Συμπέρασμα: Αυθαίρετο το μέτρο της απόστασης δύο μέτρων
Ο κανόνας της τήρησης απόστασης δύο μέτρων για λόγους προφύλαξης εν μέσω πανδημίας είναι ένας μάλλον αυθαίρετος και τυχαία επιλεγμένος αριθμός, παρά κάποιο σαφές μέτρο ασφάλειας, σύμφωνα με μια νέα επιστημονική έρευνα του Πανεπιστημίου του Κέιμπριτζ στη Βρετανία, με επικεφαλής έναν Έλληνα επιστήμονα της διασποράς.
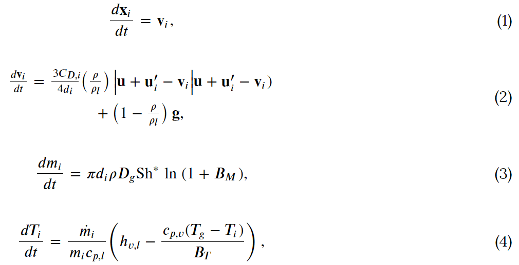
Οι ερευνητές, με επικεφαλής τον καθηγητή εφαρμοσμένης θερμοδυναμικής Επαμεινώνδα Μαστοράκο του Τμήματος Μηχανικών (και με τη συμβολή ενός ακόμη Έλληνα ερευνητή στην ίδια σχολή, του μηχανολόγου-μηχανικού Σάββα Γκαντώνα, απόφοιτου του ΑΠΘ), οι οποίοι έκαναν τη σχετική δημοσίευση στο περιοδικό Φυσικής των Ρευστών “Physics of Fluids”, χρησιμοποίησαν υπολογιστικά μοντέλα και προσομοιώσεις για να μελετήσουν πώς εξαπλώνονται τα σταγονίδια του βήχα.

Βρήκαν ότι, χωρίς τη χρήση μάσκας, ένας άνθρωπος με Covid-19 που βήχει, μπορεί να μολύνει έναν άλλον άνθρωπο σε απόσταση τουλάχιστον δύο μέτρων ή και περισσότερο, ακόμη και σε ανοικτό χώρο. Διαπιστώθηκε ότι ο τρόπος βηξίματος διαφέρει σημαντικά από άνθρωπο σε άνθρωπο, με συνέπεια η “ασφαλής” απόσταση να είναι από ένα έως τρία μέτρα, ανάλογα με το πόσο ανεκτική στον κίνδυνο θέλει να είναι μια αρχή δημόσιας υγείας.
Τα ευρήματα, σύμφωνα με τους ερευνητές, δείχνουν ότι από μόνη της η τήρηση σωματικής απόστασης δεν συνιστά αποτελεσματικό μέτρο προστασίας, γι’ αυτό συνεχίζουν να είναι σημαντικοί οι εμβολιασμοί, ο καλός αερισμός των κλειστών χώρων και η χρήση μάσκας, ιδίως καθώς πλησιάζει ο χειμώνας στο βόρειο ημισφαίριο (όπου και η Ελλάδα).
Παρά την εστίαση της προσοχής στο πλύσιμο των χεριών και στον καθαρισμό των επιφανειών κατά την αρχική φάση της πανδημίας, γρήγορα έγινε αντιληπτό ότι ο κορονοϊός πρωτίστως εξαπλώνεται αερογενώς, όχι μόνο μέσω του βήχα ή του φτερνίσματος, αλλά και της απλής ομιλίας, ακόμη και της εκπνοής.
Ο Μαστοράκος είναι ειδικός στη μηχανική των ρευστών και στη διάρκεια της πανδημίας, μαζί με τους συνεργάτες του, έχει αναπτύξει διάφορα μοντέλα για τον τρόπο που εξαπλώνεται η Covid-19. Η νέα μελέτη επιβεβαιώνει ότι δεν υπάρχει κάποιο ξεκάθαρο όριο εξάπλωσης των δυνητικά μολυσμένων σταγονιδίων. Όταν κάποιος βήχει και δεν φοράει μάσκα, τα περισσότερα σταγονίδια μεγαλύτερου μεγέθους και βάρους γρήγορα πέφτουν στις κοντινές επιφάνειες. Όμως τα μικρότερα και ελαφρύτερα σταγονίδια αιωρούνται στον αέρα για περισσότερη ώρα και μπορούν να εύκολα να εξαπλωθούν πέρα από τα δύο μέτρα.
“Ακόμη κι αν αποβάλω τον ίδιο αριθμό σταγονιδίων κάθε φορά που βήχω, επειδή η ροή είναι ταραγμένη, υπάρχουν διακυμάνσεις. Αν βήχω, οι διακυμάνσεις στην ταχύτητα, στη θερμοκρασία και στην υγρασία σημαίνουν ότι η ποσότητα που κάποιος στέλνει σε απόσταση δύο μέτρων, μπορεί να είναι πολύ διαφορετική κάθε φορά“, ανέφερε ο Μαστοράκος.
Όπως τόνισε, μολονότι ο κανόνας των δύο μέτρων είναι ένα αποτελεσματικό και εύκολο να απομνημονευτεί μήνυμα για το κοινό, δεν σηματοδοτεί μια πραγματική ασφάλεια, δεδομένου του μεγάλου αριθμού παραμέτρων που σχετίζονται με έναν ιό που μεταδίδεται αερογενώς. Γι’ αυτό, όπως είπε, τα εμβόλια, ο αερισμός και οι μάσκες – μολονότι δεν είναι αποτελεσματικά 100% – είναι ζωτικά για τον περιορισμό του κορονοϊού.
“Όλοι απεγνωσμένα περιμένουμε να δούμε το τέλος της πανδημίας, όμως απευθύνουμε ισχυρή σύσταση στους ανθρώπους να συνεχίσουν να φοράνε μάσκες στους κλειστούς χώρους, όπως στα γραφεία, στις τάξεις και στα καταστήματα. Δεν υπάρχει κανένας λόγος να εκθέτει κάποιος τον εαυτό του σε τέτοιο κίνδυνο, όσο ο ιός είναι ακόμη μαζί μας“, πρόσθεσε ο Έλληνας ερευνητής, ο οποίος είναι απόφοιτος του Τμήματος Μηχανολόγων Μηχανικών του Κολλεγίου Imperial του Λονδίνου, από όπου πήρε και το διδακτορικό του (1993), ενώ στο Κέιμπριτζ είναι καθηγητής από το 2000.
Πηγή: ΑΠΕ – ΜΠΕ – https://www.ertnews.gr/eidiseis/epistimi/evzoia/ygeia/koronoios-aythaireto-to-metro-tis-apostasis-dyo-metron-symfona-me-nea-ereyna/

Σχολιάστε