Τίθεται το εξής πρόβλημα:
Μια μάζα m=1kg δεμένη σε οριζόντιο ελατήριο σταθεράς k=8 N/m απομακρύνεται από τη θέση ισορροπίας (x=0) κατά x0=1m (θέση Α), και τη χρονική στιγμή t=0 s, αφήνεται να κινηθεί χωρίς αρχική ταχύτητα, όπως στο σχήμα
Ο συντελεστής τριβής μεταξύ της μάζας και του οριζοντίου επιπέδου είναι μ=0,1.
(Η επιτάχυνση της βαρύτητας είναι g=10 m/s2 , η αντίσταση του αέρα θεωρείται αμελητέα και ο υποθέτουμε πως ο συντελεστής τριβής ολίσθησης ταυτίζεται με τον συντελεστή οριακής τριβής)
Να προσδιοριστεί η θέση στην οποία η ταχύτητα του σώματος μηδενίζεται στιγμιαία για πρώτη φορά.
Η λύση του παραπάνω προβλήματος προκύπτει εύκολα χρησιμοποιώντας την αρχή διατήρησης της ενέργειας.
Σύμφωνα με το παραπάνω σχήμα, αν η μάζα ξεκίνησε από το σημείο Α χωρίς αρχική ταχύτητα και στο σημείο Γ η ταχύτητά της μηδενίζεται στιγμιαία, τότε θα ισχύει

όπου Τ=μmg, η δύναμη της τριβής ολίσθησης.
Αντικαθιστώντας στην παραπάνω εξίσωση τις τιμές των μεγεθών που δίνονται στην εκφώνηση παίρνουμε μια δευτεροβάθμια εξίσωση της οποίας η δεκτή ρίζα είναι x1=0,75m,
ή αν θεωρήσουμε τον συμβολισμό των ταλαντώσεων η απομάκρυνση της μάζας από τη θέση ισορροπίας θα είναι x1=-0,75m.
(Επιπλέον, με παρόμοιο τρόπο μπορούμε να αποδείξουμε ότι καθώς η μάζα θα κινείται τώρα προς τα δεξιά θα σταματήσει ξανά στιγμιαία όταν η απομάκρυνσή της θα είναι x2=0,5m … ο επόμενος μηδενισμός της ταχύτητας γίνεται στη θέση x3=-0,25m …. και το σώμα σταματάει οριστικά στη θέση x4=0)
Καθώς λοιπόν η «εξάσκηση στην αρχή διατήρησης της ενέργειας» γίνεται χωρίς κανένα πρόβλημα, προκύπτει ο εξής προβληματισμός:
«Η ταχύτητα του σώματος μηδενίζεται στη θέση x1… Πως μπορούμε να υπολογίσουμε και τη χρονική στιγμή που γίνεται αυτό;»
……
Η απάντηση στο ερώτημα αυτό φαίνεται να απαιτεί γνώσεις πέραν της λυκειακής Φυσικής. Κι αυτό γιατί πρέπει να λύσουμε τη διαφορική εξίσωση της κίνησης εφαρμόζοντας τον 2ο νόμο του Νεύτωνα.
Η κίνηση του σώματος είναι φθίνουσα ταλάντωση με δύναμη απόσβεσης την τριβή ολίσθησης.
Συνήθως στην φθίνουσα ταλάντωση θεωρούμε την δύναμη απόσβεσης μεταβαλλόμενη – ανάλογη της ταχύτητας (F=-bυ).
Η μελέτη της φθίνουσας ταλάντωσης με την τριβή ολίσθησης ως δύναμη απόσβεσης γίνεται ΕΔΩ ή ΕΔΩ, και τα βασικά συμπεράσματα είναι τα εξής:
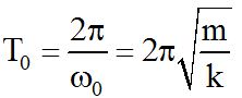
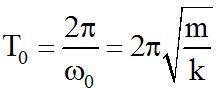
1. Η περίοδος αυτής της φθίνουσας ταλάντωσης ταυτίζεται με την περίοδο της ελεύθερης ταλάντωσης

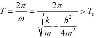
Ενώ, όταν θεωρούμε τη δύναμη απόσβεσης ανάλογη της ταχύτητας (F=-bυ), τότε η περίοδος της ταλάντωσης είναι

2. Η ταλάντωση τερματίζεται σε μια χρονική στιγμή (t=nmaxT0/2), ενώ η κλασική φθίνουσα ταλάντωση τερματίζεται μετά από άπειρο χρόνο.
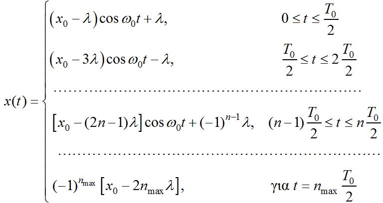
3. Η απομάκρυνση (όπως και η ταχύτητα) συναρτήσει του χρόνου γράφεται ως τμηματικά συνεχής συνάρτηση, δηλαδή

όπου
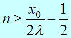
και nmax ο μικρότερος ακέραιος αριθμός που ικανοποιεί την εξίσωση:

Σύμφωνα με τα παραπάνω το σώμα σταματάει για πρώτη φορά τη χρονική στιγμή t=T0/2=1,11s
Στη συνέχεια βλέπουμε τις γραφικές παραστάσεις της απομάκρυνσης (παρατηρήστε ότι η διακεκομμένη +λ τέμνει την μπλε και πράσινη καμπύλη στο «μέσον» τους, ενώ το ίδιο συμβαίνει με τις άλλες δύο καμπύλες και τη διακεκομμένη -λ)
…. και της ταχύτητας συναρτήσει του χρόνου

Όμως η παραπάνω λύση χρησιμοποιεί διαφορικές εξισώσεις.
Μπορούμε να απαντήσουμε στο ερώτημα χρησιμοποιώντας γνώσεις λυκείου;
……
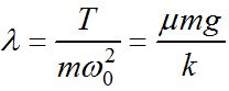
Στα σχήματα που ακολουθούν βλέπουμε ότι εκτός από την αρχική θέση ισορροπίας υπάρχει και μια δεύτερη θέση ισορροπίας – εκεί όπου ισχύει
Fελ=Τ ή kx=μmg ή x=μmg/k
To μήκος αυτό το συμβολίζεται με λ.
Η αρχική θέση και η θέση στην οποία το σώμα σταματάει για πρώτη φορά είναι συμμετρικές ως προς τη νέα θέση ισορροπίας. Μπορούμε έτσι να ξεχάσουμε για λίγο την φθίνουσα ταλάντωση και να φανταστούμε ότι το σώμα εκτελεί απλή αρμονική ταλάντωση γύρω από τη νέα θέση ισορροπίας με πλάτος, x0 – λ, και περίοδο

Το πρόβλημα είναι πανομοιότυπο με την αμείωτη ταλάντωση μιας μάζας που είναι δεμένη σε κατακόρυφο ελατήριο, αν στην θέση της τριβής ολίσθησης βλέπουμε τη δύναμη του βάρους. Περιστρέφοντας το τελευταίο σχήμα κατά 90o βλέπουμε ότι αυτός ο παραλληλισμός είναι προφανής
Μπορούμε – τουλάχιστον μέχρι τον πρώτο μηδενισμό της ταχύτητας – να θεωρούμε την δύναμη της τριβής ολίσθησης, όχι ως δύναμη απόσβεσης, αλλά σαν μια σταθερή δύναμη όπως το βάρος στην κατακόρυφη ταλάντωση, που μετατοπίζει τη θέση ισορροπίας.
Και στην αρμονική ταλάντωση, με τις παραπάνω αρχικές συνθήκες, η ταχύτητα μηδενίζεται για πρώτη φορά εφόσον ολοκληρωθεί η «μισή» ταλάντωση, την χρονική στιγμή t=T0/2.
Με τον τρόπο αυτό δίνεται απάντηση στο ερώτημα χωρίς τη χρήση διαφορικών εξισώσεων....
Κατηγορίες:ΤΑΛΑΝΤΩΣΕΙΣ
Δε θα σταματήσει όταν χ4 < 0.125 όπου η οριακή τριβή > της ελατηρίου;
Ναι, αρκεί η κινητική του ενέργεια να μην του επιτρέπει να ξεπεράσει την απομάκρυνση 0.125
Εδώ, σταματάει στη θέση x=0 (<0.125)