
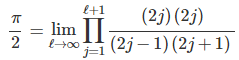
Μια εξίσωση που υπολογίζει τον αριθμό π ως απειρογινόμενο είναι η εξής:
Ο παραπάνω τύπος αποδείχθηκε από τον John Wallis το 1655 με μια μέθοδο διαδοχικών παρεμβολών.
Πριν από δεκαπέντε μέρες περίπου οι C. R. Hagen και Tamar Friedmann δημοσίευσαν ένα άρθρο με τίτλο «Quantum Mechanical Derivation of the Wallis Formula for π» , όπου αποδεικνύεται ο τύπος Wallis μέσα από την επίλυση μιας άσκησης κβαντομηχανικής σχετικά με τις ενεργειακές στάθμες του ατόμου του Υδρογόνου.
Υπενθυμίζεται ότι ο C. R. Hagen, μαζί με τους G. S. Guralnik και T. W. B. Kibble, με το κλασικό άρθρο τους «Global Conservation Laws and Massless Particles» συνέβαλαν, εξίσου με τον Peter Higgs, στη θεωρητική ανακάλυψη του μποζονίου Higgs.
To άτομο του Υδρογόνου είναι το μοναδικό άτομο του περιοδικού πίνακα στοιχείων για το οποίο η εξίσωση Schrödinger μπορεί να επιλυθεί ακριβώς (αρκεί βέβαια να περιοριστούμε μόνο στην ηλεκτροστατική αλληλεπίδραση πρωτονίου – ηλεκτρονίου).
Όταν στην κβαντομηχανική θέλουμε να μελετήσουμε πιο περίπλοκες καταστάσεις άλλων ατόμων ή ιόντων ή ακόμα και το ίδιο το άτομο του υδρογόνου που διαταράσσεται από ένα ηλεκτρικό πεδίο, τότε χρησιμοποιούμε προσεγγιστικές μεθόδους, π.χ την μέθοδο των διαταραχών ή την μέθοδο των μεταβολών.
Οι Friedmann και Hagen χρησιμοποίησαν μια τέτοια προσεγγιστική μέθοδο, συγκεκριμένα την μέθοδο των μεταβολών, για προσδιορίσουν το ήδη γνωστό φάσμα του ατόμου του υδρογόνου.
Τι είναι η μέθοδος των μεταβολών;
Πρόκειται για μια μέθοδο η ρίζα της οποίας βρίσκεται στην παρακάτω προφανή πρόταση:
Η μέση τιμή ενός τυχόντος στατιστικού μεγέθους είναι πάντα μεγαλύτερη ή ίση από την ελάχιστη τιμή του.
Για παράδειγμα: Το μέσο εισόδημα μιας χώρας είναι πάντα μεγαλύτερο ή ίσο από το εισόδημα του πιο φτωχού!
Στην κβαντομηχανική οι δυνατές τιμές ενός φυσικού μεγέθους είναι οι ιδιοτιμές του, οπότε η παραπάνω πρόταση μπορεί να αναδιατυπωθεί στα πλαίσια της κβαντομηχανικής ως εξής:
Η μέση τιμή ενός τυχόντος κβαντομηχανικού μεγέθους είναι πάντα μεγαλύτερη ή ίση από την ελάχιστη ιδιοτιμή του.
Επομένως και για την ενέργεια θα ισχύει:
Η μέση τιμή της ενέργειας ενός κβαντικού συστήματος, για μια τυχούσα κυματοσυνάρτηση θα είναι πάντα μεγαλύτερη ή ίση από την ενέργεια της θεμελιώδους στάθμης του.
Η ανισότητα αυτή αποτελεί την αφετηρία για τον προσεγγιστικό υπολογισμό της ενέργειας της θεμελιώδους στάθμης, αρκεί να μαντέψουμε σωστά την μορφή της κυματοσυνάρτησης, η οποία θα περιέχει τουλάχιστον μια παράμετρο λ που πρέπει να προσδιοριστεί. Εισάγουμε την παραμετρική αυτή συνάρτηση στην κβαντομηχανική έκφραση που υπολογίζει την μέση τιμή της ενέργειας, και στη συνέχεια ψάχνουμε για την τιμή λ που ελαχιστοποιεί την μέση ενέργεια.
Αν η δοκιμαστική συνάρτηση έχει επιλεγεί σωστά, διαθέτει δηλαδή τα βασικά προσόντα της σωστής κυματοσυνάρτησης, τότε η ενέργεια της θεμελιώδους στάθμης που θα προκύψει με τη μέθοδο των μεταβολών θα είναι μια πολύ καλή προσέγγιση της πραγματικής εκ των άνω. Μπορούμε να αυξήσουμε όσο θέλουμε την ακρίβεια του υπολογισμού διαλέγοντας δοκιμαστικές συναρτήσεις με ολοένα μεγαλύτερο πλήθος παραμέτρων.
Η μέθοδος αυτή μπορεί να επεκταθεί και στις ανώτερες ενεργειακές στάθμες. Η επέκταση βασίζεται στο γεγονός ότι και οι ανώτερες ιδιοσυναρτήσεις ελαχιστοποιούν επίσης την έκφραση της μέσης ενέργειας αν περιοριστούμε σε ένα κατάλληλο σύνολο κυματοσυναρτήσεων.
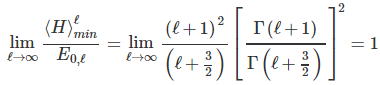
Αυτό ακριβώς έκαναν Friedmann και Hagen επιχειρώντας να προσδιορίσουν τις ήδη γνωστές ενεργειακές στάθμες του ατόμου του υδρογόνου με την προσεγγιστική μέθοδο των μεταβολών. Γνωρίζοντας την απάντηση του προβλήματος (η εξίσωση Schrödinger μπορεί να επιλυθεί ακριβώς για το άτομο του Υδρογόνου) μπορούσαν να συγκρίνουν την προσέγγιση που επιτυγχάνει η μέθοδος των μεταβολών με τις ακριβείς τιμές των ενεργειακών σταθμών και να καταλήξουν στην παρακάτω εξίσωση που περιέχει τη γνωστή συνάρτηση γάμα:

Χρησιμοποιώντας τις γνωστές ιδιότητες της συνάρτησης γάμα έφτασαν εύκολα στην εξίσωση Wallis για τον αριθμό π:

Πρόκειται για μια κομψή σύνδεση του π με την κβαντομηχανική που θα μπορούσε να έχει βρεθεί πριν από 80 χρόνια, αλλά δεν είχε ανακαλυφθεί μέχρι τώρα!
Πηγές: www.rochester.edu – scitation.aip.org
Περισσότερες λεπτομέρειες για τη μέθοδο των μεταβολών μπορεί να βρει κανείς στην ΚΒΑΝΤΟΜΗΧΑΝΙΚΗ ΙΙ του Στέφανου Τραχανά
Κατηγορίες:ΚΒΑΝΤΙΚΗ ΘΕΩΡΙΑ, ΜΑΘΗΜΑΤΙΚΑ
Σχολιάστε