Παρατηρήστε ότι τα σχήματα καθώς πέφτουν μεγαλώνουν. Γιατί άραγε συμβαίνει αυτό;;………
Για να απαντήσουμε το ερώτημα εξετάζουμε μια απλούστερη περίπτωση. Θεωρούμε μια βρύση που αφήνει μόνο δυο σταγόνες νερού την μια μετά την άλλη. Οι δυο σταγόνες ξεκινούν από το ίδιο σημείο, αλλά με διαφορά χρόνου 0,2 δευτερολέπτων. Ας δούμε τώρα στο επόμενο βίντεο πως θα είναι η πτώση τους
http://youtu.be/tvcDhSrEa8Q
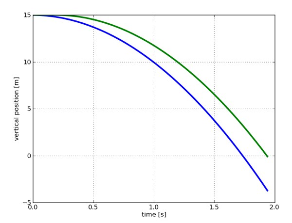
Παρατηρούμε το ίδιο φαινόμενο με τους ιαπωνικούς καταρράκτες. Καθώς οι δυο σταγόνες πέφτουν, η μεταξύ τους απόσταση αυξάνει. Ιδού και το διάγραμμα που δείχνει την κατακόρυφη θέση των σταγόνων ως συνάρτηση του χρόνου.
Το παρακάτω διάγραμμα δείχνει την απόσταση μεταξύ των σταγόνων συναρτήσει του χρόνου
Αν εξαιρέσουμε ένα πολύ μικρό χρονικό διάστημα στην αρχή – όταν η δεύτερη σταγόνα δεν έχει ακόμη αρχίσει την πτώση της – η απόσταση μεταξύ των σταγόνων αυξάνει με έναν σταθερό ρυθμό. Όσο περισσότερο πέφτουν τόσο περισσότερο αυξάνεται η απόστασή τους.
Εδώ θα σκεφτεί κάποιος: αν οι σταγόνες πέφτουν με χρονική διαφορά 0,2 δευτερολέπτων δεν θάπρεπε να φτάσουν στο έδαφος με την ίδια χρονική διαφορά; Πράγματι αυτό κάνουν. Όμως και οι δυο σταγόνες καθώς πέφτουν κινούνται όλο και γρηγορότερα και γι αυτό αυξάνεται η κατακόρυφη μεταξύ τους απόσταση.
Ας το δούμε και λίγο μαθηματικά…
Έστω ότι οι δυο σταγόνες αφήνονται από ύψος h. Tότε η κατακόρυφη θέση της πρώτης σταγόνας θα δίνεται από την εξίσωση
y1 = h – 1/2 g t2
(για t=0 πρέπει y1=0)
η κατακόρυφη θέση της δεύτερης σταγόνας από την εξίσωση
y2=h -1/2 g (t – td)2
Γιατί (t-td) ; Διότι για t= td ισχύει y2=h.
Η απόσταση μεταξύ των δυο σταγόνων θα είναι
Δy = y2 – y1 = … = g td t -1/2 g td2
ή
Δy = 1,96 t -0,196
Από την τελευταία εξίσωση βλέπουμε ότι απόσταση μεταξύ των δυο σταγόνων αυξάνει γραμμικά με το χρόνο και ότι κάθε δευτερόλεπτο η απόσταση τους αυξάνεται κατά 1,96 μέτρα.
www.wired.com


Σχολιάστε