…όμως γιατί όταν ένα σώμα μάζας m βρίσκεται σε ύψος h από την επιφάνεια της Γης λέμε ότι έχει θετική δυναμική ενέργεια m g h ;
Διότι η ποσότητα m g h είναι μια προσέγγιση της διαφοράς των δυναμικών ενεργειών μεταξύ των δυο θέσεων Α και Γ, θεωρώντας ότι η δυναμική ενέργεια στην επιφάνεια της Γης είναι μηδέν.
Γενικά, η δυναμική ενέργεια του βαρυτικού πεδίου δυο μαζών m και Μ που απέχουν απόσταση r είναι αρνητική:
Έστω μάζα m στην επιφάνεια της Γης. Η απόστασή της από το κέντρο μάζας της Γης είναι R. Η βαρυτική δυναμική ενέργεια του συστήματος της μάζας m και της Γης (η μάζα της συμβολίζεται με Μ) θα είναι:
Αν η μάζα m βρίσκεται σε ύψος h πάνω από την επιφάνεια της Γης τότε η βαρυτική δυναμική ενέργεια θα είναι:
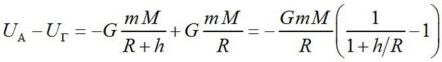
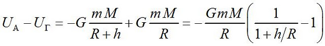
Στη συνέχεια υπολογίζουμε τη διαφορά των δυναμικών ενεργειών μεταξύ των σημείων Α και Γ:
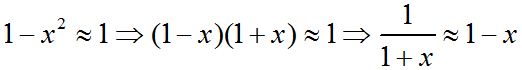
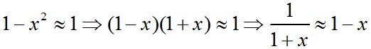
Όμως συνήθως το h αναφέρεται σε ένα μικρό ύψος από την επιφάνεια της Γης. Σίγουρα είναι πολύ μικρότερο από την ακτίνα της. Συνεπώς, το x=h/R είναι ένας αριθμός πολύ μικρότερος από τη μονάδα, και το x2 είναι ακόμη πιο μικρότερος και τείνει στο μηδέν, έτσι ώστε:
Χρησιμοποιώντας την προσέγγιση αυτή, η διαφορά των δυναμικών ενεργειών γίνεται:
όπου g η επιτάχυνση της βαρύτητας στην επιφάνεια της:
Έτσι, όταν λέμε ότι ένα σώμα σε ύψος h από την επιφάνεια της Γης «έχει βαρυτική δυναμική ενέργεια +m g h» , εννοούμε την διαφορά της δυναμικής ενέργειας στο ύψος αυτό, μείον την δυναμική ενέργεια που θα είχε στην επιφάνεια της Γης (θεωρώντας την δυναμική ενέργεια στην επιφάνεια της Γης αυθαίρετα ίση με μηδέν).
Κατηγορίες:ΒΑΡΥΤΗΤΑ






Το δυναμικό του βαρυτικού πεδίου εξαρτάται από δύο στοιχεία: τη μορφή του νόμου δύναμης και το πού βάζουμε το μηδέν. Αν θεωρήσουμε ομογενές πεδίο και βάλουμε το μηδέν στην επιφάνεια της Γης παιρνουμε τη μία μορφή. Αν θεωρήσουμε το νόμο του Νεύτωνα και μηδέν στο άπειρο παίρνουμε την άλλη. Αλλά στην δεύτερη περίπτωση μπορούμε να επιλέξουμε το μηδέν στην επιφάνεια της Γης, με ό,τι αυτό συνεπάγεται
Λεπτομέρειες για την Γεωδαισία που ακολουθείται σήμερα μπορεί να βρει κανείς στη αντίστοιχη βιβλιογραφία και στα αρχεία του DoD(Department of Defence) των ΗΠΑ
Κάνε κλικ για να αποκτήσεις πρόσβαση wgs84fin.pdf
Αναλύεται το μοντέλο EGM96(Earth Gravitational Model)