Ένα νέο είδος αστρονομικών αντικειμένων που με την βοήθεια της σκοτεινής ύλης θα μπορούσαν να λάμπουν σχεδόν για πάντα

Οι φυσικοί υποθέτουν ότι οι μυστηριώδεις σκοτεινοί νάνοι, ενδεχομένως να βρίσκονται στο κέντρο του Γαλαξία μας, όπου θα λάμπουν ήρεμα για χρονικό διάστημα που δεν δικαιολογούν οι καθιερωμένες αστρικές θεωρίες. Θα μπορούσαν να σχηματιστούν καθώς οι καφέ νάνοι απορροφούν σκοτεινή ύλη, σε περιοχές του Γαλαξία μας όπου η πυκνότητά της είναι αρκετά υψηλή. Η σκοτεινή ύλη – η αόρατη ουσία που πιστεύεται ότι αποτελεί περίπου το ένα τέταρτο του σύμπαντος – αποτρέπει την ψύξη τους μετατρέποντάς τα σε άσβεστους φάρους αόρατης ενέργειας. Θα μπορούσαν να προδοθούν από ένα ισότοπο του λιθίου, το 7Li (λίθιο-7). Κι αν ανιχνευθούν αυτά τα απόκοσμα αντικείμενα, θα μπορύσαν να μας αποκαλύψουν χαρκτηριστικά της ίδιας της σκοτεινής ύλης.
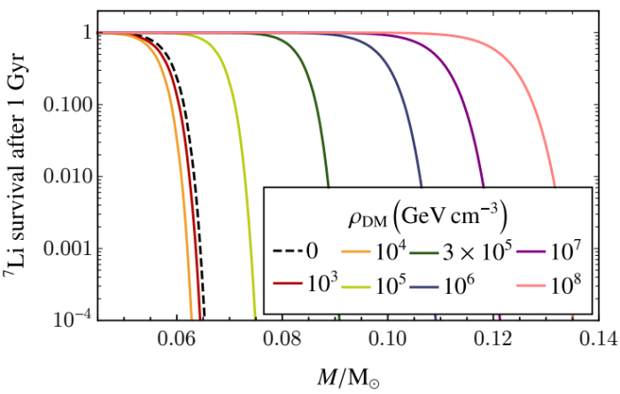
Η υπόθεση των σκοτεινών νάνων διερευνάται στην δημοσίευση του περιοδικού Journal of Cosmology and Astroparticle Physics (JCAP) με τίτλο: ‘Dark dwarfs: dark matter-powered sub-stellar objects awaiting discovery at the galactic center‘. Μελετώνται οι επιπτώσεις της εξαΰλωσης της σκοτεινής ύλης στο εσωτερικό αστρονομικών αντικειμένων με μάζες κοντά στο υποαστρικό όριο. Διαπιστώνεται ότι η ελάχιστη μάζα για σταθερή καύση υδρογόνου είναι μεγαλύτερη από την τιμή ~0,075M⊙ που προβλέπεται στο Καθιερωμένο Πρότυπο. Κάτω από αυτό το όριο, οι καφέ νάνοι που ψύχονται εξελίσσονται σε σταθερά αντικείμενα που τροφοδοτούνται από σκοτεινή ύλη, τα οποία ονομάζονται σκοτεινοί νάνοι. Η χρονική κλίμακα αυτής της μετάβασης εξαρτάται από την πυκνότητα της σκοτεινής ύλης του περιβάλλοντος, αλλά είναι ανεξάρτητη από τη μάζα της σκοτεινής ύλης. Οι ερυνητές προβλέπουν έναν πληθυσμό σκοτεινών νάνων κοντά στο γαλαξιακό κέντρο, όπου η πυκνότητα της σκοτεινής ύλης αναμένεται να είναι ρDM ≳ 103 GeV/cm3. Οι σκοτεινοί νάνοι διατηρούν το αρχικό τους λίθιο-7 , σε αντίθεση με τους καφέ ή κόκκινους νάνους που θα το κατέστρεφαν, παρέχοντας έτσι μια μέθοδο για την ανίχνευσή τους.
Χρησιμοποιώντας θεωρητικά μοντέλα, οι φυσικοί υποστηρίζουν ότι η σκοτεινή ύλη μπορεί να παγιδευτεί μέσα στα νεαρά άστρα, παράγοντας αρκετή ενέργεια που εμποδίζει την ψύξη τους και τα μετατρέπει σε σταθερά, μακράς διαρκείας λαμπερά αντικείμενα που τα βάφτισαν σκοτεινούς νάνους. Οι σκοτεινοί νάνοι θεωρείται ότι σχηματίζονται από καφέ νάνους, οι οποίοι συχνά περιγράφονται ως αποτυχημένα άστρα. Οι καφέ νάνοι είναι πολύ μικροί για να διατηρήσουν την πυρηνική σύντηξη που τροφοδοτεί τα περισσότερα άστρα, επομένως ψύχονται και εξασθενούν με την πάροδο του χρόνου. Αλλά αν βρεθούν σε έναν πυκνό θύλακα σκοτεινής ύλης, όπως κοντά στο κέντρο του Γαλαξία μας, θα μπορούσαν να αιχμαλωτίσουν σωματίδια σκοτεινής ύλης. Αν αυτά τα σωματίδια συγκρουστούν και αλληλοκαταστραφούν, απελευθερώνουν ενέργεια κάνοντας τον σκοτεινό νάνο να λάμπει επ’ αόριστον.
Η ύπαρξη αυτών των αντικειμένων εξαρτάται από την σκοτεινή ύλη που πιθανόν αποτελείται από συγκεκριμένα είδη σωματιδίων, γνωστά ως WIMPs (Ασθενώς Αλληλεπιδρώντα Σωματίδια με Μάζα). Αυτά τα σωματίδια που μόλις και μετά βίας αλληλεπιδρούν με την συνηθισμένη ύλη, θα μπορούσαν να εξαϋλωθούν μεταξύ τους μέσα στα άστρα, παρέχοντας έτσι την ενέργεια που απαιτείται για να διατηρηθεί «ζωντανός» ένας σκοτεινός νάνος.
Για να ξεχωρίσουν τους σκοτεινούς νάνους από άλλα αμυδρά αντικείμενα όπως οι καφέ νάνοι, οι επιστήμονες επισημαίνουν ένα μοναδικό στοιχείο: το λίθιο-7. Οι ερευνητές πιστεύουν ότι οι σκοτεινοί νάνοι θα εξακολουθούσαν να περιέχουν το ισότοπο 7Li. Στα κανονικά άστρα, το 7Li καταναλώνεται γρήγορα. Έτσι, αν βρεθεί ένα αντικείμενο που μοιάζει με καφέ νάνο αλλά εξακολουθεί να περιέχει 7Li, αυτό θα είναι μια ισχυρή ένδειξη ότι πρόκειται για κάτι διαφορετικό.
Η ανακάλυψη των σκοτεινών νάνων στο γαλαξιακό κέντρο θα μας έδινε μια μοναδική εικόνα για τη σωματιδιακή φύση της σκοτεινής ύλης. Σύμφωνα με τους ερευνητές, τηλεσκόπια όπως το Διαστημικό Τηλεσκόπιο James Webb θα μπορούσαν να εντοπίσουν σκοτεινούς νάνους, ειδικά αν εστιάσουν στο κέντρο του γαλαξία. Μια άλλη προσέγγιση θα ήταν να εξετάσουμε πολλά παρόμοια αντικείμενα και να προσδιορίσουμε στατιστικά το αν κάποια από αυτά θα μπορούσαν να είναι σκοτεινοί νάνοι. Ο εντοπισμός έστω και ενός σκοτεινού νάνου, θα ήταν ένα σημαντικό βήμα προς την αποκάλυψη της αληθινής φύσης της σκοτεινής ύλης.
πηγές: https://www.sciencedaily.com/releases/2025/07/250713031447.htm – https://arxiv.org/abs/2408.00822
Κατηγορίες:ΑΣΤΡΟΝΟΜΙΑ, ΑΣΤΡΟΦΥΣΙΚΗ, ΠΥΡΗΝΙΚΗ ΑΣΤΡΟΦΥΣΙΚΗ, ΣΚΟΤΕΙΝΗ ΥΛΗ
Σχολιάστε