφαρμόζοντας τον μετασχηματισμό
τότε προκύπτει

Αυτή είναι η περίφημη διαφορική εξίσωση του Airy της οποίας η γενική λύση εκφράζεται διαμέσου των συναρτήσεων Airy, Αi(τ) και Bi(τ).
Αν θεωρήσουμε ότι η απόσταση των οπλισμών του πυκνωτή μεταβάλλεται σύμφωνα με την εξίσωση ℓ(t)= 1 + t και ότι ω0=α=1, τότε χρησιμοποιώντας το πρόγραμμα wolframalpha παίρνουμε τα παρακάτω αποτελέσματα [για αρχικές συνθήκες q(0)=1 και q»(o)=0]


Η γραφική παράσταση του φορτίου και της έντασης του ρεύματος συναρτήσει του χρόνου για αρχικές συνθήκες q(0)=1 και i(0)=0 (αυθαίρετες μονάδες). Ενώ το πλάτος του φορτίου μειώνεται, αντίθετα το πλάτος της έντασης του ρεύματος αυξάνεται.
Το ενδιαφέρον σε τέτοιου είδους ταλαντώσεις (μηχανικές ή ηλεκτρικές) είναι ότι το πηλίκο της ενέργειας του συστήματος προς την συχνότητα (αδιαβατικό αναλλοίωτο -adiabatic invariant)
J(t) = Ε(t) / f(t)
παραμένει σχεδόν σταθερό. Ακόμα και για το παραπάνω αριθμητικό παράδειγμα, στο οποίο θεωρήσαμε μια πολύ γρήγορη μεταβολή στη συχνότητα της ταλάντωσης, διαπιστώνεται ότι το πηλίκο της ενέργειας προς τη συχνότητα αυξάνεται αρχικά κατά 7% περίπου και στη συνέχεια διατηρείται σταθερό

Κατηγορίες:ΤΑΛΑΝΤΩΣΕΙΣ
Σχολιάστε