Ονομάζεται M51-ULS-1b και βρίσκεται στον γαλαξία της Δίνης

Απεικόνιση του γαλαξία της δίνης από το διαστημικό τηλεσκόπιο ακτίνων Χ Chandra. Στο κέντρο του τετραγώνου πλαισίου, με πορτοκαλί χρώμα παριστάνεται η πηγή ακτίνων XRB M51-ULS-1, γύρω από την οποία περιφέρεται ο εξωγαλαξιακός πλανήτης M51-ULS-1b.
Όλες οι ανακαλύψεις των εξωπλανητών που ανακοινώνονται εδώ και χρόνια αναφέρονται σε εξωπλανήτες που βρίσκονται μέσα στο γαλαξία μας.
Τίθεται λοιπόν το ερώτημα: οι γαλαξίες πέρα από τον δικό μας φιλοξενούν πλανητικά συστήματα;
Η λογική μας λέει πως η απάντηση πρέπει να είναι σίγουρα καταφατική. Όμως η ερώτηση πρέπει να απαντηθεί επιστημονικά αποδεικνύοντας την ύπαρξή τους.
Για πρώτη φορά οι αστρονόμοι το 2018 βρήκαν ενδείξεις για εξωπλανήτες σε έναν γαλαξία που απέχει απόσταση 3,8 δισεκατομμύρια έτη φωτός από τη Γη [Probing Planets in Extragalactic Galaxies Using Quasar Microlensing].
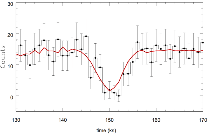
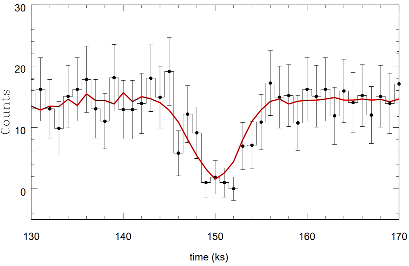
Μια διαφορετική μέθοδος ανίχνευσης εξωγαλαξιακών πλανητικών συστημάτων προτείνεται στην εργασία με τίτλο «M51-ULS-1b: The First Candidate for a Planet in an External Galaxy», όπου μάλιστα αναφέρεται και η ανίχνευση του πρώτου εξωγαλαξιακού πλανήτη, του M51-ULS-1b. Πρόκειται για έναν εξωπλανήτη στον γαλαξία της Δίνης (ή Μ51) που απέχει από τη Γη 23 εκατομμύρια έτη φωτός. Ο M51-ULS-1b περιφέρεται γύρω από μια λαμπερή πηγή ακτίνων Χ, υπόλειμμα κάποιου άστρου (αστέρας νετρονίων ή μαύρη τρύπα) προκαλώντας βραχύβιες εκλείψεις.

Όταν ο πλανήτης περνάει μπροστά από την πηγή ακτίνων Χ μειώνεται η φωτεινότητα που παρατηρείται από την Γη.
Το μέγεθος του ανακαλυφθέντος εξωγαλαξιακού πλανήτη είναι λίγο μικρότερο από αυτό του Ποσειδώνα, ενώ η περίοδος περιφοράς του είναι πολύ μικρή, περίπου 3 ώρες.
διαβάστε περισσότερα ΕΔΩ: https://arxiv.org/abs/2009.08987
Κάνε κλικ για να αποκτήσεις πρόσβαση 2009.08987.pdf
Κατηγορίες:ΑΣΤΡΟΝΟΜΙΑ, ΑΣΤΡΟΦΥΣΙΚΗ, ΕΞΩΠΛΑΝΗΤΕΣ
Σχολιάστε