Η φθίνουσα ταλάντωση είναι μια ρεαλιστική περίπτωση ταλάντωσης στην οποία παίρνουμε υπόψη τις απώλειες ενέργειας εξαιτίας των τριβών, αντίστασης του αέρα κ.λ.π.
Η μελέτη αυτής της ταλάντωσης στα βιβλία Φυσικής γίνεται θεωρώντας ότι η δύναμη απόσβεσης ανάλογη της ταχύτητας:
όπου b η σταθερά απόσβεσης.
Μέσω της δύναμης αυτής η μηχανική ενέργεια του συστήματος που ταλαντώνεται μετατρέπεται σε θερμική και το τελικό αποτέλεσμα είναι η ταλάντωση σε κάποια στιγμή να σταματήσει.

Οι γραφικές παραστάσεις της απομάκρυνσης και της ταχύτητας συναρτήσει του χρόνου στην "συνήθη" περίπτωση φθίνουσας ταλάντωσης
Άραγε τι θα συνέβαινε αν η δύναμη απόσβεσης ήταν ανάλογη της απομάκρυνσης, δηλαδή
Αυτό σημαίνει ότι όσο απομακρυνόμαστε από την θέση ισορροπίας, η δύναμη απόσβεσης αυξάνεται ανάλογα με την απόσταση από τη θέση ισορροπίας και ακριβώς πάνω στη θέση ισορροπίας (x=0) η δύναμη απόσβεσης θα μηδενίζεται.
«Η δύναμη Fb είναι δύναμη απόσβεσης, δηλαδή αντιστέκεται στην κίνηση, μετατρέποντας την μηχανική ενέργεια σε θερμική και το τελικό αποτέλεσμα θα είναι ο τερματισμός της ταλάντωσης.»
Όμως ….
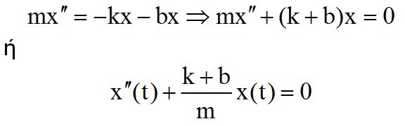
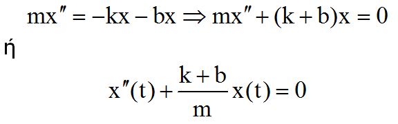
η συνισταμένη δύναμη που ασκείται στο σώμα στην περίπτωση αυτή είναι
όπου D=(k+b).
H παραπάνω συνθήκη είναι η ικανή και αναγκαία συνθήκη έτσι ώστε ένα σώμα να εκτελεί απλή αρμονική ταλάντωση….
Ή χρησιμοποιώντας την μαθηματική γλώσσα, η διαφορική εξίσωση της κίνησης θα είναι

της οποίας η λύση είναι η γνωστή λύση της αμείωτης ταλάντωσης:
x(t)=Asin(ωt + φ)
με
Δηλαδή η ταλάντωση δεν σταματάει ποτέ!!
Πως ερμηνεύεται αυτό το παράδοξο;;;
…………………………………………………
…………………………………………………
Προφανώς δεν υπάρχει κανένα παράδοξο παρά ένα παιχνίδι με τις λέξεις και τον συμβολισμό.
Απλά, η δύναμη
δεν είναι δύναμη απόσβεσης, αλλά μια δύναμη που κάνει ακριβώς την ίδια δουλειά με τη δύναμη του ελατηρίου.
Δεν είναι τυχαίο που στην φθίνουσα ταλάντωση επιλέγουμε τη δύναμη απόσβεσης αντίθετη της ταχύτητας

διότι έτσι εξασφαλίζεται το γεγονός ότι θα είναι συνεχώς αντίθετη της ταχύτητας, δηλαδή θα αντιστέκεται πράγματι στην κίνηση του σώματος.
Αν για παράδειγμα ήταν ανάλογη του τετραγώνου της ταχύτητας τότε το πρόσημο (-) δεν θα εξασφάλιζε από μόνο του την απαίτηση η δύναμη απόσβεσης να είναι συνεχώς αντίθετη της ταχύτητας.
Αλλά ας επιστρέψουμε στην αρχική περίπτωση θεωρώντας το μέτρο της δύναμης απόσβεσης ανάλογο της απομάκρυνσης
και επιπλέον την κατεύθυνσή της να είναι συνεχώς αντίθετη της ταχύτητας. Τότε γίνεται μια αληθινή δύναμη απόσβεσης που φρενάρει την ταλάντωση του σώματος.
Και τώρα τίθενται νέα ερωτήματα.
Για παράδειγμα, ποια θα είναι η περίοδος αυτής της φθίνουσας ταλάντωσης και πως περιγράφεται η απομάκρυνση και η ταχύτητα του σώματος συναρτήσει του χρόνου;;
Κατηγορίες:ΜΗΧΑΝΙΚΗ, ΤΑΛΑΝΤΩΣΕΙΣ
Σχολιάστε