μέρος πρώτο (Θεωρία)
http://youtu.be/eqjl-qRy71w
Θεωρούμε το απλούστατο κύκλωμα του παρακάτω σχήματος
Μια μπαταρία ηλεκτρεγερτικής δύναμης 1 Volt τροφοδοτεί δύο αντιστάτες 100Ω και 900 Ω. Σύμφωνα με το νόμο του Ohm στο κλειστό κύκλωμα η ένταση του ρεύματος που θα διαρρέει το κύκλωμα θα είναι
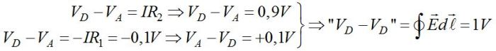
Η διαφορά δυναμικού στα άκρα του αντιστάτη R2 είναι

Το ίδιο αποτέλεσμα προκύπτει ως εξής

και προφανώς κατά μήκος μιας κλειστής διαδρομής, ξεκινώντας π.χ. από το σημείο D και καταλήγοντας στο ίδιο σημείο θα ισχύει o 2oς κανόνας του Κirchhoff….

Με λίγα λόγια τα βολτόμετρα του παρακάτω σχήματος θα δείχνουν όπως περιμένουμε την ίδια ένδειξη, 0,9 Volt.
Στη συνέχεια αφαιρούμε την μπαταρία και τοποθετούμε ένα πηνίο, στο οποίο αυξάνουμε την ένταση του ρεύματος που το διαρρέει, έτσι ώστε μεταβαλλόμενο μαγνητικό πεδίο να διασχίζει κάθετα την επιφάνεια του κυκλώματος των δυο αντιστατών.
Σύμφωνα με τον νόμο του Faraday, η μεταβολή της μαγνητικής ροής θα δημιουργήσει ηλεκτρεγερτική δύναμη από επαγωγή. Ρυθμίζουμε το πηνίο έτσι ώστε η ΗΕΔ από επαγωγή στο κύκλωμα να είναι όπως και προηγουμένως, Ε=1Volt.
Χρησιμοποιώντας όπως και πριν τα δύο βολτόμετρα
μετράμε διαφορετικές τάσεις!
Ισχύει ο νόμος του Faraday, όχι όμως ο κανόνας του Κirchhoff, διότι το ηλεκτρικό πεδίο που δημιουργεί το μεταβαλλόμενο μαγνητικό πεδίο, στο εσωτερικό των αγωγών του κυκλώματος δεν είναι συντηρητικό.
μέρος δεύτερο (πείραμα)
https://youtu.be/1bUWcy8HwpM
Κατηγορίες:ΕΚΠΑΙΔΕΥΣΗ, ΗΛΕΚΤΡΟΜΑΓΝΗΤΙΣΜΟΣ, ΦΥΣΙΚΗ






Δεν θα έλεγα ακριβώς ότι δεν είναι σωστή η διαίσθησή μας, απλά πρέπει να το ξανασκεφτούμε. Όπως και να ‘χει, πολύ ενδιαφέρον! Γενικά οι διαλέξεις του κ.Lewin, είναι εξαιρετικές.
Εφ΄ όσον τα βολτόμετρα είναι συνδεδεμένα στο ίδιο σημείο δεν υπάρχει περίπτωση να δείχνουν διαφορετική ένδειξη . Όχι ένα αλλά εκατό βολτόμετρα να έβαζε θα έδειχναν το ίδιο .
Έτσι λέει η διαίσθησή μας. Στο 2ο video όμως, στο πείραμα, άλλα έδειξαν τα 2 βολτόμετρα!!!