Πριν από περίπου τρία χρόνια, οι Wolfgang «Wolfi» Mittig και Yassid Ayyad αναζητούσαν την αόρατη μάζα του σύμπαντος, γνωστή ως σκοτεινή ύλη, στην καρδιά ενός ατόμου. Η αναζήτηση εκείνη δεν τους οδήγησε στη σκοτεινή ύλη, βρήκαν όμως κάτι που δεν είχαν δει ποτέ μέχρι τότε, κάτι που δεν μπορούσαν να εξηγήσουν.
Σύμφωνα με τον Mittig: «Ήταν κάτι σαν αστυνομική ιστορία. Ξεκινήσαμε να ψάχνουμε για σκοτεινή ύλη και δεν τη βρήκαμε. Αντίθετα, βρήκαμε άλλα πράγματα που ήταν δύσκολο να εξηγηθούν από τη θεωρία».
Έτσι, συνέχισαν τα πειράματά τους στο NSCL (National Superconducting Cyclotron Laboratory) που βρίσκεται στο Πανεπιστήμιο του Μίσιγκαν, συγκεντρώνοντας όλο και περισσότερα δεδομένα.
Τα αποτελέσματα της έρευνας δημοσιεύθηκαν στις 28 Ιουνίου στο περιοδικό Physical Review Letters [Evidence of a Near-Threshold Resonance in 11B Relevant to the β-Delayed Proton Emission of 11Be], όπου αποκαλύπτεται μια ενδιαφέρουσα φυσική που βρίσκεται σε εξέλιξη στο εξαιρετικά μικρό κβαντικό βασίλειο των υποατομικών σωματιδίων.
Πιο συγκεκριμένα, η ομάδα επιβεβαίωσε ότι όταν ο πυρήνας ενός ατόμου είναι «παραγεμισμένος» με νετρόνια, μπορεί να βρει έναν ακόμα τρόπο προς μια πιο σταθερή διαμόρφωση: αποβάλλει ένα πρωτόνιο!
Έχει σχέση αυτή η διάσπαση με την σκοτεινή ύλη;
Οι φυσικοί πραγματοποίησαν(-ούν) γύρω στα 100 πειράματα για να βρουν τι ακριβώς είναι η σκοτεινή ύλη. Κανένα από αυτά δεν πέτυχε μετά από 20, 30, 40 χρόνια έρευνας.
Υπήρχε όμως μια θεωρία, μια πολύ υποθετική ιδέα, ότι θα μπορούσε κανείς να παρατηρήσει την σκοτεινή ύλη με έναν πολύ συγκεκριμένο τύπο πυρήνα. Αυτή η θεωρία βασίζεται σε αυτό που αποκαλείται σκοτεινή διάσπαση. Υποθέτει ότι ορισμένοι ασταθείς πυρήνες, θα μπορούσαν να εκπέμψουν σκοτεινή ύλη καθώς θρυμματίζονται.
Έτσι, οι Ayyad, ο Mittig και οι συνεργάτες τους σχεδίασαν ένα πείραμα που θα μπορούσε να αναζητήσει μια «σκοτεινή» διάσπαση ατομικού πυρήνα, γνωρίζοντας ότι οι πιθανότητες ήταν συντριπτικά εναντίον τους. Αλλά το στοίχημα δεν είχε και τόσο μεγάλο ρίσκο όσο ακούγεται, διότι η ανίχνευση εξωτικών διασπάσεων επιτρέπει επίσης στους ερευνητές να κατανοήσουν καλύτερα τους κανόνες και τις δομές του πυρηνικού και κβαντικού κόσμου. Οι ερευνητές είχαν μια καλή ευκαιρία να ανακαλύψουν κάτι νέο. Το ερώτημα ήταν τι θα ήταν αυτό.
Βοήθεια από μια άλω
Όταν οι άνθρωποι φαντάζονται έναν πυρήνα, πολλοί σκέφτονται μια άμορφη μπάλα που αποτελείται από πρωτόνια και νετρόνια. Αλλά οι πυρήνες μπορούν να έχουν περίεργα σχήματα, συμπεριλαμβανομένων και αυτών που είναι γνωστοί ως πυρήνες με άλω.
Το βηρύλλιο-11 είναι ένα παράδειγμα τέτοιου πυρήνα. Είνα ένα ισότοπο του στοιχείου βηρύλλίου που έχει τέσσερα πρωτόνια και επτά νετρόνια στον πυρήνα του. Διατηρεί τα 10 από τα 11 πυρηνικά σωματίδιά του σε ένα πυκνό κεντρικό σύμπλεγμα. Αλλά ένα νετρόνιο βρίσκεται πολύ μακριά και χαλαρά συνδεδεμένο με τον υπόλοιπο πυρήνα.
Το βηρύλλιο-11 είναι ασταθές. Ο χρόνος ζωής του είναι περίπου 13,8 δευτερόλεπτα και υφίσταται διάσπαση βήτα. Πιο συγκεκριμένα, η διάσπαση β– σχετίζεται με την μετατροπή ενός νετρονίου σε πρωτόνιο στον πυρήνα του ατόμου (), που συνοδεύεται με την εκπομπή ενός ηλεκτρονίου και ενός αντινετρίνο. Έτσι προκύπτει ένας σταθερός πυρήνας βορίου-11, με πέντε πρωτόνια και έξι νετρόνια:
.
Αλλά σύμφωνα με αυτήν την πολύ υποθετική θεωρία, εάν το νετρόνιο που διασπάται είναι αυτό στην άλω του πυρήνα, το βηρύλλιο-11 θα μπορούσε να υποστεί μια σκοτεινή διάσπαση!
Το 2019, οι ερευνητές ξεκίνησαν ένα πείραμα στον επιταχυντή σωματιδίων του Καναδά, TRIUMF, αναζητώντας αυτή την πολύ υποθετική διάσπαση. Και βρήκαν μια αποσύνθεση με απροσδόκητα μεγάλη πιθανότητα, αλλά τελικά δεν ήταν μια σκοτεινή διάσπαση.
Φαινόταν ότι το χαλαρά δεσμευμένο νετρόνιο του βηρυλλίου-11 εκτόξευε ένα ηλεκτρόνιο όπως στην κανονική διάσπαση β–, ωστόσο το βηρύλλιο δεν ακολουθούσε την γνωστή διαδρομή διάσπασης προς το βόριο.
Η ομάδα υπέθεσε ότι η υψηλή πιθανότητα της διάσπασης θα μπορούσε να εξηγηθεί αν υπήρχε μια κατάσταση στο βόριο-11 ως πύλη για μια διαφορετική διάσπαση, προς βηρύλλιο-10 και ένα πρωτόνιο:. Αυτό σήμαινε ότι ο πυρήνας δεν μεταστοιχειώθηκε, παρέμεινε πάλι βηρύλλιο. Μόνο που τώρα είχε έξι νετρόνια αντί για επτά.
Πρόκειται για έναν εξωτικό τύπο ραδιενέργειας. Ήταν στην πραγματικότητα η πρώτη άμεση απόδειξη ραδιενέργειας πρωτονίων από έναν πλούσιο σε νετρόνια πυρήνα.
Όμως αυτή η κατάσταση «πύλης» στο βόριο-11 δεν φαινόταν συμβατή με τα περισσότερα θεωρητικά μοντέλα. Και το αποτέλεσμα αντιμετωπίστηκε με σκεπτικισμό.

Τα πειράματα στο NSCL
Στο πείραμα της ομάδας του 2019, ο επιταχυντής TRIUMF δημιούργησε μια δέσμη πυρήνων βηρυλλίου-11 η οποία κατευθύνθηκε σε έναν θάλαμο ανίχνευσης όπου οι ερευνητές παρατήρησαν τους πιθανούς τρόπους διάσπασης. Αυτό περιελάμβανε την διαδικασία διάσπασης βήτα με εκπομπή πρωτονίων απο την οποία προκύπτει το βηρύλλιο-10.
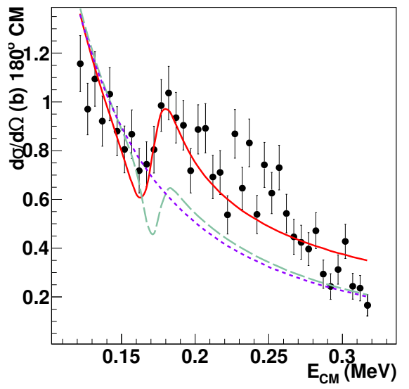
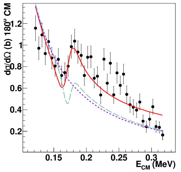
Στα νέα πειράματα, που πραγματοποιήθηκαν τον Αύγουστο του 2021, η ιδέα της ομάδας ήταν να πραγματοποιήσει την αντίστροφη πυρηνική αντίδραση. Δηλαδή, να προσθέσουν στους πυρήνες βηρυλλίου-10 ένα πρωτόνιο. Δημιούργησαν μια πηγή βηρυλλίου-10, το οποία έχει χρόνο ημιζωής 1,4 εκατομμύρια έτη περίπου, από την οποία θα μπορούσαν στη συνέχεια να παράξουνν ραδιενεργές δέσμες βηρυλλίου-10.
Όταν το βηρύλλιο-10 απορροφούσε ένα πρωτόνιο με την κατάλληλη ενέργεια, προέκυπτε ο διεγερμένος πυρήνας που οι ερευνητές πίστευαν ότι ανακάλυψαν πριν από τρία χρόνια νωρίτερα. Επιπλέον, το εκπεμπόμενο πρωτόνιο μπορούσε να ανιχνευθεί ως υπογραφή της διαδικασίας. Σύμφωνα με τον Ayyad: «Τα αποτελέσματα των δύο πειραμάτων είναι πολύ συμβατά».

Εν τω μεταξύ, μια άλλη ανεξάρτητη ερευνητική ομάδα από το Πανεπιστήμιο της Φλόριντα είχε επινοήσει έναν διαφορετικό τρόπο για να διερευνήσει το αποτέλεσμα του 2019. Οι δύο ομάδες ήρθαν σε επαφή και συνέκριναν τα αποτελέσματά τους. Τα οποία δεν πέρασαν απαρατήρητα από την επιστημονική κοινότητα.
Μια ανοιχτή υπόθεση στα ανοιχτά κβαντικά συστήματα
Τα πειράματα αυτά θα μπορούσαν να συνεισφέρουν στην μελέτη των λεγόμενων ανοιχτών κβαντικών συστημάτων. Τα ανοιχτά κβαντικά συστήματα είναι κυριολεκτικά παντού, αλλά το να βρεις ένα που να είναι παραγματοποιήσιμο ώστε να μάθεις κάτι από αυτό είναι πρόκληση, ειδικά σε θέματα ατομικών πυρήνων. Οι Mittig και Ayyad είδαν μία τέτοια δυνατότητα στους χαλαρά συνδεδεμένους πυρήνες. Τα ανοιχτά κβαντικά συστήματα είναι ένα γενικό φαινόμενο, αλλά είναι μια νέα ιδέα στην πυρηνική φυσική.

Αλλά αυτή η αστυνομική ιστορία είναι ακόμα στα πρώτα της κεφάλαια. Για την ολοκλήρωσή της οι φυσικοί χρειάζονται περισσότερα δεδομένα για να κατανοήσουν πλήρως αυτό που βλέπουν. Αυτό σημαίνει ότι θα συνεχίσουν να πειραματίζονται και να ερευνούν.
πηγή: https://msutoday.msu.edu/news/2022/halos-and-dark-matter – https://cds.cern.ch/record/2815202/files/2205.04973.pdf
Κατηγορίες:ΠΥΡΗΝΙΚΗ ΦΥΣΙΚΗ, ΣΚΟΤΕΙΝΗ ΕΝΕΡΓΕΙΑ

Σχολιάστε