
Το όριο Greisen–Zatsepin–Kuzmin (GZK) είναι ένα θεωρητικό άνω όριο στην ενέργεια των κοσμικών ακτίνων που τίθεται εξαιτίας της αλληλεπίδρασης με τα φωτόνια της κοσμικής ακτινοβολίας υποβάθρου
Η απόλυτη ταχύτητα στο Σύμπαν είναι εκείνη του φωτός, με την οποία κινούνται όλα τα σωματίδια που δεν έχουν μάζα. Τα σωματίδια που έχουν μάζα είναι ωστόσο μία διαφορετική υπόθεση αφού όση ενέργεια και εάν τους δοθεί ποτέ δε θα αγγίξουν την ταχύτητα του φωτός. Για αυτά τα σωματίδια όμως υπάρχει ένα άλλο όριο, που σχετίζεται με την ηλικία του Σύμπαντος και την ακτινοβολία από τη Μεγάλη Έκρηξη που το δημιούργησε, πριν από 13.8 δισεκατομμύρια χρόνια.
Τα πιο ενεργά σωματίδια με μάζα που έχουν ποτέ εντοπισθεί, είναι πρωτόνια και πυρήνες ατόμων με προέλευση από μακρινές σουπερνόβα, εκρήξεις άστρων δηλαδή στις οποίες εκλύονται τεράστιες ποσότητες ενέργειας. Ακόμη όμως και αυτά τα πολύ ενεργά σωματίδια τα οποία σχηματίζουν τις λεγόμενες κοσμικές ακτίνες, σέβονται ένα «τεχνητό» όριο ταχύτητας που ονομάζεται όριο GZK, από τα ονόματα των Greisen, Zatsepin και Kuzmin που το επινόησαν.
Το όριο Greisen–Zatsepin–Kuzmin (GZK) είναι ένα θεωρητικό άνω όριο στην ενέργεια των κοσμικών ακτίνων – φορτισμένα σωμάτια υψηλής ενέργειας που προέρχονται από απομακρυσμένες πηγές του διαστήματος. Το όριο είναι 5•1019 eV ή περίπου 8 Joules και προκύπτει από τους υπολογισμούς αλληλεπίδρασης των ελαφρότερων κοσμικών ακτίνων (πρωτόνια), με τα φωτόνια της κοσμικής ακτινοβολίας υποβάθρου, καθώς τα πρωτόνια διανύουν μεγάλες αποστάσεις (περίπου 163 εκατομμύρια έτη φωτός). Το όριο GZK έχει την ίδια τάξη μεγέθους με το ανώτατο όριο ενέργειας στο οποίο έχουν ανιχνευθεί πειραματικά οι κοσμικές ακτίνες.
Ο υπολογισμός του ορίου έγινε το 1966 από τους Kenneth Greisen: «End to the Cosmic-Ray Spectrum?», και ανεξάρτητα από τους Vadim Kuzmin, και Georgiy Zatsepin: «Upper limit of the spectrum of cosmic rays»
Παραβίαση του ορίου GZK θα είχε επιπτώσεις στη θεωρητική φυσική – ο Lee Smolin είχε πει πως αν επιβεβαιωνόταν μαι τέτοια παραβίαση θα αποτελούσε μια από τις σημαντικότερες ανακαλύψεις των τελευταίων εκατονταετιών και θα προκαλούσε μια νέα επιστημονική επανάσταση.
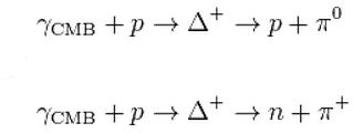
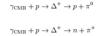
Οι τρεις επιστήμονες έδειξαν πως οι αλληλεπιδράσεις των κοσμικών ακτινών με τα φωτόνια από την ακτινοβολία υποβάθρου, τον απόηχο δηλαδή της Μεγάλης Έκρηξης, εμποδίζει τα ενεργά σωματίδια να επιταχυνθούν σε ταχύτητες μεγαλύτερες ενός ορίου. Αυτό συμβαίνει επειδή η σύγκρουση των φωτονίων με τα ενεργά σωματίδια επιφέρει τη δημιουργία νέων σωματιδίων, τα οποία απορροφούν την ενέργεια των κοσμικών ακτινών. Έτσι εάν ένα σωματίδιο διανύσει μια ικανοποιητικά μεγάλη απόσταση στο Σύμπαν, οι επιστήμονες πιστεύουν πως θα πρέπει η ταχύτητα του να είναι το πολύ ίση με το όριο GZK. Παρόλα αυτά όμως έχουν υπάρξει πειράματα (AGASA) στα οποία έχουν εντοπισθεί σωματίδια με ταχύτητες που υπερβαίνουν το όριο GZK, κάτι που δημιούργησε το «παράδοξο των κοσμικών ακτινών».
Η πρώτη λύση που σκέφτηκαν οι αστροφυσικοί στο συγκεκριμένο παράδοξο ήταν πως ίσως η πηγή αυτών των σωματιδίων βρισκόταν σχετικά κοντά μας, ούτως ώστε τα σωματίδια να μην προλαβαίνουν να επιβραδυνθούν από τις συγκρούσεις με την ακτινοβολία υποβάθρου. Γρήγορα όμως έγινε αντιληπτό πως δεν υπάρχει τέτοια πηγή αρκετά κοντά μας ώστε να εξηγεί αυτή τη συμπεριφορά, κάτι που οδήγησε στην πρόταση των σκοτεινών σουπερνόβα, κατ’ αναλογία με τη σκοτεινή ενέργεια και τη σκοτεινή ύλη.
Ορισμένοι άλλοι επιστήμονες πρότειναν επίσης τροποποίηση της ειδικής σχετικότητας (Doubly special relativity), μια επαναδιατύπωση της θεωρίας του Αϊνστάιν, όπου ως απόλυτη σταθερά στο Σύμπαν πέρα από την ταχύτητα του φωτός, είναι και το μήκος Πλανκ, το μικρότερο μήκος στο Σύμπαν, αλλά και η ενέργεια Πλανκ, η μέγιστη ενέργεια στο Σύμπαν. [Διαβάστε σχετικά: Theodore G. Pavlopoulos, «Are we observing Lorentz violation in gamma ray»
bursts?]. Η συγκεκριμένη θεωρία θα μπορούσε να αποτελεί μία λύση στο παράδοξο, και ταυτόχρονα να μεταμορφώνει όλη τη σύγχρονη φυσική.
Τα νέα δεδομένα ωστόσο δείχνουν πως το Σύμπαν αυτή τη φορά αποφάσισε να μη μας εκπλήξει, καθώς υποδεικνύουν πως η ανίχνευση υπερενεργών κοσμικών ακτινών στο παρελθόν ίσως να ήταν απλά θέμα προβληματικών ανιχνευτών. Οι νέες μελέτες με ανιχνευτές σωματιδίων τελευταίας τεχνολογίας δεν έχουν μέχρι σήμερα ανιχνεύσει κάποια παράβαση του ορίου GZK, απογοητεύοντας ίσως ορισμένους που ήλπιζαν σε κάτι πιο επαναστατικό.
naftemporiki.gr – io9.com – wikipedia.org
Κατηγορίες:ΑΣΤΡΟΦΥΣΙΚΗ, ΣΤΟΙΧΕΙΩΔΗ ΣΩΜΑΤΙΑ, ΣΧΕΤΙΚΟΤΗΤΑ

Κοντά στην πρόσφατη ομιλία του Smoot (http://www.youtube.com/watch?v=Chfoo9NBEow)
και στο άρθρο του Frenkel (http://www.nytimes.com/2014/02/16/opinion/sunday/is-the-universe-a-simulation.html) για τη συζήτηση που έχει ανοίξει πάνω στις υποθέσεις του Bostrom περί προσομοιώσεως (http://en.wikipedia.org/wiki/Simulation_hypothesis) θα είναι κρίμα πιστεύω να μην αναφερθεί κανείς σε αυτήν την εργασία http://arxiv.org/abs/1210.1847 όπου κάτω από το οπλοστάσιο της κβαντικής χρωμοδυναμικής πάνω σε 4D διακριτό χωροχρονικό πλέγμα συγκεκριμένου διαστήματος (κλίμακας ~ fm), υπάρχει -έστω και σαν wishful thinking ακόμα- ο ισχυρισμός ότι μια παραβίαση του ορίου GZK (αν όντως αυτή υφίσταται και δεν πρόκειται για πειραματικό σφάλμα) από υπερενεργείς κοσμικές ακτίνες, παρέχει ενδείξεις περί αριθμητικής προσομοιώσεως. Συγκεκριμένα διαβάζουμε πως, «For lattice spacings corresponding to an energy scale comparable to the GKZ cut-off, the cosmic ray spectrum will exhibit significant deviations from isotropy, revealing the cubic structure of the lattice.» Μερικά εισαγωγικά στοιχεία για τους υπολογισμούς τύπου Monte-Carlo σε lattice-gauge QCD με υπερυπολογιστές που χρησιμοποιούν GPU computing (όπως ο TITAN)
μπορεί κανείς να βρει σε slides εδώ: http://on-demand.gputechconf.com/gtc/2013/presentations/S3153-Lattice-QCD-Collider-Experiments.pdf και εδώ: http://www.ectstar.eu/sites/www.ectstar.eu/files/seminars/ECT_hatsuda_9.14.2013_web.pdf
ενώ για την ιδέα σύνδεσης GZK και «matrix» εδώ: http://www.damtp.cam.ac.uk/user/tong/talks/integers.pdf
και κυρίως εδώ (προσοχή, 26MB)
Κάνε κλικ για να αποκτήσεις πρόσβαση Slides_t_pdf.pdf
… σας ευχαριστούμε για τις πολύ ενδιαφέρουσες επισημάνσεις – αναφορές