Author Archives
-
Η δύναμη των χρωμάτων
Ασκούν καταλυτική επιρροή στη διάθεσή μας, συχνά με τρόπο ανεξήγητο. Οι ερευνητές προσπαθούν να δαμάσουν τη δύναμη των χρωμάτων και ορισμένοι αναπτύσσουν θεραπείες που βασίζονται σ’ αυτήν Βενιού Ειρήνη – http://www.tovima.gr Η ζωή μας είναι σαν ένα καλειδοσκόπιο γεμάτο εικόνες… Read More ›
-
Leonard Susskind: H φυσική με δυο λόγια
Η σύγχυση και ο αποπροσανατολισμός βασιλεύουν• η αιτία και το αποτέλεσμα καταργούνται• η βεβαιότητα εξανεμίζεται• όλοι οι παλαιοί κανόνες παύουν να ισχύουν. Αυτό συμβαίνει όταν καταρρέει το κυρίαρχο Παράδειγμα. Αλλά τότε αναδύονται νέα μοτίβα. Αρχικά δεν φαίνεται να έχουν νόημα•… Read More ›
-
Θα σταματήσει η λειτουργία του LHC για να αναβαθμιστεί
Λίγους μήνες μετά την ιστορική ανακάλυψη ενός σωματιδίου που θα μπορούσε να είναι το μποζόνιο του Χιγκς, ο Μεγάλος Επιταχυντής Αδρονίων (LHC) πρόκειται να τεθεί εκτός λειτουργίας στις 11 Φεβρουαρίου, προκειμένου να πραγματοποιηθούν εργασίες αναβάθμισης που θα διαρκέσουν δύο χρόνια…. Read More ›
-
Τα μαθηματικά και η μυστική αρμονία των φυσικών φαινομένων
Το κείμενο που ακολουθεί αποτελεί την ομιλία του Δημήτρη Χριστοδούλου κατά την τελετή ανακήρυξής του ως επίτιμου διδάκτορος του Μαθηματικού Τμήματος του Πανεπιστημίου Αθηνών, στις 23 Ιουνίου 1996. Η ιστορία που σας καλώ να παρακολουθήσουμε αρχίζει με τον Πυθαγόρα και τη… Read More ›
-
Βίντεο: πτήση πάνω από σεληνιακό κρατήρα
O κρατήρας Linné στη Σελήνη είναι ένας από τα νεότερους, και πιο καλοδιατηρημένους σεληνιακούς κρατήρες. Θεωρείται πως δημιουργήθηκε από πρόσκρουση πριν από σχεδόν 10 εκατομμύρια χρόνια – χρόνος μηδαμινός όσον αφορά τους κρατήρες. Το βίντεο που ακολουθεί δημιουργήθηκε από τα… Read More ›
-
Ο μεγαλύτερος πρώτος αριθμός …
… έχει 17 εκατομμύρια ψηφία Σε σημερινό δημοσίευμα του Newscientist αναφέρεται η ανακάλυψη του μεγαλύτερου πλέον πρώτου αριθμού, με 17 εκατομμύρια ψηφία Ο μεγαλύτερος γνωστός πρώτος αριθμός είναι πια ο 257885161-1, που ανακαλύφθηκε από τον Curtis Cooper μέσω του διαδικτυακού… Read More ›
-
Βίντεο: το διαστημικό τηλεσκόπιο James Webb
-
Κι άλλο παράξενο λαμπερό αντικείμενο στον Άρη
Πριν από λίγο καιρό το διαστημικό ρόβερ Curiosity φωτογράφισε ένα “περίεργο” αντικείμενο στο έδαφος του Άρη (διαβάστε ΕΔΩ). Σύμφωνα με την τότε ανακοίνωση της επιστημονικής ομάδας του Curiosity θα μπορούσε να είναι κάποιο κομμάτι που έπεσε από το ίδιο το… Read More ›
-
Bακτήριο χρυσοχόος
Ερευνητές κατάφεραν να απομονώσουν μια ουσία που επιτρέπει σε ένα ασυνήθιστο βακτήριο να μετατρέπει τα ιόντα χρυσού σε σωματίδια συμπαγούς χρυσού -η τεχνική που εφαρμόζει το μικρόβιο θα μπορούσε μια μέρα να αξιοποιηθεί για την ανάκτηση χρυσού από τα απορρίμματα… Read More ›
-
To Curiosity χρησιμοπoίησε το τρυπάνι του …
… για πρώτη φορά Το ρομπότ Curiosity της ΝASA έβαλε επιτέλους μπρος το τρυπάνι του, με το οποίο θα εξετάσει για πρώτη φορά το εσωτερικό των πετρωμάτων του Άρη, και θα επιβεβαιώσει αν σχηματίστηκαν παρουσία νερού. Έπειτα από την ολοκλήρωση… Read More ›
-
Χιόνι από οξείδιο του τιτανίου σε εξωπλανήτη
Μια από τις πιο γνωστές ρήσεις που ακούγεται όταν θέλει κάποιος να τονίσει την επιμονή και την αποφασιστικότητά του σε κάποιο θέμα είναι ότι θα ασχολείται με αυτό «μέχρι να πέσει μαύρο χιόνι». Αν ζούσαμε στον πλανήτη HD 209458 b… Read More ›
-
Stardust: μια ταινία μικρού μήκους
Πρόκειται για μια ιστορία σχετικά με το Voyager 1 (το μη επανδρωμένο διαστημόπλοιο που εκτοξεύθηκε το 1977 για να εξερευνήσει το ηλιακό μας σύστημα). Χρησιμοποιώντας πραγματικές εικόνες από την εξερεύνηση του διαστήματος, μας θυμίζει πως ότι υπάρχει γύρω μας (και εμείς οι… Read More ›
-
Τερατώδης θύελλα στον Κρόνο
Το Cassini παρακολούθησε τη θύελλα από την εμφάνισή της το 2010 μέχρι την εξαφάνισή της ένα χρόνο αργότερα Θυμίζει τον Ουροβόρο, το μυθικό φίδι που δάγκωσε την ουρά του: Μια γιγάντια, μακρόστενη θύελλα που ξέσπασε στον Κρόνο περικύκλωσε όλο τον… Read More ›
-
Οι μηχανές του von Neumann
Η είδηση της κατασκευής μιας βάσης στη Σελήνη από τρισδιάστατο εκτυπωτή – ρομπότ, με την χρήση σεληνιακών υλικών, θύμισε σε κάποιους τις μηχανές του von Neumann – αν και είμαστε ακόμα πολύ μακριά από την κατασκευή τους. Ευκαιρία λοιπόν να… Read More ›
-
Σεληνιακή βάση από 3D εκτυπωτή
Εξωγήινη αρχιτεκτονική Ο σερ Νόρμαν Φόστερ σχεδιάζει «εκτυπώσιμες» βάσεις στη Σελήνη Η κατασκευή μιας βάσης στη Σελήνη θα γινόταν πιο πολύ πιο εύκολη χρησιμοποιώντας έναν τρισδιάστατο εκτυπωτή που χτίζει με ντόπια υλικά. Η εταιρεία του διάσημου Βρετανού αρχιτέκτονα Νόρμαν Φόστερ… Read More ›
-
Τι σκέφτεται ένα ψάρι;
Φθορίζουσα πρωτεΐνη μας επιτρέπει να «διαβάσoυμε» τις σκέψεις των ψαριών Τις νοητικές διαδικασίες που λαμβάνουν χώρα στον εγκέφαλο ενός ψαριού, την ώρα που κυνηγά ένα άλλο ψάρι κατάφεραν να βιντεοσκοπήσουν σε πραγματικό χρόνο ιάπωνες επιστήμονες. Στην πραγματικότητα είναι η πρώτη… Read More ›
-
Η γοητεία της επιστημονικής βαρύτητας
Στο ένθετο που ακολουθεί περιέχεται η συνέντευξη του Δημήτρη Χριστοδούλου – δημοσιεύθηκε στο περιοδικό Quantum (τεύχος Μαρτίου/Απριλίου 1995). Τη συνέντευξη πήρε ο Γιώργος Ευαγγελόπουλος (που υπήρξε και διευθυντής σύνταξης του περιοδικού) και είχαμε αναφερθεί σ’ αυτή σε παλαιότερες αναρτήσεις [ΕΔΩ: Η γέννηση της… Read More ›
-
Ο σχηματισμός πλανητών γύρω από ηλικιωμένο άστρο
Στην ηλικία των δέκα εκατομμυρίων ετών, τα περισσότερα άστρα δεν μπορούν πια δημιουργήσουν πλανήτες. Κι όμως, ένα ηλικιωμένο άστρο στον αστερισμό της Ύδρας φαίνεται ότι έχει το περιθώριο να αποκτήσει πολλούς νέους πλανήτες. Η ανακάλυψη του μεσόκοπου υποψήφιου γονιού «θα… Read More ›
-
Χαρτογράφος μακρινών πλανητών
Νέο λογισμικό μπορεί να εντοπίζει την παρουσία ξηράς, ωκεανών και νεφών Αμερικανός επιστήμονας ανέπτυξε ένα λογισμικό το οποίο όπως αναφέρουν οι ειδικοί μπορεί να αποτελέσει τη βάση για την ανάπτυξη ενός συστήματος που θα επιτρέψει στους αστρονόμους να χαρτογραφούν μακρινούς… Read More ›
-
To κοντινό πέρασμα του αστεροειδούς 2012-DA14
Παρακολουθείστε ζωντανά το πέρασμα του αστεροειδούς 2012-DA14 ΕΔΩ ή ΕΔΩ Στις 15 Φεβρουαρίου ένας αστεροειδής με μέγεθος περίπου όσο ένα γήπεδο ποδοσφαίρου θα περάσει τόσο κοντά στη Γη, όσο και οι τηλεπικοινωνιακοί δορυφόροι που βρίσκονται σε τροχιά.. Πιο συγκεκριμένα η… Read More ›
-
Βίντεο: Τραχανάς Στέφανος – Το φάντασμα της Όπερας
Ο ρόλος της αρχής της αβεβαιότητας στο σύμπαν Ο φυσικός και διευθυντής των Πανεπιστημιακών Εκδόσεων Κρήτης Στέφανος Τραχανάς, έδωσε το Σάββατο 26 Ιανουαρίου διάλεξη με τίτλο: Το φάντασμα της Όπερας: Ο ρόλος της αρχής της αβεβαιότητας στο σύμπαν. Τη διάλεξη διοργάνωσε… Read More ›
-
Η αίσθηση της όσφρησης είναι κβαντική
μια μελέτη με «άρωμα» ελληνικό Είναι η μύτη μας μια «κβαντομηχανή»; Η δική μας δεν ξέρουμε ακόμη, αλλά πάντως της μύγας είναι! Η όσφρηση σε αντίθεση με την όραση και την ακοή, παραμένει ακόμη και σήμερα η λιγότερο μελετημένη αίσθηση…. Read More ›
-
Δημήτρης Χριστοδούλου: Ο χαρακτήρας των φυσικών νόμων …
… και η μελέτη των διαφορικών εξισώσεων Ο Δημήτρης Χριστοδούλου γεννήθηκε το 1951 στην Αθήνα. Είναι Καθηγητής Μαθηματικών και Φυσικής στο Ομοσπονδιακό Πολυτεχνείο της Ζυρίχης. Έχει διατελέσει Καθηγητής Μαθηματικών του Πανεπιστημίου των Συρακουσών ΗΠΑ (1985-1987), του Ινστιτούτου Κουράντ του πανεπιστημίου… Read More ›
-
Υπέρβαση των νόμων της συμμετρίας
Οι νόμοι της συμμετρίας είναι αμείλικτοι, αλλά μια ομάδα ερευνητών από τις ΗΠΑ κατάφερε να επινοήσει μια τεχνική παραγωγής μοτίβων, που μοιάζει να τους εξαπατά. Ας υποθέσουμε ότι θέλετε να δημιουργήσετε ένα δισδιάστατο σχέδιο, αρκετά συμμετρικό. Η πιο εύκολη επιλογή… Read More ›
-
Το μέγεθος του πρωτονίου είναι μικρότερο;
Νέες, ακριβέστερες μετρήσεις «κατεβάζουν» το μέγεθος του θεμελιώδους σωματιδίου γεννώντας πολλά ερωτηματικά Το μήκος της ακτίνας του πρωτονίου – ή, πιο συγκεκριμένα, της ακτίνας της κατανομής του φορτίου του – έχει αναδειχθεί τα τελευταία χρόνια σε έναν από τους μεγάλους… Read More ›
-
30 χρόνια από την ανίχνευση του μποζονίου W
Πριν από 30 χρόνια, οι φυσικοί του CERN ανακοίνωσαν την ανακάλυψη του μποζονίου W Το μποζόνιο W± είναι ένα από τα πέντε σωματίδια που είναι υπεύθυνα για την διάδοση των δυνάμεων της φύσης. Πρόκειται για ένα ηλεκτρικά φορτισμένο στοιχειώδες σωματίδιο… Read More ›
-
Τα σκαθάρια προσανατολίζονται με τη βοήθεια του Γαλαξία
Έμπειροι «αστρονόμοι» αποδεικνύονται τα ταπεινά σκαθάρια, καθώς, σύμφωνα με μελέτη σουηδών επιστημόνων, βρίσκουν τον προσανατολισμό τους κοιτάζοντας τα αστέρια. Ο άνθρωπος, τα πουλιά και οι φώκιες ήταν γνωστό ότι χρησιμοποιούσαν τον νυχτερινό ουρανό για τον προσανατολισμό τους. Τώρα όμως, στη… Read More ›
-
Ο ρόλος της αρχής της αβεβαιότητας στο σύμπαν
Διάλεξη με ομιλητή τον φυσικό και διευθυντή των Πανεπιστημιακών Εκδόσεων Κρήτης Στέφανο Τραχανά, θα γίνει το Σάββατο 26 Ιανουαρίου στις 12.30 το μεσημέρι, στο φιλόξενο σαλόνι της ιστορικής οικίας Άγγελου και Λητώς Κατακουζηνού στην Αθήνα (Αμαλίας 4, 5ος όροφος) Τη… Read More ›
-
Ένα μοναδικό πάλσαρ
Πονοκέφαλο στους επιστήμονες έχει προκαλέσει ο εντοπισμός ενός άστρου νετρονίου (πάλσαρ) το οποίο «συμπεριφέρεται» με έναν τρόπο που δεν έχει παρατηρηθεί ποτέ μέχρι σήμερα. Τα πάλσαρ εκπέμπουν από τους πόλους τους δέσμες ενός είδους ακτινοβολίας – είτε ραδιοκύματα, είτε ακτινοβολία… Read More ›
-
Σαίξπηρ, Μάρτιν Λούθερ Κινγκ και DNA
Tο γενετικό υλικό μας που αποδεικνύεται το τέλειο μέσο ψηφιακής φύλαξης δεδομένων Είναι μια από τις πιο συμβολικές ομιλίες όλων των εποχών η οποία τώρα πια περνά στην… αθανασία με τον πιο ασυνήθιστο τρόπο. Ένα τμήμα της διάσημης ομιλίας «Έχω… Read More ›
-
Πως οι αστροναύτες κόβουν τα νύχια τους στον ΔΔΣ
Η ζωή στο διάστημα δεν είναι εύκολη. Σε συνθήκες έλλειψης βαρύτητας, ακόμη και η βασική υγιεινή, όπως το κόψιμο των νυχιών, δεν είναι μια απλή υπόθεση. Ο αστροναύτης του Διεθνούς Διαστημικού Σταθμού Chris Hadfield, στο βίντεο που ακολουθεί, εξηγεί πως… Read More ›
-
Το μυστηριώδες περιβάλλον του Μπετελγκέζ
Aυτή η νέα εικόνα από διαστημικό τηλεσκόπιο της ESA, Herschel, αποκαλύπτει πολλαπλά τόξα γύρω από τον Betelgeuse (Μπετελγκέζ), τον πλησιέστερο υπεργίγαντα στη Γη. Το άστρο και η «τοξοειδής ασπίδα» του κινούνται προς έναν μυστηριώδη «τοίχο» με τον οποίο αναμένεται να… Read More ›
-
Βίντεο: μια ημέρα από τη ζωή του Venus Express
Το βίντεο που ακολουθεί δημιουργήθηκε από τις εικόνες που τραβήχτηκαν με την κάμερα του διαστημικού σκάφους Venus Express που εξερευνά την Αφροδίτη. Οι πρώτες εικόνες του βίντεο είναι από μια απόσταση 66000 χιλιομέτρων πάνω από το νότιο πόλο και στη… Read More ›
-
Ρομπότ «σκαντζόχοιροι» θα εξερευνήσουν δορυφόρο του Άρη
Ερευνητές του Πανεπιστημίου Στάνφορντ κατασκευάζουν για λογαριασμό της NASA ένα νέο τύπο ρομπότ το οποίο η αμερικανική διαστημική υπηρεσία προορίζει για μια αποστολή εξερεύνησης του Φόβου, ενός εκ των δύο δορυφόρων του Άρη. Το ρομπότ δεν θα έχει τη μορφή… Read More ›
-
Ανακαλύφθηκε DNA με τετραπλή έλικα
… σε ανθρώπινα κύτταρα Εξήντα χρόνια μετά την ιστορική ανακάλυψη της διπλής έλικας του μορίου του DNA από τον βρετανό Φράνσις Κρικ και τον αμερικανό Τζέημς Γουότσον στο Κέμπριτζ, το Φεβρουάριο του 1953, επιστήμονες του ίδιου πανεπιστημίου έκαναν την πρωτοφανή ανακοίνωση ότι για πρώτη… Read More ›
-
Μαθηματικά και Φυσική – μια ιδιαίτερη σχέση
Η βασίλισσα των επιστημών, οι ιχνηλάτες φυσικοί και ο Καστοριάδης Μια αναφορά του Πέτρου Δήτσα για το βιβλίο του Γιώργου Λ. Ευαγγελόπουλου, «Μαθηματικά και Φυσική, μια ιδιαίτερη σχέση«, Ευρασία, Αθήνα 2010 Δημοσιεύθηκε στο τεύχος Ιανουαρίου 2013 της «Αθηναϊκής Επιθεώρησης του… Read More ›
-
Ενδείξεις ζωής σε κρατήρα του Αρη
Στο υπέδαφος του Άρη – κάτω από τον κρατήρα MacLaughlin ίσως υπάρχουν μικρόβια και βακτήρια Δύο βρετανοί επιστήμονες μελετώντας δορυφορικές εικόνες και δεδομένα σχετικά με έναν αρχαίο κρατήρα στον Άρη υποστηρίζουν ότι εντόπισαν ευρήματα που υποδεικνύουν την ύπαρξη μικροβιακής και… Read More ›
-
Έκλαμψη ακτίνων γ έπληξε τη Γη τον 8ο αιώνα μ.Χ.
Πριν από έναν χρόνο οι επιστήμονες ανακάλυψαν ότι τον 8ο αιώνα η Γη «χτυπήθηκε» από πολύ ισχυρή κοσμική ακτινοβολία αλλά δεν είχε εντοπισθεί μέχρι σήμερα η πηγή της. Ερευνητές στη Γερμανία υποστηρίζουν ότι ανακάλυψαν την προέλευσή της. Πρόκειται για τη… Read More ›
-
Γη και Σελήνη από τον Διαστημικό Σταθμό
-
Λ-sat : μικροδορυφόρος της NASA ….
… με ελληνική σφραγίδα «Greek minds at work». Δεν πρόκειται για χολιγουντιανή ταινία, αλλά για μια πολλά υποσχόμενη ομάδα που εργάζεται σε αμερικανικό έδαφος υπό ελληνική «σημαία». Δέκα Έλληνες επιστήμονες έως 25 χρόνων, με εξειδίκευση σε ρομποτική, ηλεκτρονικά, software και… Read More ›
-
Ξεροπόταμος στον Άρη
Το Mars Express φωτογράφισε ένα ξερό σήμερα ποταμό 1500 χλμ Ο δορυφόρος Mars Express βρίσκεται σε τροχιά γύρω από τον Αρη από το 2003 και τον εξερευνά. Σε αυτό το διάστημα έχει κάνει πολλές ανακαλύψεις και έχει προσφέρει πλήθος σημαντικών… Read More ›
-
Ο μύθος του πειράματος Michelson – Morley
Κατά τη διαδικασία μύησης ενός επιστήμονα, λέγονται ιστορίες για ήρωες του παλιού καιρού. Οι «ιστορίες» αυτές επιτελούν διάφορες λειτουργίες. Χρησιμεύουν ως μύθοι νομιμοποίησης για τη σημερινή επιστημονική κοινότητα, δείχνοντας ότι κληρονόμησε τον μανδύα των γιγάντων των παλιών καιρών. Bοηθούν να… Read More ›
-
Βίντεο: το διαστημικό σκάφος Orion στο διάστημα
To παρακάτω amimation δείχνει τα διάφορα βήματα της αποστολής του διαστημικού σκάφους Orion – από την εκτόξευση μέχρι την επιστροφή του στη Γη – που προγραμματίζεται για το 2017. Θα είναι η πρώτη ολοκληρωμένη δοκιμαστική πτήση του διαστημικού σκάφους Orion… Read More ›
-
Πίθηκος στο Διάστημα από το Ιράν
Πρόβα επανδρωμένης πτήσης για δεύτερη φορά Το Ιράν θα προσπαθήσει και πάλι να στείλει έναν ζωντανό πίθηκο στο Διάστημα μετά την αποτυχία της πρώτης απόπειρας το 2011, ανακοίνωσε στα ιρανικά μέσα ο επικεφαλής του διαστημικού προγράμματος της Τεχεράνης, το οποίο… Read More ›
-
Το Curiosity αναζητά μορφές ζωής στο υπέδαφος του Άρη
νεώτερη ενημέρωση 18/1/2013: Δείτε το σχετικό βίντεο στο τέλος της ανάρτησης Αρχίζει γεωτρήσεις σε μια περιοχή που στο παρελθόν έρεε νερό Το διαστημικό ρόβερ της NASA, Curiosity προσγειώθηκε στον κρατήρα του Άρη Gale, πριν από πέντε μήνες, με πρωταρχικό στόχο να… Read More ›
-
Ρωσική αποστολή στη Σελήνη το 2015
H πρώτη μετα-Σοβιετική αποστολή στη Σελήνη Η Ρωσική Υπηρεσία Διαστήματος (Roscosmos) προτίθεται να στείλει μία μη επανδρωμένη αποστολή στη Σελήνη το 2015, η οποία θα εκτοξευτεί από το σχεδιαζόμενο νέο κοσμοδρόμιο της χώρας που θα κατασκευαστεί στην Άπω Ανατολή, όπως… Read More ›
-
HD 140283: To αρχαιότερο άστρο του σύμπαντος
Το άστρο Μαθουσάλας βρίσκεται σχετικά κοντά στο πλανητικό μας σύστημα – σε απόσταση 190 έτη φωτός Οι αστρονόμοι ανακάλυψαν τον Μαθουσάλα των άστρων που φέρει το όνομα HD 140283. Το άστρο αυτό βρίσκεται σε απόσταση 190 έτη φωτός μακριά από… Read More ›
-
Βρέθηκε στο διάστημα ο χημικός πρόδρομος της ζωής ;
Εντοπίστηκε στο διάστημα υδροξυλαμίνη που θεωρείται ο χημικός πρόδρομος των δομικών υλικών της ζωής Ομάδα επιστημόνων ερευνώντας μια περιοχή του γαλαξία μας στην οποία υπάρχει έντονη κοσμική δραστηριότητα και ειδικότερα γέννηση νέων άστρων εντόπισε τα ίχνη μιας χημικής ουσίας η… Read More ›
-
Βίντεο: εκρήξεις υδρογόνου
-
Βίντεο: πολυμερή παράγουν ηλεκτρισμό λόγω υγρασίας
Ερευνητές του Τεχνολογικού Ινστιτούτου της Μασαχουσέτης (ΜΙΤ) κατασκεύασαν ένα υλικό από πολυμερή (polypyrrole και polyol-borate με πιεζοηλεκτρικές ιδιότητες) που μιμείται τις δομές που υπάρχουν σε μυς και σε ιστούς φυτών οι οποίοι αντιδρούν σε αλλαγές της υγρασίας. Όταν έρχεται σε επαφή με… Read More ›
-
Νέες αστρονομικές παρατηρήσεις αμφισβητούν την Κοσμολογική Αρχή
Παρατηρήσεις σμηνών κβάζαρ φαίνεται να διαψεύδουν την κοσμολογική αρχή Διεθνής ομάδα αστρονόμων ανακοίνωσε την ανακάλυψη της μεγαλύτερης γνωστής δομής στο ορατό Σύμπαν: μια ομάδα από κβάζαρ που καλύπτει απόσταση τεσσάρων δισεκατομμυρίων ετών φωτός. Η ανακάλυψη, λένε οι ερευνητές, δείχνει να… Read More ›
-
NGC 6872: ο μεγαλύτερος σπειροειδής γαλαξίας
Ο μεγαλύτερος σπειροειδής γαλαξίας που έχουν εντοπίσει μέχρι σήμερα οι αστρονόμοι είναι ο NGC 6872. Το μέγεθός του είναι πενταπλάσιο από τον δικό μας Γαλαξία και η διαπίστωση αυτή έγινε τυχαία, κατά την μελέτη των δεδομένων που είχε καταγράψει το διαστημικό… Read More ›
-
Σχοινοβάτης κατά μήκος της Σελήνης
Ένα εντυπωσιακό βίντεο Μια παραγωγή του National Geographic που ονομάζεται «The Man Who Can Fly» channel.nationalgeographic.com/videos http://vimeo.com/56298775
-
«Mingus»: το πιο μακρινό σουπερνόβα …
… θα μπορούσε να ρίξει φως στη σκοτεινή ενέργεια Αμερικανοί ερευνητές ανακάλυψαν, με τη βοήθεια του διαστημικού τηλεσκοπίου Hubble, την πιο μακρινή στον χώρο και τον χρόνο έκρηξη σουπερνόβα τύπου Ια που έχει ποτέ παρατηρηθεί στο σύμπαν. Βρίσκεται σε απόσταση… Read More ›
-
Το Σύμπαν σε μία Ημέρα
Oι κοσμολόγοι εκτιμούν ότι η ηλικία του Σύμπαντος είναι περίπου 13,8 δισεκατομμύρια χρόνια. Αν τα 13,8 δισ. χρόνια αντιστοιχούσαν … σε μία μόνο ημέρα (24 ώρες), σε ποιές χρονικές στιγμές αυτής της ημέρας θα συνέβαιναν τα σημαντικότερα κοσμολογικά γεγονότα, από την… Read More ›
-
Oι σπόγγοι δεν ήταν τα πρώτα είδη του ζωικού βασιλείου
Οι πρώτοι εκπρόσωποι του ζωικού βασιλείου, από τους οποίους κατάγονται και οι άνθρωποι, πιστεύεται εδώ και δεκαετίες ότι ήταν οι ταπεινοί σπόγγοι. Οι εξελικτικοί βιολόγοι μένουν όμως έκπληκτοι από τα αποτελέσματα των τελευταίων γενετικών αναλύσεων, οι οποίες υποδεικνύουν ότι η… Read More ›
-
Οι καιρικές συνθήκες στην επιφάνεια καφέ νάνου …
…. όπως τις «είδαν» τα διαστημικά τηλεσκόπια της NASA, Spitzer και Hubble Αστρονόμοι χρησιμοποιώντας τα διαστημικά τηλεσκόπια της NASA Spitzer και Hubble κατάφεραν να μελετήσουν την «θυελλώδη ατμόσφαιρα» ενός καφέ νάνου, κατασκευάζοντας για πρώτη φορά τον πιο λεπτομερή μετεωρολογικό χάρτη… Read More ›
-
Παγόβουνα υδρογονανθράκων στον Τιτάνα
… εντόπισε το διαστημικό σκάφος Cassini Οι επιστήμονες εικάζουν ότι οι θάλασσες υδρογονανθράκων θα μπορούσαν να περιέχουν «εξωτικές μορφές της ζωής» O δορυφόρος του Κρόνου, Τιτάν, είναι το μοναδικό σώμα στο πλανητικό μας σύστημα – εκτός από τη Γη –… Read More ›
-
Άποφις και Εξωγήινοι Επιδρομείς
Του Διονύση Π. Σιμόπουλου, Διευθυντή του Ψηφιακού Πλανηταρίου του Ιδρύματος Ευγενίδου Την ερχόμενη Τετάρτη, 9 Ιανουαρίου, ο αστεροειδής Άποφις (με διάμετρο 300 περίπου μέτρων) θα προσπεράσει την Γη μας σε απόσταση 14,5 εκατομμυρίων χλμ. Σε σύγκριση η Σελήνη βρίσκεται σε… Read More ›
-
Σχεδόν όλα τα άστρα σαν τον ήλιο έχουν πλανητικά συστήματα
Η αποστολή Kepler αποκαλύπτει πόσοι πλανήτες σαν τον δικό μας υπάρχουν στον Γαλαξία Μια ακόμη εντυπωσιακή ανακοίνωση έκαναν τα στελέχη της αποστολής Kepler η οποία αναζητά πλανήτες στον γαλαξία μας. Η ανάλυση των δεδομένων που έχουν προκύψει μέχρι σήμερα από… Read More ›
-
Οι αστροναύτες για τον Αρη θα πεθάνουν… από βαρεμάρα
ΤΙ ΕΔΕΙΞΕ Η ΠΡΟΣΟΜΟΙΩΣΗ Λήθαργος, βαρεμάρα και τεμπελιά περιμένουν τους μελλοντικούς ταξιδιώτες στον Άρη. Ένα μελλοντικό ταξίδι στον γειτονικό πλανήτη δεν θα είναι εύκολη υπόθεση για τους αστροναύτες, καθώς, όπως έδειξαν τα πορίσματα μιας προσομοιωμένης αποστολής 520 ημερών (η μεγαλύτερη… Read More ›
-
Λύση στο «παράδοξο του νεαρού Ήλιου» μέσω Τιτάνα
Νέα μελέτη προσφέρει πιθανή εξήγηση στο «παράδοξο του νεαρού, αμυδρού Ήλιου» Τα πρώτα δύο δισεκατομμύρια χρόνια της ζωής του, ο Ήλιος ήταν έως και 25% πιο ασθενικός από ό,τι σήμερα. Περιέργως, όμως, η νεογέννητη Γη δεν είχε μπει σε μια… Read More ›
-
Neil Ibata: ο νεότερος αστροφυσικός
Μαθητής λυκείου από το Στρασβούργο, 15 ετών, συνυπέγραψε επιστημονική μελέτη αστροφυσικής, που δημοσιεύεται στο επιστημονικό περιοδικό «Nature» Σε ηλικία 15 ετών κατάφερε ό,τι προσπαθούν άλλοι επιστήμονες σε όλη τους τη ζωή. Να δουν κάποια εργασία τους και μαζί το όνομά… Read More ›
-
Ο πληθωρισμός στο αρχέγονο σύμπαν
Oι λόγοι που οδηγούν στον πληθωρισμό είναι σωστοί; Mια κριτική στην πληθωριστική κοσμολογία από τον Roger Penrose Η πληθωριστική κοσμολογία αποτελεί ένα αναπόσπαστο κομμάτι της σύγχρονης κοσμολογικής σκέψης…. Πριν προχωρήσω στην κριτική μου, θα ήθελα να καταστήσω σαφές ότι οι ενστάσεις… Read More ›
-
Μπορούμε να μιλάμε για την ηλικία του Σύμπαντος ;
«… ο χρόνος στην κοσμολογία δεν έχει νόημα και η έννοια της ηλικίας του Σύμπαντος είναι ένα χωρίς ουσία κατασκεύασμα… Εφόσον η καμπυλότητα του σύμπαντος αλλάζει ανάλογα με την πυκνότητα της ύλης μέσα του, αλλάζει και η διάρκεια της μονάδας… Read More ›
-
Επίτευξη αρνητικών απόλυτων θερμοκρασιών
Κάτω από το απόλυτο μηδέν Η απόλυτη θερμοκρασία, η θεμελιώδης κλίμακα θερμοκρασίας στην θερμοδυναμική (κλίμακα Κelvin), είναι πάντα θετική. Κάτω από ειδικές συνθήκες είναι δυνατές και οι αρνητικές απόλυτες θερμοκρασίες – όπου καταλαμβάνονται περισσότερες καταστάσεις υψηλής ενέργειας απ’ ότι καταστάσεις… Read More ›
-
«Μαύρη Καλλονή»: ένας μετεωρίτης από τον Άρη
Oι περισσότεροι μετεωρίτες που πέφτουν στη Γη προέρχονται από τη Ζώνη των Αστεροειδών. Η προέλευση λίγων από αυτούς είναι από τη Σελήνη ή τον Άρη Σύμφωνα με τους επιστήμονες χτυπήματα μετεωριτών στη Σελήνη ή τον Άρη μπορούν να αποσπάσουν κομμάτια… Read More ›
-
Βίντεο: η τελευταία ηλιακή έκρηξη
… του 2012 Αυτή η ηλιακή έκρηξη είχε τέσσερις ώρες διάρκεια και σημειώθηκε στις 31 Δεκεμβρίου 2012. Φωτογραφήθηκε από το Solar Dynamics Observatory της NASA. Η ροή του πλάσματος δεν είχε αρκετή δύναμη για να υπερνικήσει τη βαρύτητα του ήλιου και… Read More ›
-
Δυο γιγάντιοι πίδακες σωματιδίων από το κέντρο του Γαλαξία μας
Αν τα μάτια μας ήταν αρκετά ευαίσθητα, δύο γιγάντιοι πίδακες σωματιδίων που πηγάζουν στην καρδιά του Γαλαξία μας θα φαίνονταν να καταλαμβάνουν τα δύο τρίτα του γήινου ουρανού, διαπιστώνουν έκπληκτοι οι αστρονόμοι. Οι γιγάντιοι, δυσεξήγητοι πίδακες αποτελούνται από φορτισμένα σωματίδια… Read More ›
-
Το τηλεσκόπιο ALMA καταγράφει τον σχηματισμό πλανητών
Μια άκρως εντυπωσιακή αλλά και ενδιαφέρουσα κοσμική καταγραφή πραγματοποιεί διεθνής επιστημονική ομάδα με το τηλεσκόπιο ALMA που βρίσκεται στην έρημο Ατακάμα της Χιλής. Οι ερευνητές παρατηρούν έναν κοσμικό «τοκετό». Εντόπισαν ένα νεαρό άστρο γύρω από το οποίο αρχίζει να δημιουργείται… Read More ›
-
Richard Feynman: Ωδή σε ένα λουλούδι
-
Τι ενδιαφέρον κρύβει το 2013
Ο αριθμός 2013 που είναι μια αναδιάταξη των αριθμών (0123), αναλύεται σε πρώτους παράγοντες ως: 2013=3x11x61 παριστάνεται στο λατινικό σύστημα αρίθμησης ως: MMXIII και στο δυαδικό σύστημα αρίθμησης ως: (11111011101)2 To άθροισμα των ψηφίων της αναπαράστασης του 2013 στο δυαδικό… Read More ›
-
Η Γη, η Σελήνη και το Σογιούζ
… από τον Διεθνή Διαστημικό Σταθμό Αυτή η φωτογραφία λήφθηκε από τον Kevin Ford, αστροναύτη του Διεθνούς Διαστημικού Σταθμού, στις 21 Δεκκεμβρίου 2012,καθώς η ρωσική κάψουλα Σογιούζ πλησίαζε τον ΔΣΣ. Το διαστημικό σκάφος Soyuz μετέφερε τρεις αστροναύτες – το πλήρωμα… Read More ›
-
Βίντεο: ο χορός του πολικού σέλαος
-
Ευχές για το 2013 από τον Διαστημικό σταθμό
Ο επικεφαλής Kevin Ford και οι μηχανικοί πτήσης Chris Hadfield και Tom Marshburn στέλνουν στη Γη τις ευχές τους για το νέο έτος. εκ μέρους των αστροναυτών που βρίσκονται στον Διεθνή Διαστημικό Σταθμό στα πλαίσια της αποστολής Expedition 34: http://www.nasa.gov
-
Βίντεο: η απόκρυψη του Δία από τη Σελήνη
Ένα εκπληκτικό βίντεο με εικόνες του αστροφωτογράφου Rafael Defavari από το São Bernardo do Campo, στη Βραζιλία. Βλέπουμε τη Σελήνη να περνάει μπροστά από τον Δία τη νύχτα των Χριστουγέννων, στις 25 Δεκεμβρίου 2012. Παρά το γεγονός ότι ο Δίας… Read More ›
-
Ο πρώτος εξωπλανήτης που μοιάζει πραγματικά με τη Γη
… θα ανακαλυφθεί το 2013 Αυτή είναι η πρόβλεψη των κυνηγών πλανητών για το νέο έτος Ο πρώτος εξωπλανήτης που μοιάζει πραγματικά με τη Γη όσον αφορά το μέγεθος και τη δυνατότητά του να φιλοξενεί ζωή είναι πολύ πιθανό να… Read More ›
-
Μαγνητικά αιωρούμενος γραφίτης μετακινείται με laser
Η μαγνητική αιώρηση έχει επιτευχθεί για μια ποικιλία αντικειμένων, από τρένα μέχρι βατράχια (!) [π.χ. «Diamagnetic levitation: Flying frogs and floating magnets« A. K. Geim (Νόμπελ Φυσικής 2010 για το γραφένιο)] Τώρα σε μια νέα μελέτη, ερευνητές για πρώτη φορά… Read More ›
-
Οικονομία και Φυσική: Κοινοί τόποι
αναδημοσίευση από το e-cynical.blogspot.gr Αν καθίσετε και το καλοσκεφτείτε η Οικονομία και η Φυσική έχουν κάποια βασικά σημεία κοινά. Τόσο η πρώτη στο σύνολό της, όσο και η δεύτερη σε κάποιους σημαντικούς της κλάδους, βρίσκονται αντιμέτωπες με το πρόβλημα του πώς… Read More ›
-
Νέος κινητήρας ιόντων της NASA
…συμπλήρωσε 43.000 ώρες συνεχούς λειτουργίας Ένας νέος, ισχυρότερος κινητήρας ιόντων που δοκιμάζεται σε εργαστήριο της NASA συμπλήρωσε 43.000 ώρες συνεχούς λειτουργίας, ένα σημαντικό ορόσημο για την τελειοποίηση της τεχνολογίας που θα επέτρεπε μακρόχρονες περιοδείες πέρα από τη ζώνη των αστεροειδών…. Read More ›
-
Mια εντυπωσιακή εικόνα του Εγκέλαδου …
… που λήφθηκε από το διαστημικό σκάφος Cassini παραμονή Χριστουγέννων Η εικόνα λήφθηκε από το διαστημικό σκάφος Cassini στις 23 Δεκεμβρίου 2012 και έφθασε στη Γη στις 24 Δεκεμβρίου 2012. Η κάμερα συνέλαβε τον δορυφόρο του Κρόνου Εγκέλαδο από απόσταση… Read More ›
-
Επισκόπηση γεγονότων του 2012
Από τα επιστημονικά γεγονότα του 2012 ξεχωρίζουν η ανακοίνωση της ανακάλυψης του σωματιδίου Higgs και η προσεδάφιση του διαστημικού σκάφους Curiosity στον πλανήτη Άρη. Στη συνέχεια παρατίθενται μερικές από τις επιστημονικές ειδήσεις του 2012 που παρουσιάστηκαν στο physicsgg με χρονολογική… Read More ›
-
Apollo 8: Χριστούγεννα στη Σελήνη
Παραμονή Χριστουγέννων 1968. Οι αστροναύτες του Απόλλων 8 – Frank Borman, Jim Lovell και Bill Anders – έγιναν οι πρώτοι άνθρωποι που μπήκαν σε τροχιά γύρω από τη Σελήνη. Από την αποστολή του Απόλλων 8 προέκυψε και η διάσημη φωτογραφία… Read More ›
-
Διπλάσιος ρυθμός αύξησης θερμοκρασίας στη δυτ. Ανταρκτική
Η θερμοκρασία των πάγων της δυτικής Ανταρκτικής, η τήξη των οποίων θα συνέβαλλε κατά 10% στην αύξηση της στάθμης των ωκεανών, αυξάνεται δύο φορές ταχύτερα από όσο εθεωρείτο, σύμφωνα με τα αποτελέσματα αμερικανικής μελέτης που δημοσιεύονται στην επιθεώρηση Nature Geoscience…. Read More ›
-
Ένα νεφέλωμα σαν χριστουγεννιάτικο στολίδι
Πριν από μερικές ημέρες η NASA έδωσε στη δημοσιότητα τη φωτογραφία του πλανητικού νεφελώματος NGC 5189 το οποίο μοιάζει με χριστουγεννιάτικο στολίδι τυλιγμένο με λαμπερή κορδέλα. To νεφέλωμα NGC 5189 βρίσκεται σε απόσταση μερικών χιλιάδων ετών φωτός, στον αστερισμό της… Read More ›
-
Ορυχεία σε αστεροειδείς
Ορυχεία πάνω απ’ τη Γη! Στο υπέδαφος της Γης οι πόροι είναι πεπερασμένοι. Τις απαραίτητες πρώτες ύλες όμως μπορούμε να αναζητήσουμε και στο Διάστημα Βάρβογλης Χάρης – http://www.tovima.gr Ο παγκόσμιος πληθυσμός διαρκώς αυξάνεται, ενώ η διαθεσιμότητα πρώτων υλών ολοένα μειώνεται…. Read More ›
-
Tι είναι η κοσμική ακτινοβολία υποβάθρου;
(ή Κοσμική Ακτινοβολία Μικροκυμάτων – ΚΑΜ) Απόσπασμα από το βιβλίο του Ε. Ν. Οικονόμου: «Από τα κουάρκ μέχρι το Σύμπαν», Πανεπιστημιακές Εκδόσεις Κρήτης (…) Στο τέλος της δεκαετίας του 1920, ο μεγάλος αμερικανός αστρονόμος Hubble διαπίστωσε ότι όλοι οι μακρινοί γαλαξίες απομακρύνονται… Read More ›
-
3 νέα μέλη στο πλήρωμα του Διαστημικού Σταθμού
Το Soyuz έφτασε στον ISS με τρία νέα μέλη πληρώματος http://youtu.be/_YkeI9VXta4 Ένας Ρώσος, ένας Αμερικανός και ένας Καναδός αστροναύτης έφτασαν την Παρασκευή στο Διεθνή Διαστημικό Σταθμό (ISS), ανεβάζοντας στα έξι άτομα το πλήρωμα του πολυεθνικού τροχιακού εργαστηρίου. Οι τρεις νέοι… Read More ›
-
Το IQ είναι μύθος!
Η ανθρώπινη ευφυΐα δεν μετριέται με έναν μόνο δείκτη, διαπιστώνει νέα μελέτη ανατρέποντας τα νοητικά δεδομένα Ως έννοια τον έχουμε τοποθετήσει πολύ ψηλά και ως αριθμό όλοι θα θέλαμε να τον έχουμε όσο γίνεται ψηλότερο. Παρ’ όλα αυτά ο δείκτης… Read More ›
-
21-12-12: η συντέλεια της ανθρώπινης βλακείας
http://youtu.be/MeKU0nwY91U Παρά τα αμέτρητα άρθρα που δημοσιεύθηκαν τα προηγούμενα χρόνια, παρά τα βίντεο και τις συνεντεύξεις από γνωστούς αστρονόμους, παρά τα νέα αρχαιολογικά ευρήματα , και την τεκμηριωμένη επιστημονική γνώση βασισμένη στους νόμους της Φυσικής … πολλοί άνθρωποι πιστεύουν ακόμα πως… Read More ›
-
Οι εκτοξεύσεις Ariane 5 και Soyuz
O Ariane 5 συμπληρώνει επτά εκτοξεύσεις για το 2012 Χθες το βράδυ, ένας πύραυλος Ariane 5 εκτοξεύθηκε από το Διαστημικό κέντρο της Ευρώπης στη Γαλλική Γουιάνα με αποστολή να τοποθετήσει τους δύο τηλεπικοινωνιακούς δορυφόρους, τον Skynet-5D και τον Mexsat Bicentenario… Read More ›
-
Πως δημιουργώ μια δέσμη νετρίνων (βίντεο)
Σχετικά άρθρα: 1.Πως φτιάχνουμε μια δέσμη νετρίνων 2. Πως ανιχνεύουμε νετρίνα Νετρίνα δημιουργούνται: κατά την διάσπαση β ραδιενεργών πυρήνων, στο εσωτερικό του ήλιου ως προϊόντα των πυρηνικών αντιδράσεων σύντηξης, στα ανώτερα στρώματα της ατμόσφαιρας από τις κοσμικές ακτίνες, κατά τη διάρκεια… Read More ›
-
Πλανητικό σύστημα παρόμοιο με το δικό μας
… γύρω από το άστρο Tαυ στον αστερισμό του Κήτους Μια πολύ σημαντική ανακάλυψη έκανε διεθνής ομάδα επιστημόνων. Ανακάλυψε ότι σε ένα γειτονικό μας άστρο, το Tau Ceti, έχει σχηματιστεί ένα πλανητικό σύστημα που έχει κοινά χαρακτηριστικά με το δικό… Read More ›
-
Kβαντομηχανική και Ψυχολογία
απόσπασμα από το άρθρο του Νόρτον Μ. Γουάιζ «Πάσκουαλ Γιόρνταν: Κβαντομηχανική, ψυχολογία, εθνικοσοσιαλισμός» που περιέχεται στο βιβλίο: «Η ΚΡΙΣΗ ΣΤΗ ΦΥΣΙΚΗ ΚΑΙ Η ΔΗΜΟΚΡΑΤΙΑ ΤΗΣ ΒΑΪΜΑΡΗΣ, η πολιτισμική ιστορία της Κβαντικής Θεωρίας», ΑΡΑΜΠΑΤΖΗΣ Θ., ΓΑΒΡΟΓΛΟΥ Κ. (επιμ.), Πανεπιστημιακές Εκδόσεις Κρήτης (…) Είναι πολύ γνωστό… Read More ›
-
Υπολογιστές με αφή, όραση, ακοή, όσφρηση και γεύση
… στα επόμενα 5 χρόνια. Πέντε προβλέψεις της ΙΒΜ Κάθε χρόνο τον Δεκέμβριο, η IBM αποκαλύπτει την λίστα 5-in-5, δηλαδή κάνει προβλέψεις για πέντε τεχνολογίες που θα εισβάλλουν στην ζωή μας τα επόμενα πέντε χρόνια. Φέτος, είναι ιδιαίτερα εντυπωσιακή η… Read More ›
-
Oι εντυπώσεις του Richard Feynman από την Ελλάδα
Σάββατο 29 Ιουνίου 1980, Royal Olympic Hotel Αγαπημένες Γκουήνιθ και Μισέλ (και Καρλ;) Αυτή είναι η τρίτη μου μέρα στην Αθήνα. Σας γράφω καθισμένος δίπλα στην πισίνα του ξενοδοχείου, με το χαρτί στα γόνατά μου επειδή τα τραπέζια είναι πολύ… Read More ›
-
Βίντεο: Ακτίνες Χ, νόμος του Bragg και Curiosity
Διάλεξη του καθηγητή του ΜΙΤ, Michael Cima από την σειρά online μαθημάτων edX, και συγκεκριμένα από το μάθημα Χημείας Στερεάς Κατάστασης: 3.091x Introduction to Solid State Chemistry http://youtu.be/4KY7KcewxeU
-
Απόλλων 17: η τελευταία αποστολή στη Σελήνη πριν από 40 χρόνια
Με την αποστολή Απόλλων 17, πριν από 40 χρόνια, ο άνθρωπος έκανε τα τελευταία βήματά του στη Σελήνη. «Θα έρθει κάποια στιγμή που θα κοιτάζουμε το φεγγάρι Γη και θα ξέρουμε ότι εκεί ζουν άνθρωποι μόνιμα;» αναρωτιέται ο Andrew Chaikin, ο… Read More ›
-
21-12-12: οι ατέρμονες ψευδολογίες περί συντέλειας
21-12-12: Ψευδολογίες περί Συντέλειας του Αλέξη Δεληβοριά, Αστρονόμου του Ευγενιδείου Πλανηταρίου Εσχατολογικά σενάρια αποκάλυψης, απόκρυφες προβλέψεις επερχόμενης συντέλειας και καταστροφής του κόσμου εμφανίζονταν κατά καιρούς καθόλη τη διάρκεια της ανθρώπινης Ιστορίας. Στις μέρες μας, αντίστοιχα σενάρια κυκλοφορούν ευρέως στο Διαδίκτυο…. Read More ›
-
Βίντεο: η τελευταία πτήση των δίδυμων διαστημοπλοίων της NASA
Το τέλος της αποστολής GRAIL (νεώτερη ενημέρωση 18-12-2013) Οι δύο δίδυμοι δορυφόροι της NASA – οι Ebb και Flow – πραγματοποίησαν την Τρίτη την προβλεπόμενη πρόσκρουσή τους την Σελήνη στο πλαίσιο της 15μηνης αποστολής για τη μελέτη του πεδίου βαρύτητας… Read More ›
-
To Hubble αποκαλύπτει τους αρχαιότερους γαλαξίες
Ομάδα αστρονόμων στις ΗΠΑ εντόπισε με τη βοήθεια του διαστημικού τηλεσκοπίου Hubble επτά πανάρχαιους γαλαξίες. Πρόκειται για γαλαξίες που δημιουργήθηκαν όταν το Σύμπαν βρισκόταν ακόμη στη βρεφική του ηλικία. Ενας εξ αυτών μάλιστα ίσως είναι και ο αρχαιότερος γαλαξίας που… Read More ›
-
Βίντεο: το πέρασμα του αστεροειδούς Τουτάτις
Ο αστεροειδής Τουτάτις έκανε την Τετάρτη ένα ακίνδυνο κοντινό πέρασμα από τον πλανήτη μας Ο αστεροειδής Τουτάτις, που φέρει το όνομα του θεού των Γαλατών, πέρασε κοντά από τη Γη σε απόσταση 7 εκατομμυρίων χιλιομέτρων και με ταχύτητα 9.600 Km/h…. Read More ›
-
Ένας ποταμός υδρογονανθράκων στον Τιτάνα
«Μίνι Νείλος» ανακαλύφθηκε στον μακρινό Τιτάνα Το ραντάρ του διαστημικού σκάφους Cassini της NASA εντόπισε στο μεγαλύτερο φεγγάρι του Κρόνου ένα εξωγήινο αντίστοιχο του ποταμού Νείλου. Το ποτάμι που ανακαλύφθηκε στον Τιτάνα, συνολικού μήκους περίπου 400 χιλιομέτρων, εκβάλλει σε… Read More ›
-
Βίντεο: η αυτο-προσωπογραφία του Curiosity
To animation που ακολουθεί δείχνει το πως κινήθηκε η κάμερα MAHLI (Mars Hand Lens Image), που βρίσκεται στο άκρο του βραχίονα του διαστημικού ρόβερ Curiosity, ώστε να φωτογραφίσει από διάφορες οπτικές γωνίες τον εαυτό του. Aπό τον συνδυασμό αυτών των… Read More ›
-
«H Θεωρία της Σχετικότητας του Αϊνστάιν»
… είναι μια ταινία του βωβού κινηματογράφου, σε σκηνοθεσία των Max και Dave Fleischer, που κυκλοφόρησε το 1923 ! Τον Αύγουστο του 1922, το περιοδικό Scientific American ανακοίνωνε στους αναγνώστες του ότι γυρίστηκε μια βουβή ταινία που θα παρουσίαζε στο… Read More ›
-
Οδηγώντας αυτοκίνητο στη Σελήνη
Σαν σήμερα, πριν από σαράντα χρόνια, στις 11 Δεκεμβρίου 1972, ο αστροναύτης Eugene Α. Cernan, οδηγεί πάνω στη Σελήνη το ειδικά κατασκευασμένο ρόβερ για την αποστολή Απόλλων 17. Στο rover δεν είχει φορτωθεί ακόμη ο εξοπλισμός του. Η φωτογραφία τραβήχτηκε… Read More ›
-
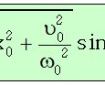
Η γενική λύση της απλής αρμονικής ταλάντωσης
Γιατί η εξίσωση x=Asin(ωt+φ) είναι η γενική λύση της διαφορικής εξίσωσης που περιγράφει την απλή αρμονική ταλάντωση Η πιο συνηθισμένη διαφορική εξίσωση στη Φυσική κρύβεται πίσω από τον 2ο νόμο του Newton ΣF = m α(t) ή ΣF = m… Read More ›
-
Η εξέλιξη του γιγαντιαίου άστρου HR 8752
… τα τελευταία 30 χρόνια Ουάσινγκτον Ομάδα ευρωπαίων ερευνητών δημοσίευσε τα ευρήματα από την πολυετή παρατήρηση ενός άστρου που ανήκει στην κατηγορία των «υπεργιγάντων». Πρόκειται για άστρα με διάμετρο δεκάδες ή και εκατοντάδες φορές μεγαλύτερη από αυτή του Ηλιου τα… Read More ›
-
Μετρώντας τα άστρα ενός γαλαξία
Η εικόνα προέρχεται από το διαστημικό τηλεσκόπιο Hubble. Οι λαμπερές κουκκίδες στο μέσον της εικόνας αποτελούν τα άστρα του γαλαξία ESO 318-13. Παρά το γεγονός ότι ο γαλαξίας αυτός βρίσκεται εκατομμύρια έτη φωτός μακριά από τη Γη, τα άστρα του… Read More ›
-
Διπλή έλικα DNA, 50 έτη μετά …
Μισός αιώνας συμπληρώνεται από την απονομή βραβείου Νομπέλ για την ανακάλυψη της δομής του DNA Αλαχιώτης Σταμάτης Ν. – www.tovima.gr Hταν 10.12.1962 και το Νομπέλ Ιατρικής κέρδιζε η συγκλονιστική ανακάλυψη για τη δομή του DNA, που είχε επιτευχθεί το 1953. Πρωταγωνιστής… Read More ›
-
Ζόμπι στον επιταχυντή του CERN (ολόκληρη η ταινία)
The LHC Zombie Movie Mια ομάδα υποψήφιων διδακτόρων στη φυσική των στοιχειωδών σωματιδίων γύρισε μια ταινία τρόμου … με ζόμπι. H ταινία διαδραματίζεται στον υπόγειο Mεγάλο Επιταχυντή Αδρονίων (LHC), κατά τη διάρκεια των πειραμάτων αναζήτησης του σωματιδίου Higgs ….. μετά… Read More ›
-
Nobel Φυσικής 2012: Οι διαλέξεις των Haroche και Wineland
Oι Serge Haroche (Σερζ Αρός) και David J. Wineland (Ντέιβιντ Γουάινλαντ) μοιράστηκαν το βραβείο Nobel Φυσικής 2012, για την έρευνά τους στον τομέα της πειραματικής κβαντικής φυσικής. (Διαβάστε σχετικά: «Στους μάγους της κβαντικής φυσικής το βραβείο Νόμπελ Φυσικής 2012») Στα… Read More ›
-
Ένα διαστελλόμενο σύμπαν χωρίς σκοτεινή ύλη και σκοτεινή ενέργεια
Μπορεί σήμερα οι έννοιες της σκοτεινής ύλης και της σκοτεινής ενέργειας να αποτελούν τους βασικούς πυλώνες στο κυρίαρχο κοσμολογικό «παράδειγμα», υπάρχουν όμως ακόμη επιστήμονες που διερευνούν κοσμολογικά μοντέλα τα οποία δεν έχουν ανάγκη ούτε τη σκοτεινή ύλη, ούτε τη σκοτεινή ενέργεια…. Read More ›
-
Charitum Montes: χιονισμένοι κρατήρες στον Άρη
H κάμερα υψηλής ανάλυσης του διαστημικού σκάφους Mars Express της ESA (Ευρωπαϊκός Οργανισμός Διαστήματος) που βρίσκεται σε τροχιά γύρω από το Άρη, φωτογράφησε στις 18 Ιουνίου την περιοχή Charitum Montes μια περιοχή του Κόκκινου Πλανήτη, κοντά στον κρατήρα Gale (τον… Read More ›
-
Απογραφή του αόρατου Σύμπαντος από Herschel και Keck
Συνδυάζοντας τις δυνατότητες παρατήρησης του διαστημικού παρατηρητηρίου Herschel της ESA και των επίγειων τηλεσκοπίων Keck, οι αστρονόμοι χαρακτήρισαν εκατοντάδες γαλαξίες με έντονο ρυθμό δημιουργίας αστέρων (στα αγγλικά ονομάζονται starburst galaxies) οι οποίοι δεν είχαν προηγουμένως παρατηρηθεί, αποκαλύπτοντας εξαιρετικά υψηλούς ρυθμούς… Read More ›
-
Ενδείξεις νερού και στον αστεροειδή «Εστία»
Μετά την αποστολή MESSENGER που εντόπισε νερό στους πόλους του Ερμή, τώρα το διαστημικό σκάφος Dawn βρήκε στην επιφάνεια της Εστίας γεωμορφολογικά χαρακτηριστικά που πιθανώς προκλήθηκαν από τη ροή νερού Νέες ενδείξεις νερού – οι πιο αναπάντεχες από κάθε άλλη… Read More ›
-
Τι συνάντησε ο Τζέιμς Κάμερον στα βαθύτερα σημεία της Γης
Εξωγήινη άβυσσος Tα απομονωμένα οικοσυστήματα που συνάντησε ο σκηνοθέτης Τζέιμς Κάμερον στα βαθύτερα σημεία των ωκεανών θα μπορούσαν να δώσουν στοιχεία για το πώς εμφανίστηκε η ζωή στη Γη, ανέφεραν ερευνητές της αποστολής, παρουσιάζοντας τα προκαταρκτικά ευρήματα σε αμερικανικό συνέδριο…. Read More ›
-
Εκλάμψεις ακτίνων γάμμα κατά τη διάρκεια καταιγίδων
… «βλέπει» το διαστημικό τηλεσκόπιο Fermi Χάρη στις βελτιωμένες τεχνικές ανάλυσης δεδομένων και ένα νέο τρόπο λειτουργίας, της συσκευής GBM (Gamma-ray Burst Monitor) του διαστημικού τηλεσκοπίου ακτίνων γ Fermi, ανιχνεύονται με δεκαπλάσια απόδοση, οι σύντομες εκλάμψεις των υψηλής ενέργειας φωτονίων, που… Read More ›
-
Η αποστολή GRAIL χαρτογραφεί την βαρύτητα της Σελήνης
O φλοιός της Σελήνης είναι εντελώς κονιορτοποιημένος (σε ποσοστό 98%) από τις πολλαπλές προσκρούσεις διαφόρων ουράνιων σωμάτων Η αποστολή GRAIL (Gravity Recovery And Interιor Laboratory), συνίσταται από τα δίδυμα διαστημόπλοια που φέρουν τα ονόματα Πλημμυρίδα και Άμπωτη (η εκτόξευσή τους… Read More ›
-
Bίντεο: πως φαίνεται η Γη τη νύχτα από δορυφόρο
Η όψη της Γης τη νύχτα από τον δορυφόρο Suomi NPP (Suomi National Polar-orbiting Partnership). Οι εικόνες είναι μια σύνθεση των δεδομένων που λήφθηκαν μέσα σε επτά ημέρες τον Απρίλιο και δεκατρείς ημέρες τον Οκτώβριο του 2012. Χρειάστηκαν 312 δορυφορικές… Read More ›
-
Η NASA θα στείλει νέο ρόβερ τύπου Curiosity στον Άρη το 2020
Τον «διάδοχο» του Curiosity ετοιμάζει η NASA Η NASA ανακοίνωσε, στο ετήσιο συνέδριο της Αμερικανικής Γεωφυσικής Ένωσης, ότι σχεδιάζει να στείλει ένα νέο ρομποτικό ρόβερ, παρόμοιο με το επιτυχημένο «Curiosity», στον Άρη το 2020, παρά τους περιορισμούς του προϋπολογισμού της…. Read More ›
-
Επίδραση μαγνήτη στο νήμα λαμπτήρα πυρακτώσεως
Στο βίντεο που ακολουθεί βλέπουμε την επίδραση ενός μόνιμου μαγνήτη στο μεταλλικό νήμα ενός λαμπτήρα πυρακτώσεως: η ταλάντωση του νήματος οφείλεται στην έλξη – άπωση μεταξύ μαγνήτη και νήματος (το νήμα καθώς διαρρέεται από ρεύμα μετατρέπεται μαγνήτη). http://youtu.be/CBFGQ9JAYTk
-
Το Voyager 1 εγκαταλείπει το ηλιακό μας σύστημα
«Όταν έχετε πάει εκεί όπου τίποτα δεν έχει πάει πριν, περιμένετε να γίνουν νέες ανακαλύψεις», Arik Posner ( επιστήμονας του προγράμματος Voyager) Το Voyager 1 εκτοξεύθηκε από τη Γη στις 5 Σεπτεμβρίου του 1977 και έχει διανύσει απόσταση 18 δισεκατομμύρια… Read More ›
-
Χλωροπαράγωγα του μεθανίου ανίχνευσε το Curiosity
… και μερικά μόρια νερού Μετά τη ”διαρροή” του John Grotzinger, επιστήμονα της NASA, ότι «συλλέχθηκαν συναρπαστικά δεδομένα από το μίνι χημικό εργαστήριο SAM του Curiosity, που θα γραφούν στα βιβλία ιστορίας» (βλέπε ΕΔΩ και ΕΔΩ) σύμφωνα με τις ανακοινώσεις των… Read More ›
-
Η εξέλιξη των ανδροειδών
Του Σπύρου Μανουσέλη – http://www.efsyn.gr Το όνειρο της κατασκευής της τέλειας ανθρωπόμορφης μηχανής -και πώς να μην είναι τέλεια η μηχανή που θα ήταν η «αυτοπροσωπογραφία» μας- διατρέχει όλη σχεδόν την ανθρώπινη ιστορία. Ωστόσο, τα υπέροχα ανδροειδή των προηγούμενων αιώνων… Read More ›
-
Έχω πάρει απ’ όλες τις θεωρίες και έφτιαξα μια δική μου
Θυμήθηκα το παραπάνω κόμικ του Αρκά όταν διάβαζα σήμερα ένα άρθρο με τίτλο «Σύντηξη στο σπίτι!» Το εν λόγω άρθρο αναβιώνει πάλι την ιστορία της σύντηξης νικελίου-υδρογόνου που ήρθε στη δημοσιότητα τον Μάρτιο του 2011 (;) με πρωταγωνιστή τον ιταλό… Read More ›
-
Spaun: η προσομοίωση του ανθρώπινου εγκεφάλου (βίντεο)
Δείτε ολόκληρη τη σειρά των βίντεο σχετικά με την προσομοίωση Spaun (Semantic Pointer Architecture Unified Network – Ενοποιημένο Δίκτυο Αρχιτεκτονικής Εννοιολογικού Δείκτη) ΕΔΩ: nengo.ca/build-a-brain/spaunvideos/ Ένα μοντέλο λογισμικού με την ονομασία Spaun, που προσομοιώνει τον ανθρώπινο εγκέφαλο, καταφέρνει να παίζει απλά παιχνίδια, να… Read More ›
-
Ηλεκτρονικό μικροσκόπιο «βλέπει» τη διπλή έλικα του DNA
Πολλά έχουν αλλάξει από τη δεκαετία του 1950, όταν οι επιστήμονες προσδιόρισαν έμμεσα τη δομή του DNA χρησιμοποιώντας ακτίνες Χ και εξυπνάδα. Τώρα, Ιταλοί ερευνητές παρουσιάζουν το πρώτο άμεσο πορτρέτο DNA σε ηλεκτρονικό μικροσκόπιο σάρωσης. Οι νανοπροεξοχές είχαν σχεδιαστεί προσεκτικά… Read More ›
-
Νέο βίντεο: η Γη από τον Διεθνή Διαστημικό Σταθμό
-
Νερό στους πόλους του Ερμή βρίσκει το MESSENGER
(νεώτερη ενημέρωση 17-10-2014) Το Messenger φωτογράφησε πάγο στον Ερμή Οι υπεύθυνοι της αποστολής Messenger της NASA, της πρώτης που τίθεται σε τροχιά γύρω από τον μικρό Ερμή, παρουσιάζουν τις πρώτες πραγματικές φωτογραφίες του πάγου -εικόνες στο φάσμα του ορατού φωτός…. Read More ›





