Συμβολίζεται με το γράμμα α του ελληνικού αλφαβήτου και είναι μια από τις θεμελιώδεις φυσικές σταθερές που χαρακτηρίζει την ένταση της ηλεκτρομαγνητικής ακτινοβολίας. Η σταθερά της λεπτής υφής είναι αδιάστατο μέγεθος – σε όλα τα συστήματα μονάδων έχει την ίδια τιμή
Ο Άρνολντ Ζόμερφελντ (Arnold Sommerfeld) ήταν αυτός που εισήγαγε πρώτος τη σταθερά λεπτής υφής το 1916.
Πολλές φορές για συντομία, όταν οι φυσικοί αναφέρονται στην σταθερά αυτή, αντί για την πραγματική της τιμή 1/137 , λένε απλά 137.
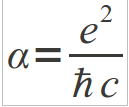
Η σταθερά α γράφεται συναρτήσει άλλων θελιωδών σταθερών της φυσικής (στο διεθνές σύστημα μονάδων S.I.) ως
όπου:
e = το ηλεκτρικό φορτίο του ηλεκτρονίου
h = η σταθερά του Planck (ћ =h/2π)
c = η ταχύτητα του φωτός στο κενό
k = 1/4πε0 = η σταθερά Coulomb
ε0 = η διηλεκτρική σταθερά του κενού
που διαφέρει σε σχέση με τις προηγούμενες. Αυτό οφείλεται στο γεγονός ότι οι φυσικοί που ασχολούνται με το άτομο ή γενικότερα με τη φυσική του μικροκόσμου χρησιμοποιούν συνήθως διαφορετικό σύστημα μονάδων, το cgs, και σ’ αυτό το σύστημα η τιμή της σταθεράς του Coulomb είναι ίση με τη μονάδα.
Όταν ο Sommerfeld εισήγαγε τη θεωρία της σχετικότητας στην μελέτη του ατόμου του υδρογόνου, βελτιώνοντας την αρχική θεωρία Bohr ανακάλυπτε ότι το άτομο πρέπει να διαθέτει πρόσθετες φασματικές γραμμές – την λεπτή υφή. Οι εξισώσεις του περιείχαν την σταθερά α που καθόριζε την απόσταση μεταξύ των διαχωρισμένων φασματικών γραμμών, με λίγα λόγια την κλίμακα της λεπτής υφής του ατόμου και για τον λόγο αυτό την ονόμασε σταθερά λεπτής υφής.
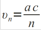
Όμως η σταθερά α εμφανίζεται και στην παλαιά
ατομική θεωρία του Bohr. Για παράδειγμα, η ταχύτητα του ηλεκτρονίου στις επιτρεπόμενες τροχιές εκφράζεται εύκολα συναρτήσει της σταθεράς λεπτής υφής
α = η σταθερά λεπτής υφής
c = η ταχύτητα του φωτός και
n = 1,2,3… , o κύριος κβαντικός αριθμός
Έτσι η ταχύτητα του ηλεκτρονίου στην πρώτη τροχιά Bohr είναι
υ1 = α c = c /137
Στην κβαντική ηλεκτροδυναμική η σταθερά λεπτής υφής είναι η σταθερά σύζευξης μεταξύ ηλεκτρονίων και φωτονίων. Η θεωρία δεν προβλέπει την τιμή της και η σταθερά α προσδιορίζεται πειραματικά. Είναι μια από τις περίπου 20 εμπειρικές παραμέτρους που χρησιμοποιούνται στο Καθιερωμένο Πρότυπο των στοιχειωδών σωματιδίων. Όταν η θεωρία διαταραχών εφαρμόζεται στην κβαντική ηλεκτροδυναμική, τότε προκύπτουν αναπτύγματα δυνάμεων του α. Επειδή το α είναι πολύ μικρότερο της μονάδος οι μεγάλες δυνάμεις του α δεν παίζουν ουσιαστικό ρόλο, με αποτέλεσμα η θεωρία διαταραχών να δίνει πολύ καλά αποτελέσματα. Αντίθετα, η μεγάλη τιμή των αντίστοιχων σταθερών σύζευξης στην κβαντική χρωμοδυναμική κάνει πολύ δύσκολους τους υπολογισμούς που αφορούν την ισχυρή πυρηνική δύναμη.
Κατηγορίες:ΚΒΑΝΤΙΚΗ ΘΕΩΡΙΑ




Ας μου επιτραπεί να αναφέρω συμπληρωματικά και την υπέρλεπτη υφή:
https://en.wikipedia.org/wiki/Hyperfine_structure
In atomic physics, hyperfine structure is the different effects leading to small shifts and splittings in the energy levels of atoms, molecules and ions. The name is a reference to the fine structure, which results from the interaction between the magnetic moments associated with electron spin and the electrons’ orbital angular momentum. Hyperfine structure, with energy shifts typically orders of magnitudes smaller than those of a fine-structure shift, results from the interactions of the nucleus (or nuclei, in molecules) with internally generated electric and magnetic fields.
In atoms, hyperfine structure occurs due to the energy of the nuclear magnetic dipole moment in the magnetic field generated by the electrons, and the energy of the nuclear electric quadrupole moment in the electric field gradient due to the distribution of charge within the atom. Molecular hyperfine structure is generally dominated by these two effects, but also includes the energy associated with the interaction between the magnetic moments associated with different magnetic nuclei in a molecule, as well as between the nuclear magnetic moments and the magnetic field generated by the rotation of the molecule.
Κάνε κλικ για να αποκτήσεις πρόσβαση ATOMIC_ALL.pdf
Ωστόσο η εξέταση των ατομικών φασμάτων σε ακρίβεια καλύτερη αυτή της λεπτής υφής δείχνουν μια επί πλέον μετατόπιση των φασματικών γραμμών αλλά και λεπτομερέστερη δομή του φάσματος με επί πλέον διαχωρισμό γραμμών. Οι ενεργειακές μετατοπίσεις των φασματικών γραμμών ονομάζονται ισοτοπικές μετατοπίσεις (isotope shifts) και οφείλονται τόσο στον όγκο του πυρήνα (volume effect) αλλά και στην πεπερασμένη μάζα του (mass effect).
Με άλλα λόγια οφείλονται στο γεγονός ότι το πυρηνικό φορτίο δεν είναι σημειακό αλλά έχει
χωρική κατανομή προερχόμενη από την κίνηση των πρωτονίων εντός του πυρήνα. Η χωρική
κατανομή του φορτίου συνεπάγεται την εμφάνιση ηλεκτρικών και μαγνητικών ροπών
διαφόρων τάξεων οι οποίες μπορούν να αλληλεπιδράσουν με το ΗΜ πεδίο που παράγει το
ηλεκτρόνιο στην περιοχή του πυρήνα. Ο παραπάνω διαχωρισμός των φασματικών γραμμών
ονομάζεται υπέρλεπτη υφή (hyperfine structure).