… αν υπήρχε Πριν από μερικές μέρες φυσικοί του Πανεπιστημίου της Ουάσιγκτον ανακοίνωσαν πως δημιούργησαν στο εργαστήριο αρνητική μάζα (Negative mass’ created at Washington State University). Προφανώς δεν ανίχνευσαν, ούτε δημιούργησαν σωματίδια με αρνητική μάζα, έκαναν όμως το υπερρευστό ρουβίδιο… Read More ›
Η ΑΣΚΗΣΗ ΤΗΣ ΕΒΔΟΜΑΔΑΣ
14/3: Η παγκόσμια ημέρα του αριθμού π
(νεώτερη ενημέρωση 14/3/2021) Να υπολογίσετε το εμβαδόν που είναι γραμμοσκιασμένο με πράσινο χρώμα: Μήπως είναι π; Η απάντηση στο βίντεο που ακολουθεί: Υπενθυμίζεται ότι η σημερινή ημερομηνία 14 Μαρτίου (3/14 ) έχει καθιερωθεί (για ευνόητους λόγους) ως παγκόσμια ημέρα του… Read More ›
Ποια είναι η σχέση των δυο πιθανοτήτων;
(νεώτερη ενημέρωση 1/12/2018) Ο Φυσικός Γιάννης Κυριακόπουλος προκάλεσε μια τεράστια συζήτηση σχετικά με την σχέση των δυο πιθανοτήτων και του «κοριτσιού που το λένε Κλημεντίνη» ΕΔΩ: ylikonet.gr Αξίζει να την παρακολουθήσετε. ================================== Θεωρούμε δυο απλά (και σχεδόν παρόμοια) προβλήματα πιθανοτήτων… Read More ›
Ατελείωτες τετραγωνικές ρίζες από τον Ραμανουτζάν
Δυο σχόλια σχετικά με τα προβλήματα που παρουσιάζονται στην ανάρτηση με τίτλο «Τρεις μαθηματικοί γρίφοι του Ραμανουτζάν» . (Ι) Όσον αφορά το πρώτο πρόβλημα που αναφέρεται στην απόδειξη της αριθμητικής σχέσης με τις ατελείωτες εγκιβωτισμένες τετραγωνικές ρίζες: Πρόκειται για μια εφαρμογή της γενικότερης εξίσωσης που βρίσκεται… Read More ›
Οι συνέπειες ενός απλού θεωρήματος
Η παραπάνω εξίσωση εκφράζει το θεώρημα του Bayes που μαθαίνουν όλοι οι πρωτοετείς φοιτητές των θετικών επιστημών. Διατυπώθηκε από τον Άγγλο μαθηματικό και πρεσβυτεριανό ιερέα Τόμας Μπέυζ (Thomas Bayes 1701–1761). Επρόκειτο για μια νέα προσέγγιση σε ένα θεμελιώδες αίνιγμα: πως να προχωρήσεις αντίστροφα από τις… Read More ›
Με αφορμή ένα πρόβλημα Πανελλαδικών: Τι έμαθα από τα λάθη μου
(νεώτερη ενημέρωση 22/6/2020) η ιστορία διδάσκει ότι η ιστορία δεν διδάσκει … Τα παραπάνω είναι ένα απόσπασμα από το 4ο θέμα των πανελλαδικών εξετάσεων στην Φυσική 2020 (παλαιό σύστημα) – όλα τα θέματα ΕΔΩ (Υπενθυμίζεται – διαβάστε παρακάτω – ότι… Read More ›
Μια παραλλαγή στο θέμα Δ της φυσικής
…. των πανελλαδικών εξετάσεων 2015 Το τέταρτο ζήτημα στα φετινά θέματα φυσικής κατεύθυνσης αναφερόταν στην κύλιση μιας σφαίρας μάζας m και ακτίνας r, στο εσωτερικό ενός ημισφαιρίου ακτίνας R. Στα δυο πρώτα ερωτήματα έπρεπε να υπολογιστεί η στατική τριβή και η… Read More ›
Το σκαθάρι και το λάστιχο
ένα πρόβλημα με απρόσμενη λύση Η μια άκρη ενός λάστιχου μήκους L είναι στερεωμένη σε έναν τοίχο. Η ελεύθερη άκρη του λάστιχου αρχίζει να κινείται με ταχύτητα υ και να το επιμηκύνει. Ταυτόχρονα, ένα σκαθάρι αρχίζει να περπατάει, ξεκινώντας από… Read More ›
Υπερβολικές συναρτήσεις στο θέμα Δ1
… των Μαθηματικών Κατεύθυνσης 2015 δείτε όλα τα θέματα ΕΔΩ Ενώ, απαντήσεις και σχόλια για τα θέματα Μαθηματικών μπορείτε να βρείτε αλλού … ότι ακολουθεί στη συνέχεια ΔΕΝ έχει σχέση με τις ζητούμενες λύσεις… Ας δούμε τι έλεγε το θέμα Δ1 Στην αρχική σχέση η εμφάνιση του… Read More ›
Ελαστικές κρούσεις και πυρηνικοί αντιδραστήρες
Η μελέτη των κρούσεων βρέθηκε στο επίκεντρο της προσοχής του Καρτεσίου και του Huygens κατά τον 17ο αιώνα, ενώ τον 19ο αιώνα ο γάλλος φυσικός Gustave-Gaspard Coriolis εξέδωσε το έργο του «Η μαθηματική θεωρία των φαινομένων του μπιλιάρδου», το οποίο… Read More ›
Η μοναδικότητα των δυνάμεων της παγκόσμιας έλξης και του αρμονικού ταλαντωτή
Μια στοιχειώδης απόδειξη του θεωρήματος Bertrand Ένα εντυπωσιακό συμπέρασμα της νευτώνειας μηχανικής είναι το γεγονός οι δέσμιες τροχιές σωμάτων (αυτές που δεν εκτείνονται στο άπειρο) μπορούν να είναι κλειστές ΜΟΝΟ όταν στα σώματα δρουν δυο (2) είδη ελκτικών κεντρικών δυνάμεων: (α) δυνάμεις ανάλογες… Read More ›
Ένας εύκολος τρόπος προσδιορισμού του ηλεκτρικού πεδίου
… που δημιουργεί ομοιόμορφα φορτισμένο ευθύγραμμο τμήμα Ένα κλασικό πρόβλημα με το οποίο βρίσκονται αντιμέτωποι οι φοιτητές που παρακολουθούν το μάθημα του ηλεκτρομαγνητισμού είναι ο προσδιορισμός της έντασης του ηλεκτρικού πεδίου από ένα ομοιόμορφα φορτισμένο ευθύγραμμο τμήμα. Όσοι έχουν καταπιαστεί με… Read More ›
Μπορούμε να πηδήσουμε πάνω σ’ έναν κομήτη;
Θα μπορούσε ένας αστροναύτης εκτελώντας ένα άλμα από το διαστημόπλοιό του να βρεθεί πάνω σ’ έναν κομήτη; Όπως ίσως θα έχετε ήδη πληροφορηθεί το διαστημικό σκάφος Rosetta προσεγγίζει τον κομήτη 67P/Churyumov-Gerasimenko και σε λίγες ημέρες θα αρχίσει να κάνει περίπλοκους… Read More ›
Η ανακάλυψη του μποζονίου Higgs σε μια άσκηση απλής φυσικής
Μια άσκηση σχετικά με το σωματίδιο Higgs και τον Μεγάλο Επιταχυντή Αδρονίων (LHC) στις εξετάσεις εθνικού επιπέδου Βaccalaureat στη Γαλλία H εκφώνηση της άσκησης που δόθηκε στις εξετάσεις Baccalaureat (17-7-2014) στη Γαλλία, ξεκινάει με μια δήλωση του θεωρητικού φυσικού Carlo Rovelli , που έγινε (;) πριν από… Read More ›
Κύλιση χωρίς ολίσθηση σε οριζόντιο επίπεδο
Ένας ομογενης δίσκος τοποθετείται κατάλληλα σε ένα οριζόντιο επίπεδο έτσι ώστε να κυλίεται χωρίς να ολισθαίνει με αρχική γωνιακή ταχύτητα ω. Το φαινόμενο αναλύουν οι μαθητές Α και Β. Ο μαθητής Α για να περιγράψει την κίνηση σκέφτεται ως εξής:… Read More ›
Χρησιμοποιώντας την αρχή διατήρησης της ενέργειας …
… να λυθεί η διαφορική εξίσωση: με αρχικές συνθήκες και Οι διαφορικές εξισώσεις της μορφής με μια τυχούσα συνάρτηση του λύνονται εύκολα εισάγοντας την συνάρτηση «δυναμικού» μέσω της σχέσης Έτσι, η διαφορική εξίσωση (1) μετασχηματίζεται στην απλούστερη: , (η σταθερά… Read More ›
Ελεύθερη πτώση προς το κέντρο της Γης
Πόσο χρόνο χρειάζεται ένα αντικείμενο να διασχίσει υποθετικό τούνελ, που διέρχεται από το κέντρο της Γης, πέφτοντας ελεύθερα από το ένα άκρο στο άλλο; Σε ένα υποθετικό πηγάδι που διέρχεται από το κέντρο της Γης και συνδέει δυο αντιδιαμετρικά της… Read More ›
H προσέγγιση ενός δύσκολου ολοκληρώματος
Το ζητούμενο είναι να βρεθεί μια προσέγγιση για ολοκληρώματα της μορφής: όταν η συνάρτηση παρουσιάζει ακρότατο και . Όπως θα δούμε, ολοκληρώματα αυτής της μορφής παίζουν σημαντικό ρόλο στη Φυσική. Ας ξεκινήσουμε με μια συνάρτηση που παρουσιάζει ολικό ακρότατο π.χ. την… Read More ›
Το μοντέλο της επίπεδης Γης
Μια άσκηση σχετικά με το νόμο του Gauss για την βαρύτητα Άραγε υπάρχουν ακόμη άνθρωποι που πιστεύουν πως η Γη είναι επίπεδη ή κοίλη; Ίσως όχι αν έχουν διαβάσει άρθρα π.χ. όπως αυτό: «Μερικά επιχειρήματα για την Κοίλη Γη» Πάντως… Read More ›
Μια συνηθισμένη συνάρτηση ηλεκτρικού δυναμικού
Δίνεται το ηλεκτροστατικό δυναμικό: όπου k, q και α γνωστές θετικές σταθερές. Ποιά κατανομή ηλεκτρικού φορτίου (συνεχής και διακριτή) δημιουργεί αυτό το δυναμικό; Θα μπορούσε αυτή η κατανομή φορτίου να προκύψει από ένα ουδέτερο άτομο υδρογόνου;
Ένα ερώτημα κρούσης
Ένα νετρόνιο κινείται με ταχύτητα v εναντίον ενός πυρήνα δευτερίου. Είναι δυνατόν η κρούση (αν θεωρηθεί κεντρική και ελαστική) να εξελιχθεί όπως φαίνεται στο παραπάνω σχήμα;
Ελεύθερη πτώση και απλή λογική
Γιατί τα σώματα πέφτουν με την ίδια επιτάχυνση; Σύμφωνα με την παράδοση ο Γαλιλαίος εκτελώντας πειράματα ελεύθερης πτώσης από τον πύργο της Πίζας κατέληξε στο συμπέρασμα ότι: «κάθε σώμα που αφήνεται να πέσει υπό την επίδραση του βάρους του αποκτά… Read More ›
Ηλεκτρικό πεδίο φορτισμένου δακτυλίου
Πως είναι το ηλεκτρικό πεδίο ομοιόμορφης κυκλικής κατανομής φορτίου Q ακτίνας R; Εύκολα μπορεί κανείς να υπολογίσει την ένταση του ηλεκτρικού πεδίου στον άξονα z, που είναι κάθετος στο κέντρο του δακτυλίου και διέρχεται από το κέντρο του. Το μέτρο… Read More ›
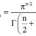
Ο όγκος n-διάστατης μοναδιαίας σφαίρας
Ένα μαθηματικό πρόβλημα με φυσική σημασία Ο όγκος της n-διάστατης μοναδιαίας σφαίρας δίνεται από τον τύπο Χρησιμοποιώντας τον τύπο του Stirling για τη συνάρτηση Γάμμα βλέπει κανείς ότι : Vn→0 καθώς n→∞ Μπορείτε να δείξετε, ότι ο όγκος τείνει στο μηδέν… Read More ›
Ένα ωραίο μαθηματικό πρόβλημα
Να αποδείξετε χρησιμοποιώντας στοιχειώδη μαθηματικά ότι: Μπορείτε να βρείτε τη λύση (και άλλα πολύ ενδιαφέροντα!) ΕΔΩ
Ολυμπιακή Φυσική: Ένας λάθος υπολογισμός στο άλμα επί κοντώ
Το παγκόσμιο ρεκόρ στο άλμα επί κοντώ των ανδρών είναι 6,14 μέτρα και πραγματοποιήθηκε το 1994 από τον Σεργκέι Μπούμπκα. Το αντίστοιχο παγκόσμιο ρεκόρ στις γυναίκες είναι 5,04 μέτρα και το κατέχει η Ελένα Ισινμπάγιεβα από το 2009. Στην χτεσινή… Read More ›
Ολυμπιακή Φυσική: το απίστευτο άλμα εις μήκος του Bob Beamon
Ακόμη και σήμερα υπάρχουν άνθρωποι που υποστηρίζουν ότι το εκπληκτικό άλμα του Μπομπ Μπίμον στα 8,9 μέτρα, στους Ολυμπιακούς Αγώνες του Μεξικό το 1968, οφειλόταν στο υψόμετρο – σχεδόν 2300 μέτρα πάνω από την επιφάνεια της θάλασσας – που βρίσκεται… Read More ›
Οι γρίφοι των μεταγγίσεων!
Σε κάποιο σημείο της ταινίας «Πολύ σκληρός για να πεθάνει: η εκδίκηση» ο «κακός» Τζέρεμι Άιρονς βάζει στους Μπρους Γουίλις και Σάμιουελ Τζάκσον τον παρακάτω γρίφο: Πως θα πάρουμε 4 γαλόνια νερού χρησιμοποιώντας ένα δοχείο 3 γαλονιών και ένα δοχείο 5 γαλονιών… Read More ›
Τα διαγράμματα κίνησης μιας περιστρεφόμενης δοκού
(οποιαδήποτε ομοιότητα με άλλα προβλήματα ΔΕΝ είναι τυχαία) Ομογενής και ισοπαχής δοκός (ΟΑ) μάζας Μ=6kg και μήκους ℓ=0,3m, μπορεί να περιστρέφεται χωρίς τριβές σε κατακόρυφο επίπεδο γύρω από οριζόντιο άξονα που περνά από το ένα άκρο της Ο. Στο άλλο… Read More ›
Μια δύσκολη συνδεσμολογία αντιστατών
Διαβάστε επίσης: Ισοδύναμη αντίσταση κυκλώματος Οι δώδεκα αντιστάτες του παραπάνω «κυβικού» κυκλώματος έχουν την ίδια αντίσταση R. Οι ακροδέκτες Α και Β θα συνδεθούν με ηλεκτρική πηγή. Ποια είναι η ισοδύναμη (ολική) αντίσταση των δώδεκα αντιστατών; Αν τροφοδοτήσουμε το σύστημα… Read More ›
Ισοδύναμη αντίσταση κυκλώματος
Πως υπολογίζεται η ισοδύναμη αντίσταση του παρακάτω κυκλώματος; …………………………………………………………………………………………………………………..
Η ερμηνεία της κοσμικής ακτινοβολίας υποβάθρου χωρίς Big Bang
Δυο είναι τα βασικότερα επιχειρήματα που εδραίωσαν τη θεωρία της Μεγάλης Έκρηξης: 1. Η διαστολή του σύμπαντος και 2. Η κοσμική ακτινοβολία υποβάθρου Οι αστρονομικές παρατηρήσεις του Hubble οδήγησαν στην εξίσωση που περιγράφει τον ομώνυμο νόμο, σύμφωνα με τον οποίο… Read More ›
Φθίνουσα ταλάντωση με δύναμη απόσβεσης την τριβή ολίσθησης
Τίθεται το εξής πρόβλημα: Μια μάζα m=1kg δεμένη σε οριζόντιο ελατήριο σταθεράς k=8 N/m απομακρύνεται από τη θέση ισορροπίας (x=0) κατά x0=1m (θέση Α), και τη χρονική στιγμή t=0 s, αφήνεται να κινηθεί χωρίς αρχική ταχύτητα, όπως στο σχήμα Ο… Read More ›
Αυτοκίνητο σε κεκλιμένο επίπεδο
Μια ωραία ερώτηση απλής φυσικής Ένα αυτοκίνητο τη χρονική στιγμή t βρίσκεται στον ανηφορικό δρόμο του σχήματος και η κατεύθυνση της επιτάχυνσής του είναι προς τα πάνω. Ποιες από τις παρακάτω διατυπώσεις περιγράφει την κίνηση του σώματος τη χρονική στιγμή… Read More ›
Σε πόσο χρόνο θα κατέρρεε βαρυτικά ο Ήλιος…
… αν ξαφνικά σταματούσαν οι πυρηνικές αντιδράσεις στο εσωτερικό του; Ένα άστρο – όπως ο Ήλιος μας – διατηρεί σχεδόν σταθερά τα χαρακτηριστικά του, όπως η μάζα, η ακτίνα, η λαμπρότητα και η χημική σύσταση της εξωτερικής του επιφάνειας. Αυτή… Read More ›
Ποιος ανακάλυψε την εξίσωση Ε=mc^2 ;
H εξίσωση Ε=mc2 που εκφράζει την ισοδυναμία μάζας – ενέργειας ανακαλύφθηκε από τον Einstein το 1905 ή ήταν γνωστή πριν από την διατύπωση της ειδικής θεωρίας της σχετικότητας; Δεν είναι και τόσο εύκολο να δοθεί μια απάντηση! Κάποιοι αποδίδουν την… Read More ›
Σκακιστικό πρόβλημα
Με ποια κίνηση τα λευκά ΔΕΝ κάνουν αμέσως ρουά-ματ στον μαύρο βασιλιά;
Ο γρίφος του Gamow
Το κυνήγι του θησαυρού Το βιβλίο του George Gamow “One, Two, Three,…, Infinity”, παρόλο που κυκλοφόρησε το 1947, εξακολουθεί να είναι ένα από τα καλύτερα βιβλία του είδους – ίσως το καλύτερο. Ο Gamow , ως φυσικός, υιοθετεί μια χρησιμοθηρική… Read More ›
Πως υπολογίζουμε την περίοδο του απλού εκκρεμούς;
Με την εξίσωση που μαθαίνουμε στο σχολείο όπου ℓ το μήκος του εκκρεμούς και g η επιτάχυνση της βαρύτητας …. είναι η συνηθισμένη απάντηση…. (νεώτερη ενημέρωση 6/7/2016: το απλό εκκρεμές δεν διδάσκεται πλέον στα ελληνικά λύκεια, αλλά αυτό είναι το… Read More ›
Η βαρυτική δυναμική ενέργεια είναι αρνητική….
…όμως γιατί όταν ένα σώμα μάζας m βρίσκεται σε ύψος h από την επιφάνεια της Γης λέμε ότι έχει θετική δυναμική ενέργεια m g h ; Διότι η ποσότητα m g h είναι μια προσέγγιση της διαφοράς των δυναμικών ενεργειών μεταξύ των… Read More ›
Η πειραματική επιβεβαίωση της αρχής διατήρησης ορμής…
…μέσα στην τάξη με απλά εποπτικά μέσα! Θεωρούμε ότι η κρούση είναι ελαστική και ότι οι ταχύτητες του αγοριού (μάζα Μ) και του κοριτσιού (μάζα m<Μ) λίγο πριν την κρούση, έχουν το ίδιο μέτρο v. Η αρχική ορμή του συστήματος… Read More ›
Ο δυσκολότερος γρίφος του κόσμου !
Δυο μαθηματικοί – ο Γ. και ο Α. – ταξίδευαν με εκπαιδευτικό αεροπλάνο πάνω από τη ζούγκλα και μετά από μια αναπάντεχη βλάβη του κινητήρα πραγματοποίησαν αναγκαστική προσγείωση. Ενώ γλίτωσαν από θαύμα την συντριβή για κακή τους τύχη συνελήφθησαν από… Read More ›
Πως μπορώ να υπολογίσω την ταχύτητα του φωτός παρατηρώντας ένα….ραδιόφωνο !
Κοιτάζω ένα κοινό ραδιόφωνο FM και βλέπω ότι το εύρος συχνοτήτων του είναι (σε μεγαχέρτς) από 88 MHz έως 108 MHz. Δηλαδή περίπου στα f = 100 MHz – κατά μέσο όρο – μπορώ να συντονιστώ με έναν σταθμό που… Read More ›
Πως υπολογίζεται η ηλικία του σύμπαντος
Όταν οι επιστήμονες μιλάνε για την ηλικία του σύμπαντος εννοούν τον χρόνο που κύλησε από την στιγμή της δημιουργίας – την μεγάλη έκρηξη – μέχρι σήμερα. Σύμφωνα με τη θεωρία της μεγάλης έκρηξης το σύμπαν διαστέλλεται. Η διαστολή περιγράφεται από… Read More ›
Walter Lewin: Πλήρης κατάρρευση της διαίσθησης
μέρος πρώτο (Θεωρία) http://youtu.be/eqjl-qRy71w Θεωρούμε το απλούστατο κύκλωμα του παρακάτω σχήματος Μια μπαταρία ηλεκτρεγερτικής δύναμης 1 Volt τροφοδοτεί δύο αντιστάτες 100Ω και 900 Ω. Σύμφωνα με το νόμο του Ohm στο κλειστό κύκλωμα η ένταση του ρεύματος που θα διαρρέει… Read More ›