Mερικά πράγματα όσο οικεία κι αν είναι δεν παύουν να προκαλούν θαυμασμό.
Όπως για παράδειγμα οι ιδιότητες του αριθμού π
π=3.14159265358979323846…
Ο αριθμός αυτός προκύπτει όταν διαιρούμε το μήκος της περιφέρειας ενός κύκλου με το μήκος της διαμέτρου του (ή μπορούμε να πούμε ότι είναι το εμβαδόν ενός κύκλου που έχει ακτίνα ίση με την μονάδα)
Το π είναι υπερβατικός αριθμός, που σημαίνει ότι δεν υπάρχει πολυώνυμο με ρητούς συντελεστές του οποίου να αποτελεί ρίζα το π.
Η παραπάνω πρόταση έχει αποδειχθεί από τον Ferdinand von Lindemann το 1882 και προφανώς δεν χωράει καμιά αμφισβήτηση.
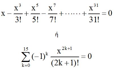
Ένας φίλος μαθηματικός (που του αρέσει να κάνει πλάκα σε φυσικούς) ισχυριζόταν ότι χρησιμοποιώντας το πρόγραμμα Μathematica ανακάλυψε ένα πολυώνυμο 31ου βαθμού (!!), του οποίου μία από τις 31 ρίζες είναι το π.
Η εξίσωσή του

έχει ως ρίζα τον αριθμό
ρ=3.1415926535897932385
που είναι ο αριθμός π με ακρίβεια 19 δεκαδικών ψηφίων!!
Aν ελέγξει κανείς το αποτέλεσμα θα δει ότι πράγματι είναι σωστό!
Τελικά είναι ή δεν είναι υπερβατικός αριθμός το π; …
Ο αριθμός που ταυτίζεται με τον π μέχρι το 19ο δεκαδικό ψηφίο του, πράγματι είναι ρίζα της παραπάνω εξίσωσης….
Αν όμως θέσουμε σ’ αυτή την ακριβή τιμή του π δεν θα πάρουμε ακριβώς μηδέν, αλλά έναν αριθμό πολύ κοντά στο μηδέν -το αποτέλεσμα είναι περίπου ~3.58·10-16, που σημαίνει ότι δεν είναι ρίζα της εξίσωσης.
Αν καταλάβουμε το «κόλπο» του μαθηματικού…τότε ίσως βρούμε κι εμείς μια «εξίσωση» που να έχει ως ρίζα τον αριθμό π.
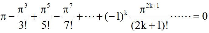
Αν εξετάσουμε προσεκτικά το παραπάνω πολυώνυμο … θα δούμε ότι γράφεται και ως:
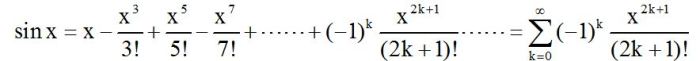
Αυτό θυμίζει το ανάπτυγμα του ημιτόνου σε σειρά Maclaurin
Θέτοντας στην παραπάνω εξίσωση
x= π=3.1415926535897932384626433832795028841971693993751058209749…
– το π με τα άπειρα ψηφία του και όχι μερικά απ’ αυτά –
δεδομένου ότι sinπ=0, παίρνουμε

Ιδού λοιπόν μια «εξίσωση» που τελικά έχει ως ρίζα το αριθμό π.
Κατηγορίες:ΜΑΘΗΜΑΤΙΚΑ

Η αναφερόμενη «εξίσωση» G(x)=0, όπου G(x) το ανάπτυγμα του sinx, έχει βέβαια ρίζα το π, αφού G(π)=0. Χρήσιμο ίσως είναι να τονισθεί (αν και αναγράφεται στο κείμενο) οτι τούτο δεν αναιρεί την υπερβατικότητα του π, διότι δεν έχουμε αλγεβρική εξίσωση. Η έκφραση G(x) παριστά ‘αθροισμα απείρων όρων σειράς (κ=0 έως ‘απειρο) και δεν μπορεί να θεωρηθεί αλγεβρικό πολυώνυμο. Κατ’ ουσία λέμε ότι η μη αλγεβρική εξίσωση sinx=0, έχει και την ρίζα x=π.