«Αρχή Kelvin: δεν είναι δυνατή κυκλική διεργασία συστήματος, με μοναδικό αποτέλεσμα την αφαίρεση θερμότητας από κάποιο σώμα και την μετατροπή της σε ισοδύναμο έργο».
«Αρχή Clausius: δεν είναι δυνατή κυκλική διεργασία με μοναδικό αποτέλεσμα τη μεταφορά θερμότητας από το ψυχρότερο στο θερμότερο σώμα».
«Θεώρημα Carnot: με κάθε σύστημα είναι συνυφασμένες δυο συναρτήσεις συντεταγμένων του, η S και η Τ, από τις οποίες η Τ είναι συνάρτηση της εμπειρικής θερμοκρασίας θ μόνο. Οι συναρτήσεις είναι τέτοιες, ώστε σε οποιαδήποτε απειροστή αντιστρεπτή διεργασία του συστήματος να ισχύει dq=TdS».
……………………………………………………………………………
«Αρχή Καραθεοδωρή: Εις εκάστην γειτονίαν δεδομένης καταστάσεως συστήματος υπάρχουν καταστάσεις μη προσιταί εκ ταύτης δι’ αδιαβατικής διεργασίας αντιστρεπτής ή μη»
Ο Κωνσταντίνος Καραθεοδωρή υπήρξε ένας από τους μεγαλύτερους μαθηματικούς του εικοστού αιώνα, με συνεισφορά εκτός των άλλων και στη Φυσική. Όσοι υπήρξαν φοιτητές του Φυσικού τμήματος του Πανεπιστημίου Αθηνών – τουλάχιστον μέχρι τα μέσα της δεκαετίας του 80-, έβλεπαν για πρώτη φορά ένα ελληνικό όνομα συνδεδεμένο με νόμο της (μετά τον Γαλιλαίο) Φυσικής, όταν συναντούσαν την «αρχή Καραθεοδωρή» στο βιβλίο «Χημική Θερμοδυναμική» του Θ. Ν. Γιαννακόπουλου – στο μάθημα Φυσικοχημεία του δευτέρου έτους.
Με την αρχή Καραθεοδωρή επαναδιατυπώνεται ο σημαντικότερος νόμος της Φυσικής – ο δεύτερος νόμος της θερμοδυναμικής.
Ακολουθεί η περιγραφή των θερμοδυναμικών ιδεών του Καραθεοδωρή σύμφωνα με τη «Χημική Θερμοδυναμική» Θ. Ν. Γιαννακόπουλου:
«…..Η ύπαρξη των συναρτήσεων της θερμοδυναμικής θερμοκρασίας και εντροπίας αποδεικνύεται στη βάση της διατύπωσης Carnot-Kelvin-Clausius.
Κύρια χαρακτηριστικά της διατύπωσης αυτής είναι τα ακόλουθα:
όσο και η αρχή Clausius αποτελούν γενικεύσεις που προκύπτουν από το αδύνατο της κατασκευής μηχανών (κυκλικών διεργασιών). Έτσι ο δεύτερος νόμος θεμελιώνεται σύμφωνα με τις αρχές που διέπουν τις θερμικές και τις ψυκτικές μηχανές. Αυτό δημιουργεί πολλές φορές την εντύπωση ότι η θερμοδυναμική περιορίζεται κυρίως σε τεχνολογικά προβλήματα. Πρέπει εν τούτοις να τονισθεί το γεγονός ότι τα πειραματικά δεδομένα στα οποία στηρίζονται οι αρχές Kelvin και Clausius στηρίζονται, είναι άφθονα και εύκολα κατανοητά, η δε μαθηματική τεχνική για την απόδειξη του θεωρήματος Carnot είναι μάλλον απλή.
Mειονεκτεί όμως, από θεωρητικής πλευράς, στο γεγονός ότι δεν υπάρχει σαφής διαχωρισμός μεταξύ του φυσικού και μαθηματικού περιεχομένου του δεύτερου νόμου της θερμοδυναμικής, δηλαδή μεταξύ των αρχών Kelvin και Clausius αφενός και του θεωρήματος Carnot αφετέρου. Η μετάβαση από τις αρχές στο θεώρημα γίνεται με τρόπο μάλλον συνεχή, η δε ακολουθούμενη μέθοδος είναι η μέθοδος του μαύρου κουτιού. Στη μέθοδο αυτή η παρακολούθηση όσων συμβαίνουν στο σύστημα στηρίζεται σε μετρήσεις ποσοτήτων που τροφοδοτούν το κουτί και ποσοτήτων που εξέρχονται απ’ αυτό. Το σύστημα αυτό καθαυτό παρακολουθείται μάλλον ατελώς.
Στη συνέχεια θα επαναδιατυπώσουμε τον δεύτερο νόμο της θερμοδυναμικής στη βάση της αρχής που οφείλεται στον Καραθεοδωρή και είναι γνωστή ως αρχή Καραθεοδωρή.
Τα κύρια χαρακτηριστικά αυτής της αρχής είναι τα παρακάτω:
σαφής και πλήρης διαχωρισμός του φυσικού από το μαθηματικό περιεχόμενο του νόμου, λεπτομερέστερη παρακολούθηση του συστήματος, αλλά και μεγαλύτερη χρήση μαθηματικών και τέλος απλούστερη διατύπωση της αρχής (με την έννοια ότι αυτή προκύπτει από την αδυναμία πραγματοποίησης διεργασιών απλού τύπου), βασιζόμενη όμως σε περιορισμένο αριθμό πειραματικών δεδομένων.
Οι δυο μέθοδοι είναι μερικώς τουλάχιστον, αντίστροφοι.
Η πρώτη με βάση το φυσικό περιεχόμενο του νόμου αποδεικνύει την ύπαρξη της συνάρτησης της θερμοδυναμικής θερμοκρασίας και εντροπίας και επομένως την ύπαρξη αδιαβατικών επιφανειών.
Η δεύτερη αντίθετα χρησιμοποιεί ως αρχική διατύπωση την ύπαρξη αδιαβατικών επιφανειών. Οι συναρτήσεις θερμοδυναμικής θερμοκρασίας και εντροπίας προκύπτουν συγχρόνως, διαμέσου καθαρής μαθηματικού οδού, ως αναγκαία συνέπεια της ύπαρξης των αδιαβατικών επιφανειών……
Γραμμικές διαφορικές μορφές
Βασικό στοιχείο στη διαμόρφωση του δεύτερου νόμου της θερμοδυναμικής δια της αρχής του Καραθεοδωρή αποτελούν εξισώσεις της μορφής
Όπου dxi τα διαφορικά n ανεξάρτητων μεταβλητών x (xi = x1, ….., xn) και Υi συνεχείς συναρτήσεις των μεταβλητών x. Οι εξισώσεις αυτής της μορφής είναι γνωστές ως γραμμικές διαφορικές μορφές ή μορφές Pfaff. Στη συνέχεια διερευνώνται σύντομα κυρίως τα γεωμετρικά χαρακτηριστικά τους.
Η εξίσωση
Ονομάζεται ολική διαφορική εξίσωση ή εξίσωση Pfaff.
Στην περίπτωση κατά την οποία το dL, είναι τέλειο διαφορικό, η εξίσωση (2) έχει προφανώς λύση της μορφής:
Μια άλλη περίπτωση κατά την οποία η εξίσωση (2) έχει λύση στην μορφή (3) είναι εκείνη όπου το dL, δεν είναι μεν τέλειο διαφορικό συνάρτησης, είναι όμως ανάλογο διαφορικού συνάρτησης. Υπάρχουν δηλαδή δυο συναρτήσεις λ και R, των ανεξάρτητων μεταβλητών x, τέτοιες ώστε να ισχύει:
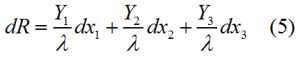
Στην περίπτωση τριών μεταβλητών x1, x2, x3συνδυάζοντας τις εξισώσεις (1) και (4) μπορούμε να γράψουμε:
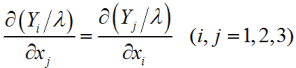
Δεδομένου ότι το dR θεωρήθηκε τέλειο διαφορικό θα ισχύει η συνθήκη του Euler
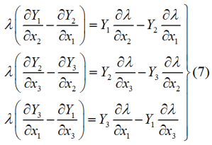
Η οποία αν εφαρμοστεί στην (5) δίνει τις παρακάτω τρεις εξισώσεις
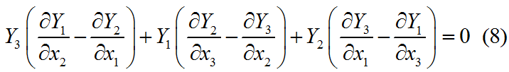
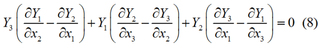
Πολλαπλασιάζοντας τις τρεις αυτές εξισώσεις με Υ1, Υ2 και Υ3αντίστοιχα και προσθέτοντας κατά μέλη έχουμε:
Η παραπάνω εξίσωση αποτελεί την ικανή και αναγκαία συνθήκη για την ύπαρξη των συναρτήσεων λ (ολοκληρωτικού παράγοντα) και R, έτσι ώστε να ισχύει η εξ. (5).
Στην περίπτωση δυο μεταβλητών η συνθήκη (8) ισχύει πάντα, όπως εύκολα αποδεικνύεται αν θέσουμε σ’ αυτή Υ3 =Υ1 και x3 = x1. Τούτο σημαίνει ότι η εξίσωση:
έχει πάντοτε λύση της μορφής (4).
Αν η ανεξάρτητες μεταβλητές είναι περισσότερες από τρεις, απλά θα προκύψουν περισσότερες σχέσεις της μορφής (8), προφανώς μια για κάθε τριάδα μεταβλητών.
Στην περίπτωση που υπάρχουν περισσότερες από δυο ανεξάρτητες μεταβλητές δεν είναι πάντοτε δεδομένο ότι η διαφορική εξίσωση (3) έχει λύση της μορφής (4), της οποίας το γεωμετρικό αντίστοιχο είναι μια μονοπαραμετρική οικογένεια καμπυλών, επιφανειών ή υπερεπιφανειών στο χώρο των n διαστάσεων.
Αλλά και στην περίπτωση που δεν υπάρχει λύση της παραπάνω μορφής η εξίσωση (3) έχει λύσεις και μάλιστα οποιαδήποτε καμπύλη κάθε στοιχειώδες τμήμα της οποίας επαληθεύει τη διαφορική εξίσωση
(διανυσματικά αρκεί να ισχύει η συνθήκη καθετότητας μεταξύ του διανύσματος
μιας στοιχειώδους μετατόπισης κατά μήκος της καμπύλης και του διανύσματος, που ορίζεται από τις τιμές Υ1, Υ2, ……, Υn σε κάποιο σημείο της καμπύλης).
Για να γίνει περισσότερο κατανοητός ο γεωμετρικός χαρακτήρας αυτής της λύσης, υπενθυμίζουμε ότι μια καμπύλη μπορεί να θεωρηθεί ως η τομή (n‒1) υπερεπιφανειών.
Αν περιοριστούμε στον συνήθη γεωμετρικό χώρο των τριών διαστάσεων, μια καμπύλη προκύπτει ως τομή δυο συνήθων επιφανειών. Ας υποθέσουμε ότι η διαφορική εξίσωση είναι η
Αυτή προφανώς έχει λύση που παριστάνει την επιφάνειες σφαιρών. Μια από αυτές που διέρχεται από το σημείο (1, 0, 0) έχει εξίσωση
Πέραν όμως αυτής της αλγεβρικής λύσης, όλες οι καμπύλες που διέρχονται από το σημείο (1, 0, 0) και οι οποίες προκύπτουν ως τομές της συγκεκριμένης σφαίρας (11) και της εξίσωσης
(όπου f τυχούσα συνάρτηση των x1, x2, x3), είναι επίσης λύσεις της εξίσωσης (10).
Οι τελευταίες ονομάζονται και μη γνήσιες λύσεις (καταχρηστικές) σε αντιδιαστολή με τη γνήσια αλγεβρική. Οι μη γνήσιες λύσεις, όπως οι παραπάνω καμπύλες που διέρχονται από δεδομένο σημείο, βρίσκονται προφανώς πάνω στην επιφάνεια της σφαίρας της εξίσωσης (11). Οι λύσεις αυτές ικανοποιούν ταυτόχρονα τις εξισώσεις (11) και (12).
Στην περίπτωση που δεν υπάρχει γνήσια λύση, όπως π.χ. η εξίσωση
μπορούμε να ορίσουμε μία αυθαίρετη συνάρτηση, όπως στην εξ. (12), και ένα σημείο, δια του οποίου διέρχεται επιφάνεια που ορίζεται από τη συνάρτηση αυτή.
Με αντικατάσταση της μιας από τις μεταβλητές καθώς και του διαφορικού της στην (13) προκύπτει η εξίσωση της μορφής
που περιέχει δυο μεταβλητές, οπότε δίνει πάντα λύση της μορφής
Οι μη γνήσιες λύσεις της εξ. (13) ικανοποιούν ταυτόχρονα τις εξισώσεις (12) και (15). Επομένως θα είναι όλες καμπύλες που διέρχονται από το συγκεκριμένο σημείο και βρίσκονται πάνω στην επιφάνεια που διέρχεται από το συγκεκριμένο σημείο, που ορίστηκε βάσει μιας αυθαίρετης συνάρτησης. Τα συμπεράσματα, που προέκυψαν από την διερεύνηση στην περίπτωση τριών μεταβλητών, μπορούν να γενικευθούν και ισχύουν για οποιοδήποτε αριθμό μεταβλητών.
Έστω δύο τυχαία σημεία Α και Β στο χώρο των n διαστάσεων και ζητείται να διερευνηθεί η δυνατότητα προσέγγισης του Β από το Α με μια καμπύλη που αποτελεί λύση – σύμφωνα με τα προαναφερθέντα – της εξίσωσης (3).
Από την διερεύνηση αυτής της εξίσωσης που έγινε, προκύπτει ότι αν η εξίσωση αυτή έχει λύση γνήσια (λύση στη μορφή της εξ. (4)), ή αλλιώς αν η εξίσωση αυτή είναι ολοκληρώσιμη, η σύνδεση αυτή είναι αδύνατη, εκτός αν το σημείο Β βρίσκεται πάνω στην επιφάνεια που ορίζεται από τη λύση της εξίσωσης (3) και τις συντεταγμένες του σημείου Α.
Επομένως σε κάθε γειτονιά δεδομένου σημείου Α υπάρχουν σημεία, τα οποία δεν είναι προσιτά από το Α κατά μήκος καμπυλών που διέρχονται από το σημείο Α και βρίσκονται πάνω σε επιφάνεια που διέρχεται από το σημείο αυτό και που προκύπτει από τη λύση διαφορικής εξίσωσης της μορφής (3), (δηλαδή όλα τα σημεία που βρίσκονται έξω από την επιφάνεια αυτή).
Έτσι αποδεικνύεται ότι η ύπαρξη λύσης της εξίσωσης (3) αποτελεί την αναγκαία συνθήκη για την ύπαρξη σημείων στην γειτονιά δεδομένου σημείου, μη προσιτών από το τελευταίο κατά μήκος καμπυλών αποτελουσών λύσεις της εξίσωσης. Τίθεται όμως το ερώτημα εάν συνθήκη αυτή είναι και επαρκής.
Θεώρημα Καραθεοδωρή. Η απάντηση στο παραπάνω ερώτημα δόθηκε από τον Καραθεοδωρή με το θεώρημα που ακολουθεί:
«Εάν σε κάθε γειτονιά οποιουδήποτε σημείου Α που επιλέγεται αυθαίρετα, περιέχονται σημεία μη προσιτά από το Α κατά μήκος καμπυλών που είναι λύσεις της εξίσωσης
η εξίσωση αυτή είναι ολοκληρώσιμη».
…συνεχίζεται….ΕΔΩ
Κατηγορίες:ΘΕΡΜΟΔΥΝΑΜΙΚΗ









Σχολιάστε